СТО Газпром 2-1.1-321-2009
ОТКРЫТОЕ АКЦИОНЕРНОЕ ОБЩЕСТВО «ГАЗПРОМ»
СТАНДАРТ ОРГАНИЗАЦИИ
ПЕРЕЧЕНЬ ПОМЕЩЕНИЙ, ЗДАНИЙ И НАРУЖНЫХ УСТАНОВОК С КАТЕГОРИЯМИ ПО ВЗРЫВОПОЖАРНОЙ И ПОЖАРНОЙ ОПАСНОСТИ ДЛЯ ОБЪЕКТОВ ТРАНСПОРТИРОВКИ ГАЗА ОАО «ГАЗПРОМ»
СТО Газпром 2-1.1-321-2009
ОКС 13.220.01
Дата введения - 2009-06-19
Предисловие
1 РАЗРАБОТАН ДОАО «Газпроектинжиниринг»
2 ВНЕСЕН Управлением проектирования и нормирования Департамента инвестиций и строительства ОАО «Газпром»
3 УТВЕРЖДЕН И ВВЕДЕН В ДЕЙСТВИЕ Распоряжением ОАО «Газпром» от 13 октября 2008 г. № 343
4 ВВЕДЕН ВПЕРВЫЕ
Введение
Целью разработки настоящего стандарта является нормативное обеспечение категорирования по взрывопожарной и пожарной опасности помещений, зданий и наружных установок производственного и складского назначения при проектировании вновь строящихся и реконструируемых объектов транспортировки, подземного хранения и переработки газа ОАО «Газпром».
Настоящий стандарт «Перечень помещений, зданий и наружных установок с категориями по взрывопожарной и пожарной опасности для объектов транспортировки ОАО «Газпром» (далее – Перечень) разработан согласно действующим нормам и правилам в области пожарной безопасности. Расчетные обоснования категорий, проведенные согласно НПБ 105-03, для соответствующих позиций Перечня приведены в приложениях А, Б и В.
Перечень сформирован в объеме типопредставителей помещений, зданий и наружных установок с учетом исходных данных, в том числе полученных по результатам натурного обследования предприятий ОАО «Газпром»: Астраханский ГПЗ, Сосногорский ГПЗ, Сургутский ЗСК, Оренбургский ГПЗ, Оренбургский гелиевый завод, ООО «Газпром ПХГ. Северо-запад», ООО «Газпром ПХГ. Ставрополь», ООО «Газпром трансгаз Югорск», ООО «Газпром трансгаз Томск» и др. Авторы разработки выражают благодарность руководителям и специалистам перечисленных обществ за содействие в сборе исходных данных.
Настоящий стандарт является логическим продолжением разработанного и введенного в действие СТО Газпром 2-1.1-094-2007 «Перечень помещений, зданий и наружных установок объектов добычи и обустройства газовых месторождений ОАО «Газпром». Совместное использование указанных документов дает возможность охватить практически весь спектр производственных объектов ЕСГ. В настоящем стандарте разработан алгоритм расчетов критериев взрывопожарной и пожарной опасности с унифицированными формулами расчета, позволяющий определять категории помещений и наружных установок, в том числе и отсутствующих в указанном Перечне, с наименьшими трудозатратами.
Настоящий стандарт согласован ФГУ ВНИИПО МЧС России (исх. от 30.04.2008 г. № 43/3.5/1015), ООО «Газобезопасность» (исх. от 20.06.2008 г. № 03-07/939), Управлением по транспортировке газа и газового конденсата Департамента по транспортировке, подземному хранению и использованию газа ОАО «Газпром» (исх. от 05.06.2008 г. № 03/0810-591).
Стандарт разработан авторским коллективом в составе: Г.Ж. Литвинова (руководитель темы), О.К. Зольников, А.Н. Семенов и др. (ДОАО «Газпроектинжиниринг»).
Редакционная коллегия в составе: В.Н. Пугаченко (ОАО «Газпром»), д.т.н. Л.П. Вогман (ФГУ ВНИИПО МЧС России).
1 Область применения
1.1 Настоящий стандарт устанавливает категории по взрывопожарной и пожарной опасности, определенные в соответствии с НПБ 105-03 [1], для перечня типопредставителей помещений, зданий и наружных установок производственного и складского назначения объектов транспортировки, подземного хранения и переработки газа и газового конденсата ОАО «Газпром».
1.2 Настоящий стандарт предназначен для использования в проектной и эксплуатационной документации структурными подразделениями ОАО «Газпром», дочерними обществами и организациями ОАО «Газпром» при проектировании новых, реконструкции, техническом перевооружении, изменении технологических процессов и эксплуатации помещений, зданий и наружных установок объектов транспортировки, подземного хранения и переработки газа и газового конденсата ОАО «Газпром».
1.3 В проектной и эксплуатационной документации на здания, помещения и наружные установки, имеющие отступления от исходных данных, приведенных в приложениях А, Б и В, настоящий стандарт должен использоваться вместе с методикой определения категорий помещений, зданий и наружных установок по НПБ 105-03 [1], и соответствующие расчеты категорий должны быть откорректированы по фактическим данным.
1.4 Определенные настоящим стандартом категории помещений, зданий и наружных установок следует применять для установления нормативных требований по обеспечению пожаровзрывобезопасности объектов проектирования и эксплуатации в отношении планировки и застройки, этажности, площадей, размещения помещений, объемно-планировочных и конструктивных решений, инженерного оборудования, средств и способов противопожарной защиты.
1.5 Сведения по категориям отдельных объектов ОАО «Газпром», приведенные в действующих стандартах ОАО Газпром, других нормативных документах, следует считать справочными и требующими подтверждения расчетами в каждом конкретном случае.
2 Нормативные ссылки
В настоящем стандарте использованы нормативные ссылки на следующие стандарты:
ГОСТ 7885-86* Углерод технический для производства резины. Технические условия.
ГОСТ 12.1.004-91* Система стандартов безопасности труда. Пожарная безопасность. Общие требования.
ГОСТ 12.1.033-81* Система стандартов безопасности труда. Пожарная безопасность. Термины и определения.
ГОСТ 12.1.010-76* Система стандартов безопасности труда. Взрывобезопасность. Общие требования.
ГОСТ 12.1.044-89* (ИСО 4589-84) Система стандартов безопасности труда. Пожаровзрывоопасность веществ и материалов. Номенклатура показателей и методы их определения.
ГОСТ Р 12.3.047-98 Система стандартов безопасности труда. Пожарная безопасность технологических процессов. Общие требования. Методы контроля.
СТО Газпром НТП 1.8-001-2004 Нормы технологического проектирования объектов газодобывающих предприятий и станций подземного хранения газа.
СТО Газпром РД 1.2-138-2005 Методика оценки пожаровзрывоопасности систем местных отсосов.
СТО Газпром 2-3.5-051-2006 Нормы технологического проектирования магистральных трубопроводов.
СТО Газпром 2-1.1-094-2007 Перечень помещений, зданий и наружных установок объектов добычи и обустройства газовых месторождений ОАО «Газпром» с категориями по взрывопожарной и пожарной опасности.
Примечание – При пользовании настоящим стандартом следует проверить действие ссылочных стандартов по соответствующим указателям, составленным на 1 января текущего года, и информационным указателям, опубликованным в текущем году. Если ссылочный документ заменен (изменен), то при пользовании настоящим стандартом следует руководствоваться замененным (измененным) документом. Если ссылочный документ отменен без замены, то положение, в котором дана ссылка на него, применяется в части, не затрагивающей эту ссылку.
3 Термины и определения
3.1 В настоящем стандарте применены термины по ГОСТ 12.1.010, ГОСТ 12.1.033, ГОСТ 12.1.044, ГОСТ Р 12.3.047, в том числе следующие термины с соответствующими определениями:
3.1.1 авария: Разрушение сооружений и (или) технических устройств, применяемых на опасном производственном объекте, неконтролируемый взрыв и (или) выброс опасных веществ
[ГОСТ Р 12.3.047-98, п. 3.1.1].
3.1.2 анализ опасности: Выявление нежелательных событий, влекущих за собой реализацию опасности, анализ механизма возникновения таких событий и масштаба их величины, способного оказать поражающее действие
[ГОСТ Р 12.3.047-98, п. 3.1.10].
3.1.3 взрыв: Быстрое экзотермическое химическое превращение взрывоопасной среды, сопровождающееся выделением энергии и образованием сжатых газов, способных проводить работу
[ГОСТ 12.1.010-76, Приложение].
3.1.4 время срабатывания и время отключения: Промежуток времени от начала возможного поступления горючего вещества из трубопровода (перфорация, разрыв, изменение номинального давления и т.п.) до полного прекращения поступления газа или жидкости в помещение
[ГОСТ Р 12.3.047-98, п. 3.1.19].
3.1.5 горючие (сгораемые) вещества и материалы: Вещества и материалы, способные самовозгораться, а также возгораться при воздействии источника зажигания и самостоятельно гореть после его удаления
[ГОСТ 12.1.044-89* (ИСО 4589-84), п. 2.1].
3.1.6 группа горючести: Классификационная характеристика способности веществ и материалов к горению
[ГОСТ 12.1.044-89*(ИСО 4589-84), п. 2.1.1].
3.1.7 индивидуальный риск: Вероятность (частота) возникновения опасных факторов пожара и взрыва, возникающая при аварии в определенной точке пространства. Характеризует распределение риска
[ГОСТ Р 12.3.047-98, п. 3.1.13.].
3.1.8 легковоспламеняющиеся жидкости (ЛВЖ): Горючие жидкости с температурой вспышки не более 61 °C в закрытом тигле или 66 °C в открытом тигле, зафлегматизированных смесей, не имеющих вспышку в закрытом тигле
[ГОСТ 12.1.044-89* (ИСО 4589-84), п. 2.1.2].
Жидкости, температура вспышки которых не более 61 °C в закрытом тигле
[ГОСТ 19433-88*, п. 1.2.3].
3.1.9 негорючие (несгораемые): Вещества и материалы, не способные к горению в воздухе. Негорючие вещества могут быть пожароопасными (например, окислители или вещества, выделяющие горючие продукты при взаимодействии с водой, кислородом воздуха или друг с другом)
[ГОСТ 12.1.044-89*(ИСО 4589-84), п. 2.1.2].
3.1.10 нижний (верхний) концентрационный предел распространения пламени: Минимальное (максимальное) содержание горючего вещества в однородной смеси с окислительной средой, при котором возможно распространение пламени по смеси на любое расстояние от источника зажигания
[ГОСТ 12.1.044-89* (ИСО 4589-84), п. 2.5.1].
3.1.11 опасность: Потенциальная возможность возникновения процессов или явлений, способных вызвать поражение людей, наносить материальный ущерб и разрушительно воздействовать на окружающую атмосферу
[ГОСТ Р 12.3.047-98, п. 3.1.9].
3.1.12 оценка риска: Расчет значений индивидуального и социального риска для рассматриваемого предприятия и сравнение его с нормативными значениями
[ГОСТ Р 12.3.047-98, п. 3.1.12].
3.1.13 пожарная опасность: Возможность возникновения и/или развития пожара
[ГОСТ 12.1.033-88*, п. 20].
3.1.14 пожарная безопасность объекта: Состояние объекта, при котором с регламентируемой вероятностью исключается возможность возникновения и развития пожара и воздействия на людей опасных факторов пожара, а также обеспечивается защита материальных ценностей
[ГОСТ 12.1.033-81*, п. 41].
3.1.15 пожаровзрывоопасность веществ и материалов: Совокупность свойств, характеризующих их способность к возникновению и распространению горения. Следствием горения, в зависимости от его скорости и условий протекания, могут быть пожар (диффузионное горение) или взрыв (дефлаграционное горение предварительно перемешанной смеси горючего с окислителем)
[ГОСТ 12.1.044-89* (ИСО 4589-84), раздел 2].
[ГОСТ 12.1.033-81*, п. 41].
3.1.16 пороговое количество вещества: Минимальное количество единовременно находящегося в производстве вещества, которое определяет границу между технологическими процессами и технологическими процессами повышенной пожарной опасности.
[ГОСТ Р 12.3.047-98, п. 3.1.17].
3.1.17 размер зоны: Протяженность ограниченной каким-либо образом части пространства
[ГОСТ Р 12.3.047-98, п. 3.1.16].
3.1.18 температура воспламенения: Наименьшая температура вещества, при которой в условиях специальных испытаний вещество выделяет горючие пары и газы с такой скоростью, что при воздействии на них источника зажигания наблюдается воспламенение
[ГОСТ 12.1.044-89* (ИСО 4589-84), п. 2.3.1].
3.1.19 температура вспышки: Наименьшая температура конденсированного вещества, при которой в условиях специальных испытаний над его поверхностью образуются пары, способные вспыхивать в воздухе от источника зажигания; устойчивое горение при этом не возникает
[ГОСТ 12.1.044-89* (ИСО 4589-84), п. 2.2.1].
3.1.20 технологический процесс: Часть производственного процесса, связанная с действиями, направленными на изменение свойств и (или) состояния обращающихся в процессе веществ и изделий
[ГОСТ Р 12.3.047-98, п. 3.1.18].
3.2 В настоящем стандарте, кроме определенных в стандартах различного уровня терминов, применены также следующие термины с соответствующими определениями, регламентированные иными нормативно-правовыми и нормативными документами:
3.2.1 наружная установка: Комплекс аппаратов и технологического оборудования, расположенных вне зданий, с несущими и обслуживающими конструкциями
[НПБ 105-03 [1], Введение].
3.2.2 пожар: Неконтролируемое горение, причиняющее материальный ущерб, вред жизни и здоровью граждан, интересам общества и государства
[Федеральный закон «О пожарной безопасности» [2], ст. 1].
3.3 Кроме того, в настоящем стандарте под терминами «пожарная нагрузка» и «типопредставители» понимаются:
3.3.1 пожарная нагрузка: Суммарное количество теплоты, которое может выделиться при пожаре от всех временно хранящихся; находящихся в составе оборудования, мебели и оргтехники; обращающихся в технологическом оборудовании, размещенном в помещении, горючих веществ и материалов.
3.3.2 типопредставители: Объекты (помещения, здания, наружные установки), являющиеся типичными по функциональному назначению, технологическому процессу (операции), используемому технологическому оборудованию и обращающимся (находящимся) веществам и материалам.
4 Обозначения и сокращения
В данном стандарте приняты следующие обозначения и сокращения.
АВО – аппарат воздушного охлаждения
АГРС – автоматическая газораспределительная станция
АТС – автоматическая телефонная станция
БИИУПП – блок извлечения изопентана и узел получения пропана
БКЭС – блочно-комплектная электростанция
БОПСГ – блок очистки и получения сжиженных газов
БФ – бензиновая фракция
ВП – вторичная перегонка
ВСГ – водородосодержащий газ
ГГ – горючий газ
ГЖ – горючая жидкость
ГО – гражданская оборона
ГРС – газораспределительная станция
ГИС – газоизмерительная станция
ГНС – газонаполнительная станция
ГПЗ – газоперерабатывающий завод
ГПА – газоперекачивающий агрегат
ГРП – газораспределительный пункт
ГСМ – горюче-смазочные материалы
ДСП – древесно-стружечная плита
ДТ – дизельное топливо
ДФ – дизельная фракция
ДЭГ - диэтиленгликоль
ДЭС – дизельная электростанция
ЕСГ – Единая система газоснабжения
ЗИП – запасные части, инструменты и принадлежности
ЗСК – завод стабилизации конденсата
ЗРУ – закрытое распределительное устройство
КИП – контрольно-измерительные приборы
КИПиА – контрольно-измерительные приборы и автоматика
КНС – канализационная насосная станция
КОМТ – комплекс облагораживания моторных топлив
КОС – комплекс очистных сооружений
КПП – контрольно-пропускной пункт
КС – компрессорная станция
КТП – комплектная трансформаторная подстанция
КУПГК – комбинированная установка по переработке газового конденсата
КФ – керосиновая фракция
КФНС – кустовая фильтрационная насосная станция
КЦ – компрессорный цех
ЛВЖ – легковоспламеняющаяся горючая жидкость
ЛКМ – лакокрасочные материалы
МГ – магистральные газопроводы
МИЖУ – модуль изотермической жидкой углекислоты
НГКС – нефтегазоконденсатная смесь
НКПР – нижний концентрационный предел распространения пламени,
НПБ – нормы пожарной безопасности
ПБФ – пропан-бутановая фракция
ПВХ – поливинилхлорид
ПГФ – пропан-гексановая фракция
ПХГ – подземное хранилище газа
ПЭБ – производственно-эксплуатационный блок
САУ – система автоматизированного управления
СК – стабильный конденсат (углеводородный)
СОГ – станция охлаждения газа
СПБТ – смесь пропан-бутановая техническая
СПХГ – станция подземного хранения газа
СТО – стандарт организации
СУГ – сжиженные углеводородные газы
ТЗП – топливозаправочный пункт
УЗОУ – устройство запуска очистки устройства
УКР – установка каталитического риформинга
УМТ – установка моторных топлив
УПМТ – установка производства моторного топлива
УПОУ – установка приема очистного устройства
УППУ – установка (участок) пиролизного получения углерода
УСК – установка стабилизации конденсата
УТПУ – установка (участок) термического получения углерода
ЧС – чрезвычайная ситуация
ЦЗЛ – центральная заводская лаборатория
ЦПУ – центральный пункт управления
ЦТП – центральный тепловой пункт
ШФЛУ – широкая фракция легких (летучих) углеводородов
ЭЛОУ – электрообессоливания и обезвоживания установка
ЭХЗ – электрохимзащита
5 Общие положения
5.1 Настоящий стандарт содержит перечень типопредставителей помещений, зданий и наружных установок производственного (основного и вспомогательного) и складского назначения объектов транспортировки, подземного хранения и переработки газа ОАО «Газпром» (далее – Перечень), относящихся по функциональной пожарной опасности к классу Ф5 согласно СНиП 21-01-97* [3] и подлежащих категорированию по взрывопожарной и пожарной опасности.
5.2 Категории по взрывопожарной и пожарной опасности для каждого типопредставителя помещений, зданий и наружных установок определены и расчетно обоснованы в зависимости от количества и пожаровзрывоопасных свойств находящихся (обращающихся) в них веществ и материалов, с учетом особенностей технологических процессов размещаемых в них производств, в соответствии с НПБ 105-03 [1]. Расчеты приведены в приложениях А, Б и В настоящего стандарта.
Расчетные обоснования категорий помещений, зданий и наружных установок объектов транспортировки и подземного хранения, являющихся аналогичными по исходным данным объектам добычи и обустройства газовых месторождений, приведены в приложениях А и Б СТО Газпром 2-1.1-094.
5.3 По взрывопожарной и пожарной опасности помещения подразделяются на категории А, Б, В1 - В4, Г и Д согласно таблице 1 НПБ 105-03 [1].
5.4 Разделение помещений на категории В1 - В4 нормируются по удельной пожарной нагрузке и способу ее размещения в соответствии с таблицей 4 НПБ 105-03 [1].
5.5 Здания подразделяются на категории А, Б, В, Г и Д.
5.6 По пожарной опасности наружные установки подразделяются на категории Ан, Бн, Вн, Гн и Дн согласно таблице 7 НПБ 105-03 [1].
5.7 Категории взрывопожарной и пожарной опасности помещений и наружных установок определяются для наиболее неблагоприятного в отношении пожара (взрыва) расчетного варианта аварии или периода нормальной работы технологического оборудования, исходя из вида находящихся в помещениях и наружных установках горючих веществ и материалов, их количества и пожароопасных свойств, особенностей технологических процессов.
5.8 Категории зданий определяются в соответствии с разделом 4 НПБ 105-03 [1] в зависимости от площади и категорий находящихся в них помещений с учетом разъяснений [4].
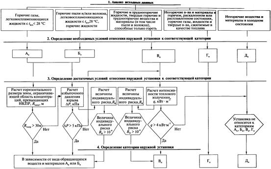
6 Алгоритм расчета критериев взрывопожарной и пожарной опасности помещений
Алгоритм расчета критериев взрывопожарной и пожарной опасности помещений включает следующие процедуры (см. рисунок 1).
6.1 Анализ исходных данных
Проводится анализ исходных данных состава, пожароопасных свойств и количества веществ и материалов, обращающихся (находящихся) в категорируемом помещении. Оцениваются технологический процесс и оборудование, размещение пожарной нагрузки в помещении, наличие и эффективность вентиляции, температурный режим в помещении. В результате анализа выявляются вещества и материалы по группам горючести (ГГ, ЛВЖ, ГЖ, горючие пыли, горючие твердые вещества, негорючие вещества и материалы).
6.2 Определение необходимых условий отнесения помещения к соответствующей категории
Необходимые условия отнесения помещения к соответствующей категории определяются путем последовательной проверки достижения критериев взрывопожарной и пожарной опасности, нормируемых НПБ 105-03 [1] для соответствующей категории помещений, начиная от более высокой (А) к низкой (Д).
6.2.1 Необходимое условие отнесения помещения к взрывопожароопасной категории А:
- наличие ГГ или ЛВЖ с температурой вспышки не более 28 °C или веществ и материалов, способных взрываться и гореть при взаимодействии с водой, кислородом воздуха или друг с другом.
6.2.2 Необходимое условие отнесения помещения к взрывопожароопасной категории Б:
- наличие горючей пыли и волокон или ЛВЖ с температурой вспышки более 28 °C, или ГЖ, нагретых выше температуры вспышки.
6.2.3 Необходимое условие отнесения помещения к одной из пожароопасных категорий В1 - В4:
- наличие горючих и трудногорючих жидкостей; твердых горючих и трудногорючих (веществ и материалов (в том числе пылей и волокон); веществ и материалов, способных при взаимодействии с водой, кислородом воздуха или друг с другом только гореть, при условии, что помещения, в которых они имеются в наличии или обращаются, не относятся к категориям А или Б.
6.2.3.1 Необходимые условия отнесения помещения к пожароопасной категории В1:
а) по п. 6.2.3;
б) значение рассчитанной согласно НПБ 105-03 [1] удельной пожарной нагрузки gр, МДж/м2, соответствует нормируемому НПБ 105-03 [1] значению удельной пожарной нагрузки g, превышающему 2200 МДж/м2.
6.2.3.2 Необходимые условия отнесения помещения к пожароопасной категории В2:
а) по п. 6.2.3;
б) значение рассчитанной согласно НПБ 105-03 [1] удельной пожарной нагрузки gр, МДж/м2, соответствует нормируемому НПБ 105-03 [1] значению удельной пожарной нагрузки g, находящемуся в интервале 1401 ¸ 2200 МДж/м2.
6.2.3.3 Необходимые условия отнесения помещения к пожароопасной категории В3:
а) по п. 6.2.3;
б) значение рассчитанной согласно НПБ 105-03 [1] удельной пожарной нагрузки gр, МДж/м2, соответствует нормируемому НПБ 105-03 [1] значению удельной пожарной нагрузки g, находящемуся в интервале 181 ¸ 1400 МДж/м2.

Рисунок 1 – Алгоритм расчета критериев взрывопожарной и пожарной опасности помещений
6.2.3.4 Необходимые условия отнесения помещения к пожароопасной категории В4:
а) по п. 6.2.3;
б) значение рассчитанной согласно НПБ 105-03 [1] удельной пожарной нагрузки gр, МДж/м2, соответствует нормируемому НПБ 105-03 [1] значению удельной пожарной нагрузки g, находящемуся в интервале 1 ¸ 180 МДж/м2.
6.2.4 Необходимое условие отнесения помещения к категории Г:
- наличие негорючих веществ и материалов в горячем, раскаленном или расплавленном состоянии, процесс обработки которых сопровождается выделением лучистого тепла, искр и пламени или ГГ, ГЖ и твердых горючих веществ, которые сжигаются или утилизируются в качестве топлива.
6.2.5 Необходимое условие отнесения помещения к категории Д:
- наличие в помещении негорючих веществ и материалов в холодном состоянии.
6.3 Определение достаточных условий отнесения помещения к соответствующей категории
После определения необходимых условий, позволяющих отнести данное помещение к соответствующей категории (от А к Д), проверяется выполнение достаточных условий для выбранной категории.
Достаточные условия отнесения помещения к соответствующей категории определяются путем расчетов значений критериев взрывопожарной и пожарной опасности и сопоставления полученных результатов с нормируемым НПБ 105-03 [1] значением.
6.3.1 Достаточное условие отнесения помещения к взрывопожароопасной категории А:
- расчетное избыточное давление при сгорании газо-, паровоздушных смесей, DP, превышает 5 кПа.
6.3.2 Достаточное условие отнесения помещения к взрывопожароопасной категории Б:
- расчетное избыточное давление при сгорании пыле-, паровоздушных смесей, DP, превышает 5 кПа.
6.3.3 Достаточное условие отнесения помещения к пожароопасной категории В1:
- не относится к категориям А и Б.
6.3.4 Достаточные условия отнесения помещения к пожароопасной категории В2:
а) не относится к категориям А и Б;
б) количество пожарной нагрузки Q, определенное в соответствии с НПБ 105-03 [1], не должно отвечать неравенству п. 25 НПБ 105-03 [1]: Q³ 0,64 · gт · H2, где H– минимальное расстояние от поверхности пожарной нагрузки до нижнего пояса ферм перекрытия (покрытия), м; gт = 2200 МДж/м2 при 1401 МДж/м2£ g£ 2200 МДж/м2. В случае выполнения неравенства помещение переходит в более высокую категорию В1;
в) способ размещения пожарной нагрузки соответствует нормируемому п. 25 НПБ 105-03 [1].
6.3.5 Достаточные условия отнесения помещения к пожароопасной категории В3:
а) не относится к категориям А и Б;
б) количество пожарной нагрузки Q, определенное в соответствии с НПБ 105-03 [1], не должно отвечать неравенству п. 25 НПБ 105-03 [1]: Q³ 0,64 · gт · H2, где H – минимальное расстояние от поверхности пожарной нагрузки до нижнего пояса ферм перекрытия (покрытия), м; gт = 1400 МДж/м2 при 181 МДж/м2£ g£ 1400 МДж/м2. В случае выполнения неравенства помещение переходит в более высокую категорию В2;
в) способ размещения пожарной нагрузки соответствует нормируемому п. 25 НПБ 105-03 [1].
6.3.6 Достаточные условия отнесения помещения к пожароопасной категории В4:
а) не относится к категориям А и Б;
б) способ размещения пожарной нагрузки соответствует нормируемому НПБ 105-03 [1], т.е. в помещении расстояние между возможно выделенными участками категории В4 площадью 10 м2 должны быть более предельных, указанных в таблице 5 НПБ 105-03 [1], или не менее 12 м при неизвестном значении критической плотности падающих лучистых потоков. При несоблюдении указанного условия размещения помещение переходит в более высокую категорию В3. Если пожарная нагрузка распределена равномерно по площади, превышающей 10 м2, то помещение переходит в более высокую категорию В3.
6.3.7 Достаточное условие отнесения помещения к категории Г:
- помещение не относится к категориям А, Б или В1 - В4.
6.3.8 Достаточное условие отнесения помещения к категории Д:
- помещение не относится к категориям А, Б, В1 - В4, Г.
6.4 Расчет значений критериев взрывопожарной и пожарной опасности отнесения помещения к соответствующей категории
6.4.1 Расчет избыточного давления взрыва – критерия взрывопожарной опасности помещений категории А и Б
Расчеты избыточного давления, DP, кПа, выполняются в соответствии с формулами (1) или (4) НПБ 105-03 [1]:
,
.
Формулы (1) и (4) содержат переменные и постоянные величины, в том числе:
Pmax– максимальное давление взрыва стехиометрической газо-, паровоздушной смеси в замкнутом объеме, кПа, – величина переменная, принимается по справочным данным или при их отсутствии равной 900 кПа согласно НПБ 105-03 [1];
P0 – начальное давление, кПа, – величина постоянная, для всех расчетов принимается равной 101 кПа согласно НПБ 105-03 [1];
Z- коэффициент участия горючего вещества во взрыве - величина переменная, может быть рассчитана по рекомендуемому приложению в НПБ 105-03 [1] или принимается по таблице 2 НПБ 105-03 [1];
Таблица 2
| Вид горючего вещества | Значение Z |
| Водород | 1,0 |
| Горючие газы | 0,5 |
| Легковоспламеняющиеся и горючие жидкости, нагретые до температуры вспышки и выше | 0,3 |
| Легковоспламеняющиеся и горючие жидкости, нагретые ниже температуры вспышки, при наличии возможности образования аэрозоля | 0,3 |
| Легковоспламеняющиеся и горючие жидкости, нагретые ниже температуры вспышки, при отсутствии возможности образования аэрозоля | 0 |
Vсв – свободный объем помещения, м3:
Vсв = Vп · K,
| где Vп | – объем помещения, м3, – величина переменная, принимается по исходным данным; |
| K | – коэффициент свободного объема помещения – величина постоянная, при отсутствии фактических данных по свободному объему помещения равная 0,8 согласно НПБ 105-03 [1]; |
| rг, п | – плотность газа или пара при расчетной температуре tр, кг/м3, – величина переменная, рассчитывается по формуле (2) НПБ 105-03 [1]: |
,
| где V0 | – мольный объем, равный 22,413 м3/кмоль, – величина постоянная, |
| M | – молярная масса, кг/кмоль, – величина переменная, принимается по справочным данным, |
| tр | – расчетная температура, °C, – величина переменная, принимается по исходным данным, |
| rв | - плотность воздуха до взрыва при расчетной температуре tр, кг/м3, – величина переменная, рассчитывается также по формуле (2) НПБ 105-03 [1], |
| Cр | - теплоемкость воздуха – величина постоянная для всех расчетов, принимается равной 1,01·103 Дж/(кг·К) согласно НПБ 105-03 [1], |
| T0 | – начальная температура воздуха, К, – величина переменная, определяется из выражения (tр + 273), |
| Kн | - коэффициент, учитывающий негерметичность помещения и неадиабатичность процесса горения, – величина постоянная для всех расчетов, принимается равной 3 согласно НПБ 105-03 [1], |
| HТ | – теплота сгорания, Дж/кг, – величина переменная, принимается по справочным данным, |
| Cст | - стехиометрическая концентрация ГГ или паров ЛВЖ и ГЖ, % об., – величина переменная, вычисляется по формуле (3) НПБ 105-03 [1]: |
,
где b – стехиометрический коэффициент кислорода в реакции сгорания:
,
| где nC, nH, nO, nx | – число атомов C, H, O и галоидов в молекуле горючего. |
| m | - масса ГГ или паров ЛВЖ и ГЖ, поступивших в результате расчетного варианта аварии в помещение, – величина переменная, рассчитывается по нижеприведенным формулам с учетом исходных данных, кг. |
Для ГГ mвычисляется по формуле (6) НПБ 105-03 [1]:
m = (Vа + Vт) · rг,
где Vа- объем газа, вышедшего из аппарата в результате аварийной ситуации, м3,
Vа = 0,01 P1 · V,
| где P1 | – давление в аппарате, кПа, |
| V | – объем аппарата, м3; |
| Vт | – объем газа, вышедшего из трубопровода, м3: |
Vт = V1т + V2т,
где V1т- объем газа, вышедшего из трубопровода до его отключения, м3:
V1т = q · T,
| где q | – расход газа, м3/с; |
| T | – расчетное время отключения, с, определяется по п. 7в) НПБ 105-03 [1]; |
| V2т | – объем газа, вышедшего из трубопровода после его отключения, м3; |
V2т = 0,01 · p · P2 · (r2 · L),
| где P2 | – давление в трубопроводе, кПа; |
| r | – внутренний радиус трубопровода, м; |
| L | – длина трубопровода от аварийного аппарата до задвижек, м. |
Для паров ЛВЖ и ГЖ mвычисляется по формуле (12) НПБ 105-03 [1],
m = W · Fи · T,
| где T | – время испарения жидкости, принимается 3600 с по НПБ 105-03 [1], |
| Fи | – площадь испарения, м2, – величина переменная, определяется по п. 7г) НПБ 105-03 [1] исходя из расчета, что 1 л смесей и растворов, содержащих 70 % и менее (по массе) растворителей, разливается на площади 0,5 м2, а для остальных жидкостей и сжиженных углеводородных газов (СУГ) – 1 м2. Если рассчитанная таким образом площадь испарения превышает площадь помещения или площадь ограждения, препятствующего растеканию жидкости, то последние принимаются за площадь испарения. |
| W | – интенсивность испарения с поверхности разлитой жидкости, не нагретой выше температуры окружающей среды, или из открытых емкостей, определяется по формуле (13) НПБ 105-03 [1],кг/(с·м2): |
W = 10-6 · h ·
· Pн,
| где M | – молярная масса жидкости, кг/кмоль, принимается по справочным данным, |
| Pн | – давление насыщенных паров ЛВЖ и ГЖ при расчетной температуре, кПа, определяется по уравнению: |
,
| где A, B, C | – константы уравнения Антуана, принимаются по справочным данным, |
| c | – объемная доля ЛВЖ, ГЖ в смеси, принимается по исходным данным (для чистых жидкостей c =1); |
| h | – коэффициент, определяется по таблице 3 НПБ 105-03 [1] согласно исходным данным. |
Массовая скорость поступления паров ЛВЖ, ГЖ в результате расчетной аварии, кг/с может быть также рассчитана по формулам, приведенным в СТО Газпром РД 1.2-138.
Таблица 3
| Скорость воздушного потока, м/с | Значение коэффициента h при температуре t(°C) воздуха в помещении | ||||
10
15
20
30
35
0
1,0
1,0
1,0
1,0
1,0
0,1
3,0
2,6
2,4
1,8
1,6
0,2
4,6
3,8
3,5
2,4
2,3
0,5
6,6
5,7
5,4
3,6
3,2
1
10,0
8,7
7,7
5,6
4,6
6.4.2 Унифицированные формулы расчета избыточного давления взрыва для ГГ, паров ЛВЖ и ГЖ
Для снижения трудоемкости расчетов избыточного давления взрыва, DP, целесообразно использовать приведенные ниже унифицированные формулы расчетов (1у) и (4у), выведенные из соответствующих формул (1) и (4) НПБ 105-03 [1] путем объединения постоянных величин в числовые коэффициенты.
,
.
Ниже приведены рассчитанные значения переменных величин rв и Cст для наиболее востребованных веществ и диапазона температур.
В таблице 6.1 представлены рассчитанные значения плотности воздуха, rв, в диапазоне абсолютных максимальных температур воздуха регионов России (от 30° до 44 °C).
Таблица 6.1 – Рассчитанные значения плотности воздуха, rв
| Расчетная температура воздуха, tр, °C | rв, кг/м3 |
| 30 | 1,166 |
| 31 | 1,162 |
| 32 | 1,158 |
| 33 | 1,154 |
| 34 | 1,150 |
| 35 | 1,147 |
| 36 | 1,143 |
| 37 | 1,139 |
| 38 | 1,136 |
| 39 | 1,132 |
| 40 | 1,128 |
| 41 | 1,125 |
| 42 | 1,121 |
| 43 | 1,118 |
| 44 | 1,114 |
В таблице 6.2 приведены рассчитанные значения стехиометрического коэффициента кислорода в реакции сгорания (b) и стехиометрической концентрации ГГ или паров ЛВЖ (Cст) для ряда веществ.
Таблица 6.2 - Рассчитанные значения b и Cст
| Наименование вещества | Формула | b | Cст, %, об |
| Ацетон | C3H6O | 4 | 11,31 |
| Бензин | C6,911H12,188 | 10,0 | 2,02 |
| Бензол | C6H6 | 7,5 | 2,68 |
| Бутан | C4H10 | 6,5 | 3,08 |
| Водород | H2 | 0,5 | 29,24 |
| Гексан | C6H14 | 9,5 | 2,13 |
| Гептан | C7H16 | 11 | 1,84 |
| Дизтопливо | C12,343H23,839 | 18,30 | 1,12 |
| Диэтиловый эфир | C4H10O | 6 | 3,33 |
| Изопропиловый спирт | C3H8O | 4,5 | 4,4 |
| Керосин | C10,914H21,832 | 16,37 | 1,25 |
| Метан | CH4 | 2 | 9,36 |
| Метанол (спирт метиловый) | CH4O | 1,5 | 12,11 |
| Октан, изооктан | C8H18 | 12,5 | 1,63 |
| Пентан | C5H12 | 8 | 2,52 |
| Пропан | C3H8 | 5 | 3,97 |
| Толуол | C7H8 | 9 | 2,24 |
| Этан | C2H6 | 3,5 | 5,57 |
| Этиловый спирт | C2H6O | 3 | 6,44 |
Для расчета DP, кПа, наиболее востребованных веществ можно использовать сокращенные формулы, приведенные в таблице 6.3, в которых вычислены переменные величины формул расчета (1у) и (4у), не меняющиеся в расчетах для данного вещества (Z, H, Cст).
Для ГГ можно использовать формулу (1гу), в которой масса газа выражена через объем Vг = m/rг.
Таблица 6.3 – Сокращенные формулы расчета DP, кПа
| Наименование вещества | Сокращенные формулы для горючих газов (ГГ) | |
| Горючие газы: |
| |
| Водород |
| |
| Бутан |
| |
| Метан |
| |
| Пропан |
| |
| Этан |
| |
|
| Сокращенные формулы для ЛВЖ | |
| ЛВЖ: |
|
|
| Ацетон |
|
|
| Бензин |
|
|
| Бензол |
|
|
| Гексан |
|
|
| Гептан |
|
|
| Дизтопливо «З» |
|
|
| Диэтиловый эфир |
|
|
| Изопропиловый спирт |
|
|
| Метанол (спирт метиловый) |
|
|
| Октан |
|
|
| Пентан |
|
|
| Толуол |
|
|
| Керосин |
|
|
6.4.3 Выбор и обоснование расчетного варианта
В качестве расчетного для вычисления критерия взрывопожарной опасности выбирается наиболее неблагоприятный вариант аварии или нормальной работы аппаратов, при котором во взрыве (пожаре) по № 69-ФЗ [2] участвует наибольшее количество веществ и материалов, наиболее опасных в отношении последствий взрыва.
Выбор наиболее опасной в отношении последствий взрыва ЛВЖ можно проводить с учетом нижеприведенного ряда ЛВЖ, убывающих в порядке снижения последствий аварии с их участием, при условии, что ЛВЖ находятся в одном помещении (Vп), при одной расчетной температуре (tр) и при аварийном разливе будут иметь одинаковую площадь испарения (Fи).

Примечание – В случае различия хотя бы одного из вышеперечисленных условий необходимо провести расчет для каждой ЛВЖ.
6.4.4 Расчет удельной пожарной нагрузки – критерия пожарной опасности помещений категории В1 - В4
Пожарная нагрузка Q, МДж, определяется по формуле (21) НПБ 105-03 [1]:
,
| где Gi | – количество материала i-той пожарной нагрузки, кг, по исходным данным, |
|
| – низшая теплота сгорания материала i-той пожарной нагрузки, МДж/кг, принимается по справочным данным. |
Удельная пожарная нагрузка g, МДж/м2, определяется по формуле (22) НПБ 105-03 [1]:
,
где S– площадь размещения пожарной нагрузки, м2, принимается по исходным данным с учетом п. 7г) и п. 25 НПБ 105-03 [1].
6.5 Определение категории помещения
Категория помещения определяется по совокупности выполнения необходимых и достаточных условий, позволяющих отнести данное помещение к соответствующей категории. Невыполнение достаточного условия приводит к соответствующему нормам повышению категории.
7 Алгоритм расчета критериев пожарной опасности наружных установок
Алгоритм расчета критериев взрывопожарной и пожарной опасности наружных установок включает следующие процедуры (см. рисунок 2).

Рисунок 2 – Алгоритм расчета критериев пожарной опасности наружных установок
7.1 Анализ исходных данных
Проводится анализ исходных данных состава, пожароопасных свойств и количества веществ и материалов, обращающихся (находящихся) в категорируемой наружной установке. Оцениваются технологический процесс и оборудование, температурный режим рабочих сред. В результате анализа выявляются вещества и материалы по группам горючести (ГГ, ЛВЖ, ГЖ, горючие пыли, горючие твердые вещества, негорючие вещества и материалы).
7.2 Определение необходимых условий отнесения наружной установки к соответствующей категории
Необходимые условия отнесения наружной установки к соответствующей категории определяются путем последовательной проверки достижения критериев взрывопожарной и пожарной опасности, нормируемых НПБ 105-03 [1] для соответствующей категории помещений, начиная от более высокой (Ан) к низкой (Дн).
7.2.1 Необходимое условие отнесения наружной установки к взрывопожароопасной категории Ан:
- наличие в установке ГГ, ЛВЖ с температурой вспышки не более 28 °C; веществ и материалов, способных гореть при взаимодействии с водой, кислородом воздуха и/или друг с другом.
7.2.2 Необходимое условие отнесения наружной установки к взрывопожароопасной категории Бн:
- наличие горючей пыли и/или волокон; ЛВЖ с температурой вспышки более 28 °C, горючих жидкостей, для которых коэффициент участия горючего во взрыве, Z, не равен нулю.
7.2.3 Необходимое условие отнесения наружной установки к пожароопасной категории Вн:
- наличие горючих и/или трудногорючих жидкостей; твердых горючих и/или трудногорючих веществ и материалов, способных при взаимодействии с водой, кислородом воздуха, и/или друг с другом гореть, и при этом не реализуются критерии, позволяющие отнести установку к категориям Ан или Бн.
7.2.4 Необходимое условие отнесения наружной установки к категории Гн:
- наличие негорючих веществ и материалов в горячем, раскаленном или расплавленном состоянии, процесс обработки которых сопровождается выделением лучистого тепла, искр и пламени, а также ГГ, ГЖ и твердых горючих веществ, которые сжигаются или утилизируются в качестве топлива.
7.2.5 Необходимое условие отнесения наружной установки к категории Дн:
- наличие в наружной установке в основном негорючих веществ и материалов в холодном состоянии.
7.3 Определение достаточных условий отнесения наружной установки к соответствующей категории
После определения необходимых условий, позволяющих отнести данную наружную установку к соответствующей категории (от Ан к Дн), проверяется выполнение достаточных условий для выбранной категории.
Достаточные условия отнесения наружной установки к соответствующей категории определяются путем расчетов значений критериев пожарной опасности и сопоставления полученных результатов с нормируемым НПБ 105-03 [1] значением.
7.3.1 Достаточные условия отнесения наружной установки к категории Ан:
а) величина индивидуального риска поражения избыточным давлением при возможном сгорании указанных веществ с образованием волн давления превышает 10-6 в год на расстоянии 30 м от наружной установки;
б) горизонтальный размер зоны, ограничивающей газопаровоздушные смеси с концентрацией горючего выше НКПР, превышает 30 м;
в) расчетное избыточное давление при сгорании газо- или паровоздушной смеси на расстоянии 30 м от наружной установки превышает 5 кПа.
7.3.2 Достаточные условия отнесения наружной установки к категории Бн:
а) величина индивидуального риска поражения избыточным давлением при возможном сгорании указанных веществ с образованием волн давления превышает 10-6 в год на расстоянии 30 м от наружной установки;
б) горизонтальный размер зоны, ограничивающей газопаровоздушные смеси с концентрацией горючего выше НКПР, превышает 30 м;
в) расчетное избыточное давление при сгорании газо-, паро- или пылевоздушной смеси на расстоянии 30 м от наружной установки превышает 5 кПа.
7.3.3 Достаточные условия отнесения наружной установки к категории Вн:
а) не относится к категориям Ан или Бн:
б) величина индивидуального риска поражения тепловым излучением при возможном сгорании указанных веществ и материалов превышает 10-6 в год на расстоянии 30 м от установки;
в) интенсивность теплового излучения от очага пожара веществ и/или материалов указанных для категории Вн, на расстоянии 30 м от наружной установки превышает 4 кВт/м2.
7.3.4 Достаточное условие отнесения наружной установки к категории Гн:
- наружная установка не относится к категориям Ан, Бн, Вн.
7.3.5 Достаточное условие отнесения наружной установки к категории Дн:
- наружная установка не относится к категориям Ан, Бн, Вн, Гн.
7.4 Расчет значений критериев пожарной опасности – достаточных условий отнесения наружной установки к соответствующей категории.
Расчеты значений критериев пожарной опасности – достаточных условий отнесения наружной установки к соответствующей категории – выполняются в соответствии с НПБ 105-03 [1].
7.4.1 Расчет Rнкпр – одного из критериев отнесения наружной установки к категории Ан или Бн.
Горизонтальный размер зоны, ограничивающей газо- и паровоздушные смеси с концентрацией горючего выше НКПР, Rнкпр, рассчитывается согласно формулам (37) и (38) НПБ 105-03 [1]:
для горючих газов:
;
для паров ненагретых ЛВЖ:
,
| где mг, п | - масса газа или пара, поступившего в открытое пространство при аварии, кг; |
| Cнкпр | – нижний концентрационный предел распространения пламени, % (об.); |
| rг, п | - плотность газа при расчетной температуре, кг/м3, |
,
| K | - коэффициент, принимаемый равным K = T/ 3600; |
| Pн | - давление насыщенных паров при расчетной температуре, кПа. |
7.4.2 Расчет избыточного давления и импульса волны давления – критериев отнесения наружной установки к категории Ан или Бн.
Расчет избыточного давления DP, кПа, производится по формуле (39) НПБ 105-03 [1]:
,
| где P0 | - атмосферное давление, кПа (допускается принимать равным 101 кПа); |
| r | - расстояние от геометрического центра газопаровоздушного облака, м; |
| mпр | - приведенная масса газа или пара, кг, определяется по формуле (40) НПБ 105-03 [1]: |
,
| где Qсг | – удельная теплота сгорания газа или пара, Дж/кг; |
| Z | - коэффициент участия горючих газов или паров в горении, который допускается принимать равным 0,1; |
| Q0 | – константа, равная 4,52 · 106 Дж/кг. |
Величина импульса волны давления i, (Па·с), вычисляется по формуле (41) НПБ 105-03 [1]:
.
7.5 Выбор и обоснование расчетного варианта
В качестве расчетного для вычисления критериев пожарной опасности для горючих газов и паров в наружной установке следует принимать вариант аварии, для которого произведение годовой частоты реализации этого варианта Qwи расчетного избыточного давления DPпри сгорании газопаровоздушных смесей при реализации этого варианта максимально согласно формуле (26) НПБ 105-03 [1]:
G= Qw · DP= max.
При отсутствии статистических данных и годовой частоты реализации аварии в качестве расчетного следует выбирать наиболее неблагоприятный вариант аварии или период нормальной работы аппаратов наружной установки, при котором в образовании горючих газопаровоздушных смесей участвует наибольшее количество газов и паров, наиболее опасных в отношении последствий их сгорания.
7.6 Определение категории наружной установки
Категория наружной установки определяется по совокупности выполнения необходимых и достаточных условий, позволяющих отнести наружную установку к соответствующей категории. Невыполнение достаточного условия приводит к соответствующему изменению категории.
8 Перечень типопредставителей зданий объектов транспортировки, подземного хранения и переработки газа ОАО «Газпром» с категориями по взрывопожарной и пожарной опасности
Определение категорий зданий проведено с учетом суммарной площади помещений соответствующей категории, начиная от высшей (А) к низшей (Д).
Расчетные обоснования категорий зданий, указанных в таблице 8.1, приведены в приложении В настоящего стандарта.
Таблица 8.1
| Наименование здания | Категория здания |
| ОСНОВНОГО ПРОИЗВОДСТВЕННОГО НАЗНАЧЕНИЯ | |
| Транспортировка и подземное хранение газа | |
| 1 Здание узла подключения КС к МГ | А |
| 2 Здание блока сепарации | А |
| 3 Здание установки очистки газа (пылеуловители) | А |
| 4 Здание КЦ | А |
| 5 Укрытие турбоагрегата | А |
| 6 Укрытие поршневого компрессора ГПА | А |
| 7 Блок-бокс ГПА | А |
| 8 Здание УПТПИГ | А |
| 9 Здание запорной арматуры топливного и пускового газа | А |
| 10 Блок-бокс фильтров газа собственных нужд | А |
| 11 Здание подготовки масла общецеховой системы маслоснабжения КЦ | В |
| 12 Здание насосной склада сжиженных газов | А |
| 13 Здание насосно-компрессорного отделения СОГ | А |
| 14 Блок-бокс насосной ДЭГ | В |
| 15 а) Блок-бокс ГИС | А |
| 15 б) Блок-бокс приборный ГИС | В |
| 15 в) Блок-бокс операторной ГИС | В |
| 16 Блок-бокс АГРС | А |
| 17 Блок-бокс редуцирования газа | А |
| 18. Блок-бокс переключений | А |
| 19 Здание узла замера газа | А |
| 20 Блок-бокс аппаратуры замера газа | А |
| 21 Блок-бокс ГРП | А |
| 22 Блок-бокс насосной воды холодного цикла | Д |
| Переработка газа и газового конденсата | |
| 23 Здание пункта замера НГКС парка приема и хранения углеводородов | А |
| 24 Здание компрессорной сырьевого газа | А |
| 25 Здание цеха установки стабилизации конденсата (УСК) | А |
| 26 Здание цеха печей УСК | А |
| 27 Здание насосной УСК | А |
| 28 Здание насосной пропан-бутановой фракции БИИУПП | А |
| 29 Здание установки стабилизации газового конденсата и обработки сточных вод | А |
| 30 Здание машзала установки осушки и отбензинивания газа | А |
| 31 Здание насосной продуктов разделения ПБФ БИИУПП | А |
| 32 Здание насосной ПГФ, изопентана БИИУПП | А |
| 33 Здание насосной стабильного конденсата | А |
| 34 Здание насосной блока ЭЛОУ комбинированной установки по переработке газового конденсата (КУПГК) | А |
| 35 Здание насосной блока атмосферной перегонки КУПГК | А |
| 36 Здание насосной блока вторичной перегонки КУПГК | А |
| 37 Здание насосной блока очистки и получения сжиженных газов КУПГК | А |
| 38 Здание насосной установки гидроочистки | А |
| 39 Здание компрессорной установки гидроочистки | А |
| 40 Здание компрессорной установки каталитического риформинга (УКР) | А |
| 41 Здание насосной УКР | А |
| 42 Здание насосной секции гидроочистки керосиновой фракции установки гидроочистки керосина и дизтоплива комплекса облагораживания моторных топлив (КОМТ) | А |
| 43 Здание насосной секции каталитического риформинга БФ КОМТ | А |
| 44 Здание насосной секции предварительной гидроочистки БФ установки каталитического риформинга КОМТ | А |
| 45 Здание газовой компрессорной КОМТ | А |
| 46 Здание насосной установки моторных топлив | А |
| 47 Здание узла приготовления и ввода присадок | Б |
| 48 Здание компрессорной опытно-промышленной установки каталитического риформинга «Петрофак» | А |
| 49 Здание водородной компрессорной | А |
| 50 Здание установки печного производства углерода | А |
| 51 Здание насосной жидкого сырья | А |
| 52 Здание пирометрической установки термического (пиролизного) производства углерода (УТПУ) | А |
| 53 Здание углеродоосадителей УТПУ | А |
| 54 Здание насосной орошения УТПУ | Д |
| 55 Здание камеры сгорания производства канального (спец.) углерода | А |
| 56 Здание грануляции технического углерода | Б |
| 57 Здание упаковочной гранулированного технического углерода | Б |
| 58 Здание установки сепарации пластового газа высокого давления | А |
| 59 Здание установки очистки газа от сероводорода и углекислоты | А |
| 60 Здание установки получения серы | А |
| 61 Здание установки очистки газа от кислых компонентов с повторным компримированием | А |
| 62 Здание ГРС | А |
| 63 Здание гелиевых установок | В |
| ВСПОМОГАТЕЛЬНОГО ПРОИЗВОДСТВЕННОГО НАЗНАЧЕНИЯ | |
| Общепроизводственного назначения | |
| 64 Здание разделения газа | А |
| 65 Здание машзала азотно-кислородной станции | В |
| 66 Здание установки регенерации метанола | А |
| 67 Здание химлаборатории | В |
| 68 Здание ЦЗЛ | В |
| 69 Здание лаборатории контроля производства | В |
| Хранение, перекачка и отпуск продукции |
|
| 70 Здание установки наполнения и хранения баллонов с гелием | Д |
| 71 Здание ГНС | А |
| 72 Здание весовой ГНС | А |
| 73 Здание склада хранения технического углерода | В |
| 74 Здание насосной резервуарного парка хранения бензина | А |
| 75 Здание насосной парка приема и хранения углеводородов | А |
| 76 Здание манифольдной парка приема и хранения углеводородов | А |
| 77 Здание насосной резервуарного парка хранения ДФ и КФ | Б |
| 78 Здание манифольдной резервуарного парка хранения ДФ и КФ | Б |
| 79 Здание насосной резервуарного парка хранения СК | А |
| 80 Здание манифольдной резервуарного парка хранения СК | А |
| 81 Здание насосной резервуарного парка паспортизации моторных топлив | А |
| 82 Здание манифольдной резервуарного парка хранения пропана | А |
| 83 Здание насосной резервуарного парка хранения БФ и стабильного гидрогенизата | А |
| 84 Здание манифольдной резервуарного парка хранения БФ и стабильного гидрогенизатора | А |
| 85 Здание насосной резервуарного парка хранения бутана технического, смеси ПБТ | А |
| 86 Здание манифольдной резервуарного парка хранения бутана технического, смеси ПБТ | А |
| 87. Здание насосной резервуарного парка хранения изопентана, ПГФ | А |
| 88 Здание манифольдной резервуарного парка хранения изопентана, ПГФ | А |
| 89 Здание насосной резервуарного парка хранения реактивного топлива | А |
| 90 Здание манифольдной резервуарного парка хранения реактивного топлива | А |
| 91 Здание насосной метанола | А |
| 92 Здание маслонасосной склада масел | В |
| Водоснабжение, водоподготовка и очистка сточных вод |
|
| 93 Здание обезжелезивания воды водоочистных сооружений | Д |
| 94 Здание насосной загрязненных вод установки фильтрации и сжигания промотходов | Д |
| 95 Здание кустовой фильтрационной насосной станции | Д |
| 96 Здание насосной гидроциклона КОС | А |
| 97 Блок-бокс доочистки КОС | Д |
| 98 Блок-бокс насосной фильтрации КОС | Д |
| 99 Здание насосной установки регенерации метанола КОС | Д |
| 100 Здание флотаторной КОС | Д |
| 101 Здание для хранения и дозирования коагулянта и флоакулянта КОС | Д |
| 102 Здание барабанных сеток КОС | Д |
| 103 Здание бактерицидной очистки КОС | Д |
| 104 Блок-бокс биоочистки хозбытовых стоков | Д |
| 105 Здание станции очистки промстоков | Д |
| 106 Здание станции дополнительной очистки промстоков | Д |
| 107 Здание насосной бензиносодержащих промстоков | А |
| 108 Блок-бокс водоумягчительной станции | Д |
| 109 Здание КНС хозбытовых стоков | Д |
| 110 Здание аппаратной химводоочистки | Д |
| 111 Здание насосной 2-го водоподъема | Д |
| 112 Здание насосной станции хозяйственно-питьевого и противопожарного водоснабжения | Д |
| 113 Здание утилизационной насосной станции | Д |
| Энергетика, электроснабжение, связь, АСУТП и пожаротушение | |
| 114 Здание ПЭБ | В |
| 115 Здание электростанции собственных нужд | В |
| 116 Блок-бокс ДЭС | В |
| 117 БКЭС | В |
| 118 Здание ЗРУ | В |
| 119 Блок-бокс оперативного пульта управления ОРУН | В |
| 120 Здание КТП | В |
| 121 Блок-бокс газопоршневой электростанции | В |
| 122 Здание для передвижной автоматизированной электростанции | В |
| 123 а) Здание компрессорной сжатого воздуха (масляные компрессоры) | В |
| 123 б) Здание компрессорной сжатого воздуха (безмасляные компрессоры) | Д |
| 124 Здание котельной | Г |
| 125 Блок-бокс теплонасосной | Д |
| 126 Здание мотопомпы | А |
| 127 Здание МИЖУ | Д |
| 128 Здание насосной пенопожаротушения | Д |
| 129 Блок-бокс задвижек противопожарного водоснабжения | Д |
| 130 Блок-бокс КП телемеханики | Д |
| 131 Блок-бокс САУ (САУ ГПА) | В |
| ПОДСОБНОГО, СКЛАДСКОГО НАЗНАЧЕНИЯ И ТРАНСПОРТА | |
| 132 Здание ремонтно-механического участка | В |
| 133 Здание ремонта и наполнения баллонов азотом и кислородом | Д |
| 134 Здание склада запасного оборудования | Д |
| 135 Здание хранения баллонов с кислородом | Д |
| 136 Здание склада тарного хранения масла | В |
| 137 Блок-бокс насосной склада горюче-смазочных материалов | А |
| НЕПРОИЗВОДСТВЕННОГО НАЗНАЧЕНИЯ | |
| 138 Здание ЦПУ – не категорируется, так как относится по функциональной пожарной опасности классу Ф4 (категорируются только находящиеся в здании технические и производственные помещения) | |
| 139 Здание КПП – не категорируется, так как относится по функциональной пожарной опасности к классу Ф4 (категорируются только находящиеся в здании технические и производственные помещения) | |
| 140 Здание пождепо – не категорируется, так как относится по функциональной пожарной опасности к классу Ф4.4 (категорируются только находящиеся в здании технические и производственные помещения) | |
9 Перечень типопредставителей помещений объектов транспортировки, подземного хранения и переработки газа ОАО «Газпром» с категориями по взрывопожарной и пожарной опасности
Расчетные обоснования категорий помещений, указанных в таблице 9.1, приведены в приложении А настоящего стандарта.
Таблица 9.1
| Наименование помещения | Обращающиеся вещества, материалы | Категория помещения |
| ОСНОВНОГО ПРОИЗВОДСТВЕННОГО НАЗНАЧЕНИЯ | ||
| Транспортировка и подземное хранение газа | ||
| 1 Помещение узла подключения КС к МГ | ГГ – природный газ; ГЖ – масло | А |
| 2 Помещение блока сепарации СПХГ | ГГ - природный газ | А |
| 3 Помещение цеха осушки газа | ГГ – природный газ; ГЖ – гликоли | А |
| 4 Помещение цеха очистки газа | ГГ – природный газ; ЛВЖ – метанол | А |
| 5 Галерея нагнетателей компрессорного цеха (или отсек нагнетателя) | ГГ – природный газ; ГЖ – масло | А |
| 6 Машинный зал КЦ | ГГ – природный газ в качестве топлива, ГЖ – масло турбинное | В2 |
| 7 Машинный зал с ГПА | ГГ - природный газ | А |
| 8 Отсек автоматики ГПА | Твердые горючие материалы – карболит, ПВХ | В3 |
| 9 Отсек автоматической системы пожаротушения ГПА | Твердые горючие материалы – ПВХ, карболит | В4 |
| 10 Отсек маслоблока ГПА | ГЖ - масло | В1 |
| 11 Отсек маслоохладителей ГПА | ГЖ - масло | В1 |
| 12 Помещение фильтров газа | ГГ – природный газ | А |
| 13 Помещение подготовки масла КЦ | ГЖ - масло | В1 |
| 14 Помещение блока запорной арматуры топливного и пускового газа | ГГ – природный газ | А |
| 15 Помещение установки подготовки топливного, пускового и импульсного газа | ГГ – природный газ | А |
| 16 Помещение блока распределения газа | ГГ - природный газ | А |
| 17 Помещение блока редуцирования газа | ГГ – природный газ | А |
| 18 Помещение аппарата воздушного охлаждения масла | ГЖ – масло | В2 |
| 19 Помещение турбокомпрессорного агрегата пропана СОГ | ГГ – природный газ в качестве топлива, пропан | А |
| Переработка газа и газового конденсата | ||
| 20 Помещение насосной установки сепарации пластового газа высокого давления | ЛВЖ - метанол, конденсат | А |
| 21 Помещение машзала установки получения серы | ГГ – сероводород | А |
| 22 Помещение компрессорной установки очистки газа от кислых компонентов с повторным компримированием | ГГ - природный газ | А |
| 23 Помещение компрессорной установки осушки и отбензинивания газа | ГГ – природный газ | А |
| 24 Помещение насосной установки осушки и отбензинивания газа | ЛВЖ – пентан | А |
| 25 Помещение насосной блока ЭЛОУ комбинированной установки по переработке газового конденсата | ЛВЖ – конденсат (по гептану) | А |
| 26 Помещение насосной блока AT комбинированной установки по переработке газового конденсата | ЛВЖ – гептан, дизтопливо «З» | А |
| 27 Помещение насосной блока ВП комбинированной установки по переработке газового конденсата | СУГ – пропан; ЛВЖ - бензин | А |
| 28 Помещение горячей насосной блока AT комбинированной установки по переработке газового конденсата | ЛВЖ - бензин, дизтопливо «З» | А |
| 29 Помещение насосной БОПСГ комбинированной установки по переработке газового конденсата | СУГ - пропан, ГЖ – диэтаноламин | А |
| 30 Помещение насосной установки гидроочистки | ЛВЖ - бензин; ГЖ - диэтаноламин, масло, мазут | А |
| 31 Помещение компрессорной установки гидроочистки | ГГ – водород | А |
| 32 Помещение компрессорной УКР | ГГ – водород | А |
| 33 Помещение пункта замера НГКС парка приема и хранения углеводородов | ЛВЖ - гексан | А |
| 34 Помещение реакторов печного отделения УП-ПУ | ГГ – водород | А |
| 35 Помещение отделения улавливания техуглерода УППУ | ГГ – водород | А |
| 36 Помещение преобразователей подстанции УППУ | ГЖ – масло трансформаторное; твердые горючие материалы – древесина, карболит, ПВХ | В1 |
| 37 Помещение отделения грануляции углерода | Горючая пыль – техуглерод (сажа газовая) | Б |
| 38 Помещение упаковочного отделения | Горючая пыль – техуглерод (сажа газовая), твердые горючие материалы - бумага, полиэтилен, ПВХ | Б |
| 39 Помещение насосной жидкого сырья | ЛВЖ – пентан | А |
| 40 Помещение шнекового коридора углеродоосадителей УТПУ | Горючая пыль – техуглерод (сажа газовая) | Б |
| 41 Помещение насосной орошения | Негорючие материалы в холодном состоянии | Д |
| 42 Помещение рассевов техуглерода | Горючая пыль гранулированного технического углерода | Б |
| 43 Помещение насосной УСК | ГГ - пропан; ЛВЖ - СК, дизтопливо «З»; ГЖ – масло | А |
| 44 Помещение печей УСК | ГГ – природный газ в качестве топлива; ЛВЖ – гексан | А |
| 45 Помещение манифольдной УСК | ГГ – пропан-бутановая смесь; ЛВЖ – стабильный конденсат | А |
| 46 Помещение конденсатной насосной БИИУПП | ЛВЖ - пентан, дизтопливо «З»; ГЖ – масло | А |
| 47 Помещение насосной пропан-бутановой фракции БИИУПП | СУГ – пропан | А |
| 48 Помещение насосной секции гидроочистки керосиновой фракции установки гидроочистки керосина и дизельного топлива КОМТ | ЛВЖ – бензин, керосин, дизтопливо «З» | А |
| 49 Помещение холодной насосной секции гидроочистки и депарафинизации КОМТ | ЛВЖ - бензин, дизтопливо «З», ингибитор коррозии | А |
| 50 Помещение горячей насосной секции гидроочистки и депарафинизации КОМТ | ЛВЖ – дизтопливо «З» | Б |
| 51 Помещение узла сульфидирования КОМТ | Твердые горючие материалы – ПВХ, карболит | В4 |
| 52 Помещение газовой компрессорной КОМТ | ГГ - водород | А |
| 53 Помещение компрессорной опытно-промышленной установки каталитического риформинга «Петрофак» | ГГ – водород | А |
| 54 Помещение водородной компрессорной | ГГ – водород | А |
| 55 Помещение азотных и гелиевых компрессоров | ГЖ – масло | В3 |
| 56 Помещение машзала гелиевых компрессоров гелиевой установки | ГЖ – масло | В1 |
| ВСПОМОГАТЕЛЬНОГО ПРОИЗВОДСТВЕННОГО НАЗНАЧЕНИЯ | ||
| Общепроизводственного назначения | ||
| 57 Помещение пункта распределения метанола | ЛВЖ – метанол | А |
| 58 Помещение насосной ДЭГ | ГЖ - ДЭГ | В2 |
| 59 Помещение одоризации газа ГРС | ЛВЖ – одорант | А |
| 60 Помещение ГРП | ГГ – природный газ | А |
| 61 Помещение блока предочистки установки регенерации метанола | ЛВЖ – водометанольная смесь (подтоварная вода), содержание метанола 48 % | А |
| 62 Помещение диспетчерской | Твердые горючие материалы – карболит, ПВХ, ДСП, полистирол | В3 |
| 63 Помещение баллонной воздуха | Негорючие материалы в холодном состоянии | Д |
| 64 Помещение компрессорной сжатого воздуха (масляные компрессоры) | ГЖ – масло | В3 |
| 65 Помещение компрессорной сжатого воздуха (безмасляные компрессоры) | Твердые горючие материалы – карболит, ПВХ В4 | В4 |
| 66 Помещение установки производства технологического воздуха и инертного газа | ГГ – природный газ в качестве топлива, ГЖ – масло | В3 |
| 67 Помещение лаборатории автоматизации и метрологии | Твердые горючие материалы – карболит, ПВХ | В3 |
| 68 Помещение лаборатории испытаний моторных топлив | ЛВЖ - бензин | А |
| 69 Помещение лаборатории физико-механических испытаний технического углерода | Твердые горючие вещества и материалы – технический углерод, карболит, ПВХ, ДСП, текстолит | В3 |
| 70 Помещение лаборатории мокрого просева технического углерода | Твердые горючие вещества и материалы - технический углерод, ДСП | В4 |
| 71 Помещение лаборатории физико-химических испытаний (определение удельной поверхности) технического углерода | Твердые горючие вещества и материалы – технический углерод, ДСП | В3 |
| 72 Помещение лаборатории определения ионного числа технического углерода | Твердый горючий материал – ДСП | В3 |
| 73 Помещение лаборатории определения компонентного состава отходящего газа | ГЖ – дибутилфталат; твердые горючие материалы – ДСП, ПВХ, текстолит | В4 |
| 74 Помещение лаборатории пикнометрического анализа газов | ГГ – природный газ в объеме пробоотборника; твердые горючие материалы – ДСП, ПВХ, карболит | В4 |
| 75 Помещение лаборатории физико-химических испытаний нефтепродуктов | ЛВЖ - бензин; твердые горючие непылящие материалы – карболит, ПВХ, ДСП | В3 |
| 76 Помещение лаборатории хроматографии горючих газов и нефтепродуктов | Твердые горючие материалы – текстолит, полистирол, ДСП | В3 |
| 77 Помещение лаборатории хроматографии нестабильного газового конденсата | ЛВЖ – конденсат (по октану); твердые горючие материалы – текстолит, полистирол, ДСП, ПВХ | В4 |
| 78 Помещение лаборатории калибровки аналитических проб | ЛВЖ – ацетон, гексан, диэтиловый эфир; и др. Твердые горючие материалы – ПВХ, текстолит, полистирол, ДСП | В3 |
| 79 Помещение приготовления растворов | ЛВЖ – гексан, ацетон и др. | А |
| 80 Помещение лаборатории теплоэнергетических процессов | ЛВЖ - диэтиловый эфир и др. Твердые горючие материалы – ПВХ, текстолит, полистирол | В3 |
| 81 Помещение лаборатории анализа аминов | Твердые горючие непылящие материалы - ДСП, ПВХ | В4 |
| 82 Помещение лаборатории анализа стабильного конденсата | ЛВЖ – пентан, гексан и др. Твердые горючие материалы – ДСП | В3 |
| 83 Помещение лаборатории анализа общей серы | Твердые горючие вещества и материалы – сера, ДСП | В3 |
| 84 Помещение лаборатории анализа нефтепродуктов | ЛВЖ – бензин, дизтопливо «З». Твердые горючие материалы – ДСП | В3 |
| 85 Помещение лаборатории внутреннего контроля | ЛВЖ – бензин, дизтопливо, конденсат (по октану). Твердые горючие материалы – ДСП | В3 |
| 86 Помещение лаборатории анализа серы | Твердые горючие вещества и материалы – сера, ДСП | В4 |
| 87 Помещение лаборатории контроля товарных нефтепродуктов | ЛВЖ – бензин, дизтопливо, конденсат, спирт этиловый; твердые горючие материалы – ПВХ, текстолит, полистирол, ДСП | В3 |
| 88 Помещение лаборатории анализа бензинов | ЛВЖ – бензин, дизтопливо «З», конденсат, гептан и др. | А |
| 89 Помещение колориметрической лаборатории | ГЖ – мазут; твердые горючие материалы – ДСП, полистирол | В4 |
| 90 Помещение лаборатории входного контроля | ЛВЖ – ацетон, изооктан и др., ГЖ – мазут, масло; твердые горючие материалы – ПВХ, текстолит, полистирол, ДСП | В3 |
| 91 Помещение санитарной лаборатории для анализа пластовых вод | ЛВЖ – гексан, изопропиловый спирт. Твердые горючие материалы – ПВХ, текстолит, полистирол, ДСП | В3 |
| 92 Помещение экоаналитического анализа воздуха | Твердые горючие непылящие материалы – карболит ДСП, ПВХ, полистирол, текстолит | В3 |
| 93 Помещение технологического отделения кислородно-азотной станции | Твердые горючие материалы – карболит, ПВХ | В4 |
| 94 Помещение ремонта и испытания баллонов на герметичность | Негорючие вещества и материалы в холодном состоянии | Д |
| 95 Помещение окрасочного отделения ремонта и испытания баллонов | ЛВЖ - уайт-спирит | Б |
| 96 Помещение наполнения баллонов кислородом | Негорючие вещества и материалы в холодном состоянии | Д |
| 97 Помещение наполнения баллонов азотом | Негорючие вещества и материалы в холодном состоянии | Д |
| 98 Помещение хранения баллонов с кислородом | Негорючие вещества и материалы в холодном состоянии | Д |
| 99 Помещение аппарата воздушного охлаждения воды | Негорючие вещества и материалы | Д |
| 100 Помещение приточной венткамеры | Твердые горючие материалы – ПВХ, карболит | В4 |
| 101 Помещение вытяжной венткамеры | Твердые горючие материалы - ПВХ, карболит | Соответствует категории обслуживаемого помещения [5], но не ниже В4 |
| Хранение, перекачка и отпуск продукции | ||
| 102 Помещение газонаполнительного отделения ГНС | СУГ – пропан | А |
| 103 Помещение насосной резервуарного парка хранения ДФ и КФ | ЛВЖ – керосин, дизтопливо «З»; ГЖ - масло | Б |
| 104 Помещение манифольдной резервуарного парка хранения ДТ и керосина | ЛВЖ – керосин, дизтопливо «З»; ГЖ – масло | Б |
| 105 Помещение насосной резервуарного парка паспортизации моторных топлив | ЛВЖ - бензин | А |
| 106 Помещение манифольдной резервуарного парка хранения пропана | СУГ - пропан | А |
| 107 Помещение насосной резервуарного парка хранения бензина и стабильного гидрогенизата | ЛВЖ – бензин, гидрогенизат | А |
| 108 Помещение манифольдной резервуарного парка хранения БФ и стабильного гидрогенизата | ЛВЖ – бензин, гидрогенизат | А |
| 109 Помещение насосной резервуарного парка хранения бутана технического, СПБТ | СУГ - пропан, бутан | А |
| 110 Помещение насосной резервуарного парка хранения изопентана, ПГФ | ГГ – пропан; ЛВЖ – пентан, гексан, изопентан | А |
| 111 Помещение насосной резервуарного парка хранения реактивного топлива | ЛВЖ – реактивное топливо | А |
| 112 Помещение насосной дизтоплива | ЛВЖ – дизтопливо «З» | Б |
| 113 Помещение насосной сжиженного пропана | СУГ – пропан | А |
| 114 Помещение склада хранения технического углерода | Твердые горючие материалы – техуглерод гранулированный затаренный, древесина, бумага | В1 |
| 115 Помещение насосной склада ГСМ | ЛВЖ – бензин, дизельное топливо «З» | А |
| 116 Помещение маслонасосной склада масел | ГЖ – масло | В1 |
| Водоснабжение, водоподготовка и очистка сточных вод | ||
| 117 Помещение насосной воды горячего цикла | ГЖ - масло, твердые горючие материалы – карболит, ПВХ | В3 |
| 118 Помещение насосной воды холодного цикла | Негорючие вещества и материалы в холодном состоянии | Д |
| 119 Помещение станции оборотного водоснабжения СОГ | Твердые горючие материалы – карболит, ПВХ | В4 |
| 120 Помещение насосной промстоков | ЛВЖ - бензин | А |
| 121 Помещение мокрого отделения (решеток) хозбытовых стоков | Негорючие вещества и материалы в холодном состоянии | Д |
| 122 Помещение водоумягчительной станции | Твердые горючие материалы – карболит, ПВХ | В4 |
| 123 Помещение химводоподготовки котельной | Твердые горючие материалы – ПВХ, карболит | В4 |
| 124 Помещение ЦТП | Твердые горючие материалы – карболит, ПВХ | В4 |
| 125 Помещение кустовой фильтрационной насосной станции | Твердые горючие материалы – ПВХ, карболит | В4 |
| 126 Помещение насосной станции хозяйственно-питьевого и противопожарного водоснабжения | Твердые горючие материалы – ПВХ, карболит, вода | В4 |
| 127 Помещение аппаратной химводоочистки | Твердый горючий материал – ДСП | В4 |
| 128 Помещение насосной 2 водоподъема | Твердые горючие материалы – ПВХ, карболит | В4 |
| Энергетика, электроснабжение | ||
| 129 Помещение машзала электростанции собственных нужд | ГГ – природный газ в качестве топлива; ГЖ – масло | В2 |
| 130 Помещение выпрямительной | Твердые горючие материалы – карболит, ПВХ, полистирол | В3 |
| 131 Помещение газопоршневой электростанции | ГГ – природный газ в качестве топлива, ГЖ – масло | В3 |
| 132 Помещение для передвижной автоматизированной электростанции | ГГ – природный газ в качестве топлива, ГЖ - масло | В2 |
| 133 Помещение аварийных турбогенераторов | ГГ – природный газ в качестве топлива; ГЖ – масло | В1 |
| 134 Помещение ДЭС | ЛВЖ – дизтопливо «З»; ГЖ – масло | В1 |
| 135 Помещение дистилляторной | Твердые горючие материалы – ПВХ, карболит | В4 |
| 136 Помещение аккумуляторной (гелевые аккумуляторы) | Твердые горючие материалы – ПВХ, полистирол | В3 |
| 137 Помещение аккумуляторной (кислотные аккумуляторы) | ГГ – водород при зарядке аккумуляторов | А |
| 138 Помещение аккумуляторной (щелочные аккумуляторы) | Твердые горючие материалы – ПВХ, полистирол | В3 |
| 139 Помещение блока автоматики бесперебойного питания | Твердые горючие материалы – ПВХ, карболит | В4 |
| 140 Помещение ЗРУ | Твердые горючие материалы – ПВХ | В3 |
| 141 Помещение КТП | ГЖ – масло, твердые горючие материалы – карболит, ПВХ | В2 |
| 142 Помещения щитов, пунктов управления (ЩСУ, НКУ и т.п.) | Твердые горючие непылящие материалы – ПВХ, карболит | В3 |
| 143 Помещение распределительного пункта ЭХЗ | Твердые горючие материалы – ПВХ, карболит | В3 |
| 144 Помещение котлоагрегатов котельной | ГГ – природный газ в качестве топлива | Г |
| 145 Помещение теплового узла | Негорючие вещества и материалы | Д |
| 146 Помещение утилизационной насосной станции | Твердые горючие материалы - ПВХ, карболит | В4 |
| Связь, АСУТП, пожаротушение | ||
| 147 Операторная ЦПУ | Твердые горючие материалы – карболит, ПВХ | В3 |
| 148 Помещение операторной | Твердые горючие материалы – карболит, ПВХ, ДСП, полистирол | В4 |
| 149 Помещение аппаратной | Твердые горючие материалы – карболит, ПВХ, ДСП, полистирол | В3 |
| 150 Помещение аппаратной КИПиА | Твердые горючие материалы – ПВХ, текстолит, полистирол | В3 |
| 151 Помещение мультиплексорной | Твердые горючие материалы – карболит, ПВХ, полистирол | В3 |
| 152 Помещение серверной | Твердые горючие материалы – карболит, ПВХ, полистирол | В3 |
| 153 Помещение микропроцессорной | Твердые горючие материалы – карболит, ПВХ | В3 |
| 154 Помещение кроссовой | Твердые горючие материалы – карболит, ПВХ, полистирол | В3 |
| 155 Помещение радиомастерской | Твердые горючие материалы – карболит, ПВХ, полистирол, канифоль | В3 |
| 156 Помещение линейно-аппаратного зала | Твердые горючие материалы – карболит, ПВХ, полистирол | В3 |
| 157 Помещение АТС | Твердые горючие материалы – карболит, ПВХ, полистирол | В3 |
| 158 Помещение мотопомпы | ЛВЖ – бензин; ГЖ – масло; твердые горючие материалы – брезент, пластмасса | А |
| 159 Помещение задвижек установки пенного пожаротушения | Негорючие вещества и материалы в холодном состоянии | Д |
| 160 Помещение узла пенопожаротушения | Твердые горючие материалы – ПВХ, карболит | В4 |
| 161 Помещение узла газового пожаротушения | Негорючие вещества и материалы в холодном состоянии | Д |
| 162 Помещение МИЖУ | Негорючие вещества и материалы в холодном состоянии | Д |
| 163 Помещение узла управления задвижками ППВ | Твердые горючие материалы – ПВХ, карболит | В4 |
| 164 Помещение задвижек ППВ | Негорючие материалы в холодном состоянии | Д |
| ПОДСОБНОГО, СКЛАДСКОГО НАЗНАЧЕНИЯ И ТРАНСПОРТА | ||
| 165 Помещение токарной мастерской | ГЖ – масло | В3 |
| 166 Помещение слесарной мастерской | ГЖ – масло; твердые горючие материалы – ПВХ, карболит | В4 |
| 167 Помещение для ремонта и тарировки предохранительных клапанов | Твердые горючие материалы - ПВХ, карболит | В4 |
| 168 Помещение сварочного поста | Негорючие материалы в раскаленном состоянии | Г |
| 169 Помещение стеклодувной мастерской | ГГ – природный газ в качестве топлива | Г |
| 170 Помещение кузнечного цеха | ГГ – природный газ в качестве топлива; негорючие материалы в раскаленном состоянии | Г |
| 171 Помещение склада ЛКМ | ЛВЖ – растворители, ЛКМ | А |
| 172 Помещение склада приборов | Твердые горючие материалы – бумага, ПВХ, древесина | В2 |
| 173 Помещение склада химической посуды | Твердые горючие материалы – картон, древесина, полиэтилен | В3 |
| 174 Помещение склада хранения тары | Твердые горючие материалы – бумага, древесина, полиэтилен | В1 |
| 175 Помещение склада ЛВЖ и ГЖ | ЛВЖ – гексан, ацетон и др. | А |
| 176 Помещение склада аварийного запаса | Твердые горючие материалы – ПВХ, древесина | В2 |
| 177 Помещение склада ГО ЧС | Твердые горючие материалы – древесина, резина, ткань х/б, пластмасса | В1 |
| 178 Помещение склада спецодежды | Твердые горючие материалы – древесина, искусственная кожа, ткань, картон | В2 |
| 179 Помещение инструментального склада | Твердые горючие материалы – древесина, ткань, картон, ПВХ, оргстекло | В2 |
| 180 Помещение склада хранения шин | Твердые горючие материалы – резина | В1 |
| 181 Помещение склада запасного оборудования | Негорючие материалы в холодном состоянии | Д |
| 182 Помещение склада КИПиА | Твердые горючие материалы – ПВХ карболит | В3 |
| 183 Помещение кладовой ЗИП | Твердый горючий материал - древесина | В4 |
| 184 Помещение склада хранения металла | Негорючий материал в холодном состоянии | Д |
| 185 Помещение склада тарного хранения масла | ГЖ – масло | В1 |
| 186 Помещение материально-технического клада | Твердые горючие материалы – древесина, бумага, резина, ПВХ | В1 |
| 187 Помещение хранения баллонов с пропаном | СУГ – пропан | А |
| 188 Помещение гаража (помещение пожарной техники) | ЛВЖ – дизтопливо «З»; ГЖ – масло, твердые горючие материалы – резина, ПВХ, картон, искусственная кожа | В2 |
| 189 Помещение стоянки погрузчика | ЛВЖ – дизтопливо «З» | В3 |
| 190 Помещение зарядки аккумуляторных батарей электропогрузчика | ГГ – водород | А |
10 Перечень типопредставителей наружных установок объектов транспортировки, подземного хранения и переработки газа ОАО «Газпром» с категориями по взрывопожарной и пожарной опасности
Расчетные обоснования категорий наружных установок, указанных в таблице 10.1, приведены в приложении Б настоящего стандарта.
Таблица 10.1
| Наименование наружной установки | Обращающиеся вещества, материалы | Категория наружной установки |
| ОСНОВНОГО ПРОИЗВОДСТВЕННОГО НАЗНАЧЕНИЯ | ||
| Транспортировка и подземное хранение газа | ||
| 1 Скважины | ГГ – природный газ | Ан |
| 2 Крановый узел | ГГ – природный газ | Ан |
| 3 Пункт переключающей арматуры | ГГ – природный газ | Ан |
| 4 Абсорберы | ГГ – природный газ | Ан |
| 5 Пылеуловители мехочистки газа | ГГ – природный газ | Ан |
| 6 Пробкоуловитель | ГГ – природный газ | Ан |
| 7 Сепараторы газа | ГГ – природный газ | Ан |
| 8 Узел замера газа | ГГ – природный газ | Ан |
| 9 Узел редуцирования газа | ГГ - природный газ | Ан |
| 10 АВО газа | ГГ – природный газ | Ан |
| 11 Аппаратный двор СОГ | ГГ – пропан | Ан |
| 12 Резервуарный парк общецеховой системы маслоснабжения КЦ | ГЖ – масло | Вн |
| 13 АВО ДЭГ | ГЖ - ДЭГ | Вн |
| 14 Блок УПТПИГ | ГГ – природный газ | Ан |
| 15 Аккумуляторы импульсного газа | ГГ – природный газ | Ан |
| 16 Испарители дренажной системы | ГГ – пропан | Ан |
| 17 Устройство запуска очистного устройства | ГГ – природный газ | Ан |
| 18 Устройство приема очистного устройства | ГГ – природный газ | Ан |
| Переработка газа и газового конденсата | ||
| 19 Блок сепарации УСК | ГГ – природный газ | Ан |
| 20 Печь подогрева конденсата УСК | ГГ – природный газ в качестве топлива, ЛВЖ – конденсат | Ан |
| 21 АВО сжиженного пропана | СУГ - пропан | Ан |
| 22 Циклоны участка термического производства углерода (УТПУ) | ГГ - водород | Ан |
| 23 Установка газовых генераторов УТПУ | ГГ – природный газ в качестве топлива | Гн |
| 24 Углеродоосадители УТПУ | ГГ – водород | Ан |
| 25 Узел одоризации цеха налива сжиженного газа и конденсата | ЛВЖ - одорант | Ан |
| 26 Аппаратный двор установки сепарации пластового газа высокого давления | ГГ - природный газ, ЛВЖ – конденсат | Ан |
| 27 Метанольный узел установки сепарации пластового газа высокого давления | ЛВЖ – метанол | Ан |
| 28 Аппаратный двор установки очистки газа от сероводорода и углекислоты | ГГ – природный газ | Ан |
| 29 Аппаратный двор установки получения серы | ГГ – сероводород | Ан |
| 30 Аппаратный двор установки стабилизации газового конденсата и обработки сточных вод | ЛВЖ – конденсат (по октану) | Ан |
| 31 Аппаратный двор установки очистки газа от кислых компонентов с повторным компримированием | ГГ – природный газ | Ан |
| 32 Аппаратный двор установки осушки и отбензинивания газа | ГГ – природный газ | Ан |
| 33 Блок атмосферной перегонки комбинированной установки по переработке газового конденсата | ГГ – природный газ | Ан |
| 34 Блок ВП комбинированной установки по переработке газового конденсата | СУГ – пропан | Ан |
| 35 Блок очистки и получения сжиженных газов комбинированной установки по переработке газового конденсата | ГГ – природный газ | Ан |
| 36 Блок электрообессоливания и обезвоживания комбинированной установки по переработке газового конденсата | ГГ – природный газ | Ан |
| 37 Аппаратный двор установки гидроочистки | ГГ – водород | Ан |
| 38 Аппаратный двор установки каталитического риформинга | ГГ – водород | Ан |
| 39 Блок «Hawaii» установки грануляции серы | ГГ – сероводород; твердое горючее вещество – сера | Вн |
| 40 Блок колонн и емкостей пропана блока извлечения изопентана и узла получения пропана | ГГ – пропан, бутан | Ан |
| 41 АВО изопентана и ПБФ | СУГ – пропан, бутан | Ан |
| 42 Аппаратный двор секции гидроочистки КФ установки гидроочистки керосина и дизельного топлива | ГГ – водород, метан, ЛВЖ – бензин, дизтопливо, керосин | Ан |
| 43 Аппаратный двор секции гидроочистки и парафинизации установки гидроочистки керосина и дизельного топлива | ГГ – водород, метан, ЛВЖ – бензин, дизтопливо, керосин | Ан |
| 44 Реакторные блоки установки гидроочистки керосина и дизельного топлива | ГГ – водород, ЛВЖ – дизтопливо, керосин | Ан |
| 45 Сырьевые теплообменники секции каталитического риформинга БФ установки гидроочистки керосина и дизельного топлива | ГГ – водород, ЛВЖ – бензин | Ан |
| 46 Аппаратный двор секции каталитического риформинга БФ и ДТ установки каталитического риформинга | ГГ – водород, пропан; ЛВЖ – бензин | Ан |
| 47 Холодильники секции каталитического риформинга БФ установки гидроочистки керосина и дизельного топлива | ГГ – пропан | Ан |
| 48 Аппаратный двор секции предварительной гидроочистки БФ УКР | ГГ - водород; ЛВЖ - бензин | Ан |
| 49 Блок отпарки секции предварительной гидроочистки БФ УКР | ГГ – пропан; ЛВЖ - бензин | Ан |
| 50 Реакторный блок секции каталитического риформинга БФ | ГГ – водород; ЛВЖ – бензин | Ан |
| 51 Сепараторы секции каталитического риформинга БФ | ГГ – водород; ЛВЖ – бензин | Ан |
| 52 Сепараторы секции предварительной гидроочистки БФ | ГГ – водород; ЛВЖ – бензин | Ан |
| 53 Аппаратный двор опытно-промышленной установки каталитического риформинга «Петрофак» | ГГ – водород | Ан |
| 54 Узел смешения установки моторных топлив | ЛВЖ – бензин, дизтопливо «З», керосин, гексан | Ан |
| 55 Узел подачи охлаждающей жидкости установки моторных топлив | ЛВЖ – керосин | Бн |
| 56 Аппаратный двор узла приготовления присадок | ЛВЖ – керосин | Бн |
| 57 Аппаратный двор установки получения гелиевого концентрата, этана и ШФЛУ | ГГ – природный газ, пропан | Ан |
| 58 Блок тонкой очистки гелия установки получения гелия из гелиевого концентрата | ГГ – природный газ, пропан | Ан |
| 59 Блок очистки этановой фракции установки очистки сырьевого газа от сернистых соединений | ГГ – природный газ | Ан |
| ВСПОМОГАТЕЛЬНОГО ПРОИЗВОДСТВЕННОГО НАЗНАЧЕНИЯ | ||
| Общего назначения | ||
| 60 Ресиверы сжатого азота | Негорючие вещества и материалы в холодном состоянии | Дн |
| 61 Установка получения жидкого кислорода, азота и осушки воздуха | Негорючие вещества и материалы в холодном состоянии | Дн |
| 62 Емкости дегазации установки фильтрации загрязненных вод и сжигания промотходов | ГГ – кислый газ (по сероводороду) | Ан |
| 63 Печь дожига установки фильтрации загрязненных вод и сжигания промотходов | ГГ – природный газ в качестве топлива | Гн |
| 64 Градирня | Негорючие вещества и материалы в холодном состоянии | Дн |
| 65 ABOводы | Негорючие вещества и материалы в холодном состоянии | Дн |
| Хранение, перекачка и отпуск продукции | ||
| 66 Резервуарный парк хранения подтоварной воды | ЛВЖ – метанол | Ан |
| 67 Наливная ж/д эстакада сжиженных газов | СУГ – пропан, бутан | Ан |
| 68 Пункт приема и выдачи баллонов на ремонт и освидетельствование ГНС | Негорючие вещества и материалы в холодном состоянии | Дн |
| 69 Пункт заправки газобаллонных автомобилей ГНС | СУГ – пропан | Ан |
| 70 Арматура (манифольдная) налива сжиженного газа и конденсата | СУГ – пропан | Ан |
| 71 Склад сжиженных газов | СУГ - пропан, ЛВЖ - конденсат, бензин | Ан |
| 72 Наливная эстакада сжиженных газов в а/ц | СУГ – пропан, бутан | Ан |
| 73 Склад гранулированной серы установки грануляции серы | Твердое горючее вещество – сера | Вн |
| 74 Резервуарный парк хранения керосиновой и дизельной фракций | ЛВЖ - керосин | Бн |
| 75 Пункт налива светлых нефтепродуктов в а/ц | ЛВЖ - бензин, ДТ | Ан |
| 76 Насосная светлых нефтепродуктов | ЛВЖ - бензин, ДТ | Ан |
| 77 Насосная темных нефтепродуктов | ГЖ – мазут | Вн |
| 78 Газгольдеры хранения водорода и азота | ГГ - водород | Ан |
| 79 Резервуарный парк хранения изопентана, ПГФ | ЛВЖ – изопентан | Ан |
| 80 Сливоналивная ж/д эстакада изопентана, ПГФ | ЛВЖ – изопентан | Ан |
| 81 Резервуарный парк хранения реактивного топлива | ЛВЖ – реактивное топливо | Ан |
| 82 Резервуарный парк хранения ДЭГ | ГЖ - ДЭГ | Вн |
| 83 Резервуарный парк хранения метанола | ЛВЖ – метанол | Ан |
| 84 Подземный склад хранения метанола | ЛВЖ - метанол | Ан |
| 85 Насосная метанола | ЛВЖ – метанол | Ан |
| 86 Узел переключающих задвижек (манифольдная) метанола | ЛВЖ - метанол | Ан |
| 87 Пункт налива метанола в а/ц | ЛВЖ – метанол | Ан |
| 88 Сливоналивная эстакада метанола в ж/д цистерны | ЛВЖ – метанол | Ан |
| 89 Электрозадвижки наливного причала | ЛВЖ - бензин, ДТ | Ан |
| 90 Резервуарный парк хранения СК | ЛВЖ - СК (по пентану) | Ан |
| 91 Узел приема и хранения одоранта | ЛВЖ - одорант | Ан |
| 92 Топливозаправочный пункт | ЛВЖ - бензин | Ан |
| Энергетика, водоснабжение и очистка сточных вод | ||
| 93 Открытое распределительное устройство напряжения | ГЖ – масло | Вн |
| 94 Установка электрохимзащиты | Твердые горючие материалы – карболит, ПВХ | Дн |
| 95 Блок приема и откачки шлама и нефтепродуктов резервуарного парка комплекса очистных сооружений (КОС) | ЛВЖ – бензин, дизтопливо; ГЖ – мазут | Ан |
| 96 Разделочные резервуары резервуарного парка КОС | ЛВЖ - нефть | Ан |
| 97 Резервуары – аккумуляторы КОС | Негорючие вещества и материалы в холодном состоянии | Дн |
| 98 Резервуары сброса аварийных илов КОС | Негорючие вещества и материалы в холодном состоянии | Дн |
| СКЛАДСКОГО НАЗНАЧЕНИЯ | ||
| 99 Резервуарный парк хранения ГСМ | ГЖ - масла, ДЭГ | Вн |
| 100 Резервуарный парк хранения дизтоплива | ЛВЖ - ДТ | Бн |
| 101 Склад тарного хранения ГСМ | ЛВЖ - ДТ | Бн |
| 102 Открытый склад хранения металла | Негорючие вещества и материалы в холодном состоянии | Дн |
| 103 Парк хранения азота | Негорючие вещества и материалы в холодном состоянии | Дн |
Приложение А
(справочное)
Расчеты критериев взрывопожарной и пожарной опасности и определение категорий типопредставителей помещений объектов транспортировки, подземного хранения и переработки газа ОАО «Газпром»
А.1 Расчет критериев взрывопожарной и пожарной опасности и определение категории помещения узла подключения КС к МГ
Расчет см. А.1.3, приложение А СТО Газпром 2-1.1-094.
А.2 Расчет критериев взрывопожарной и пожарной опасности и определение категории помещения блока сепарации СПХГ
1. Исходные данные
1.1 Характеристика помещения.
Длина l = 84 м, ширина b= 12 м, высота h= 7 м.
Расчетная температура воздуха tр = 34 °C – абсолютная максимальная температура воздуха (для района г. Уренгоя) согласно таблице 2 СНиП 23-01-99* [6].
1.2 Характеристика веществ и материалов, обращающихся (находящихся) в помещении по справочным данным (приложение Г).
Природный газ (по метану – CH4) горючий газ (ГГ).
1.3 Характеристика технологического процесса и оборудования.
В блоке сепарации производится очистка (разделение) газа от механических примесей и влаги с использованием следующего технологического оборудования: 15 сепараторов газа 1-й ступени объемом 2,85 м3, общей производительностью 1 млн м3/сут, трубопровод: входящий – диаметром 159 мм, длиной 2 м, выходящий – диаметром 159 мм, длиной 15 м, давлением 73 кг/см2; 14 сепараторов газа 2-й ступени объемом 5,7 м3, общей производительностью 1 млн м3/сут (0,83 м3/с каждый), трубопровод: входящий – диаметром 159 мм, длиной 2 м, выходящий – диаметром 159 мм, длиной 10 м, давлением 73 кг/см2 (7157 кПа); 3 замерные емкости с пластовой водой.
Отключение автоматическое без резервирования, расчетное время отключения согласно НПБ 105-03 [1], принимается равным 120 с.
2. Расчет критериев взрывопожарной опасности
2.1 Определение необходимого условия.
В помещении обращается ГГ, способный образовывать взрывоопасные газовоздушные смеси, что отвечает необходимому условию отнесения помещения к взрывопожароопасной категории А.
За расчетный вариант принимается аварийная разгерметизация сепаратора 2-й ступени, приводящая к выбросу горючей среды (ГГ) в помещение с возможностью возникновения пожара.
2.2 Определение достаточного условия отнесения помещения к категории А.
Рассчитывается избыточное давление взрыва DP, кПа, по формуле (1гу) для метана:
,
где Vп =84 · 12 · 7 = 7056 м3,
Vг = Vа + Vт,
где Vа- объем газа, вышедшего из аппарата, м3;
Vа = 0,01 · 7157 · 5,7 = 407,95 м3,
Vт- объем газа, вышедшего из трубопровода после отключения, м3;
Vт = V1т + V2т,
где V1т- объем газа, вышедшего из трубопровода до его отключения, м3;
V1т = 0,83 · 120 = 99,6 м3,
V2т- объем газа, вышедшего из трубопровода до его отключения, м3;
V2т = 0,01 · 3,14 · 7157 · 0,0782 (2 + 10) = 16,4 м3,
Vт = 99,6 + 16,4 = 116 м3,
Vг = 407,95 + 116 = 523,95 м3.
кПа.
3. Определение категории помещения
Результаты расчетов критериев взрывопожарной опасности показывают, что при расчетном варианте аварии выполняются необходимое (наличие в помещении ГГ) и достаточное (расчетное избыточное давление при сгорании газовоздушной смеси превышает 5 кПа) условия для отнесения данного помещения к категории А.
А.3 Расчет критериев взрывопожарной и пожарной опасности и определение категории помещения цеха осушки газа
Расчет см. А.1.18, приложение А СТО Газпром 2-1.1-094.
А.4 Расчет критериев взрывопожарной и пожарной опасности и определение категории помещения цеха очистки газа
Расчет см. А.1.2, приложение А СТО Газпром 2-1.1-094.
А.5 Расчет критериев взрывопожарной и пожарной опасности и определение категории помещения галереи нагнетателей компрессорного цеха (или отсека нагнетателя)
Расчет см. А.1.4, приложение А СТО Газпром 2-1.1-094
А.6 Расчет критериев взрывопожарной и пожарной опасности и определение категории помещения машинного зала КЦ
1. Исходные данные
1.1 Характеристика помещения.
Длина l = 52 м, ширина b= 15 м, высота h= 16 м.
Минимальное расстояние от поверхности пожарной нагрузки до нижнего пояса ферм перекрытия, H, составляет 14,5 м.
1.2 Характеристика веществ и материалов, обращающихся (находящихся) в помещении по справочным данным (приложение Г).
Природный газ (по метану - CH4): горючий газ (ГГ).
Масло для двигателей МС-8П: горючая жидкость (ГЖ).
1.3 Характеристика технологического процесса и оборудования.
В помещении машзала находится газотурбинный двигатель, применяющийся в качестве привода для центробежного нагнетателя в составе ГПА. В качестве топлива в газотурбинном двигателе используется природный газ. В маслосистеме двигателя находятся 2 маслобака объемами 6 м3 и 1 м3.
2. Расчет критериев пожарной опасности
2.1 Определение необходимых условий.
а) В помещении обращается ГГ и ГЖ. ГГ используется в качестве топлива, поэтому должен учитываться только при отнесении помещения к категории Г. В помещении обращается ГЖ, нагретая ниже температуры вспышки, возможность образования аэрозоля отсутствует. При этом коэффициент участия ГЖ во взрыве Z = 0 по таблице 2 НПБ 105-03 [1].
В этих условиях выполняется необходимое условие отнесения помещения к одной из пожароопасных категорий В1 - В4.
б) Для конкретизации категории рассчитываются пожарная нагрузка Q, МДж, и удельная пожарная нагрузка g, МДж/м2.
,
Gмасло = (1 + 6) м3 · 895 кг/м3 = 6265 кг.
Q= 6265 · 41,87 = 262315,6 МДж.
.
За площадь размещения пожарной нагрузки принимается площадь помещения (780 м2), так как она меньше вычисленной (3500 м2) по п. 7 НПБ 105-03 [1] из расчета, что 1 л жидкости разливается на 0,5 м2.
МДж/м2.
Рассчитанная удельная пожарная нагрузка соответствует категории В3 (g = 181 ¸ 1400 МДж/м2) по таблице 4 НПБ 105-03 [1].
2.2 Определение достаточных условий отнесения помещения к категории В3.
а) Способ размещения пожарной нагрузки соответствует нормируемому п. 25 НПБ 05-03 [1].
б) Проверяется выполнение неравенства по п. 25 НПБ 105-03 [1] для рассчитанного количества пожарной нагрузки Q:
Q³ 0,64 · gт · H2,
| где gт | = 1400 МДж/м2 при 181 МДж/м2£ g£ 1400 МДж/м2; |
| H | - минимальное расстояние от поверхности пожарной нагрузки до нижнего пояса ферм перекрытия, м, |
262315,6 ³ 0,64 · 1400 · 14,52 = 188384 МДж.
Неравенство выполняется.
3. Определение категории помещения
Результаты расчетов критериев пожарной опасности показывают, что выполняется необходимое условие (удельная пожарная нагрузка обращающейся в помещении ГЖ соответствует категории В3), однако одно из достаточных условий не выполняется (неравенство верно), поэтому данное помещение следует отнести к категории В2.
А.7 Расчет критериев взрывопожарной и пожарной опасности и определение категории помещения машинного зала с ГПА
1. Исходные данные
1.1 Характеристика помещения.
Длина l = 71,8 м, ширина b= 18 м, высота h = 12 м.
Расчетная температура воздуха tр = 40 °C – абсолютная максимальная температура воздуха (для района г. Ставрополя) согласно таблице 2 СНиП 23-01-99* [6].
1.2 Характеристика веществ и материалов, обращающихся (находящихся) в помещении по справочным данным (приложение Г).
Природный газ (по метану – CH4): горючий газ (ГГ).
Масло – в системе гидравлики.
1.3 Характеристика технологического процесса и оборудования.
В машинном зале компрессорного цеха (КЦ) размещены газоперекачивающие агрегаты ГПА в составе двигателя и нагнетателя (4 шт.) производительностью 1,7 млн м3/с (19,7 м3/с) (каждый), трубопровод: входящий – диаметром 426 мм, длиной 12 м, давлением 50 кг/см2, выходящий – диаметром 426 мм, длиной – 10 м, давлением 100 кг/см2 (9804 кПа).
Отключение автоматическое, без резервирования, расчетное время отключения принимается согласно п. 7 НПБ 105-03 [1] равным 120 с.
2. Расчет критериев взрывопожарной опасности
2.1 Определение необходимого условия.
В помещении обращаются ГГ и ГЖ. Природный газ – ГГ, способен образовывать взрывоопасные газовоздушные смеси, что отвечает необходимому условию отнесения помещения к взрывопожароопасной категории А.
За расчетный вариант принимается аварийная разгерметизация выходящего трубопровода, приводящая к выбросу горючей среды (ГГ) в помещение с возможностью возникновения пожара.
2.2 Определение достаточного условия отнесения помещения к категории А.
Рассчитывается избыточное давление взрыва DP, кПа, по формуле (1гу) для метана:
,
где Vп = 71,8 · 18 · 12 = 15508,8 м3;
Vг = V1т + V2т,
где V1т – объем газа, вышедшего из трубопровода до его отключения, м3;
V1т = q · T = 19,7 · 120 = 2364 м3,
V2т – объем газа, вышедшего из трубопровода после его отключения, м3;
V2т = 0,01 · p · P · (r2 · L) = 0,01 · 3,14 · 9804 · (0,2132 · 10) = 139,7 м3,
Vг = 2364 + 139,7 = 2503,7 м3,
кПа.
3 Определение категории помещения
Результаты расчетов критериев взрывопожарной опасности показывают, что при расчетном варианте аварии достигаются необходимое (наличие в помещении ГГ) и достаточное (расчетное избыточное давление при сгорании газовоздушной смеси превышает 5 кПа) условия, позволяющие отнести данное помещение к категории А.
А.8 Расчет критериев взрывопожарной и пожарной опасности и определение категории помещения отсека автоматики ГПА
Расчет см. А.1.6, приложение А СТО Газпром 2-1.1-094.
А.9 Расчет критериев взрывопожарной и пожарной опасности и определение категории помещения отсека автоматической системы пожаротушения ГПА
Расчет см. А.1.7, приложение А СТО Газпром 2-1.1-094.
А.10 Расчет критериев взрывопожарной и пожарной опасности и определение категории помещения отсека маслоблока ГПА
Расчет см. А.1.8, приложение А СТО Газпром 2-1.1-094.
А.11 Расчет критериев взрывопожарной и пожарной опасности и определение категории помещения отсека маслоохладителей ГПА
Расчет см. А.1.9, приложение А СТО Газпром 2-1.1-094.
А.12 Расчет критериев взрывопожарной и пожарной опасности и определение категории помещения фильтров газа
Расчет см. А.1.11, приложение А СТО Газпром 2-1.1-094.
А.13 Расчет критериев взрывопожарной и пожарной опасности и определение категории помещения подготовки масла КЦ
Расчеты см. А.1.13, приложение А СТО Газпром 2-1.1-094.
А.14 Расчет критериев взрывопожарной и пожарной опасности и определение категории помещения блока запорной арматуры топливного и пускового газа
Расчет см. А.1.14, приложение А СТО Газпром 2-1.1-094.
А.15 Расчет критериев взрывопожарной и пожарной опасности и определение категории помещения установки подготовки топливного, пускового и импульсного газа
Расчет см. А.1.15, приложение А СТО Газпром 2-1.1-094.
А.16 Расчет критериев взрывопожарной и пожарной опасности и определение категории помещения блока распределения газа
Расчет см. А.1.16, приложение А СТО Газпром 2-1.1-094.
А.17 Расчет критериев взрывопожарной и пожарной опасности и определение категории помещения блока редуцирования газа
Расчет см. А.1.17, приложение А СТО Газпром 2-1.1-094.
А.18 Расчет критериев взрывопожарной и пожарной опасности и определение категории помещения аппарата воздушного охлаждения масла
Расчет см. А.1.37, приложение А СТО Газпром 2-1.1-094.
А.19 Расчет критериев взрывопожарной и пожарной опасности и определение категории помещения турбокомпрессорного агрегата пропана СОГ
1 Исходные данные
1.1 Характеристика помещения.
Длина l = 15,4 м, ширина b = 9,3 м, высота h= 8 м.
Расчетная температура воздуха tр = 34 °C – абсолютная максимальная температура воздуха (для района г. Уренгоя) согласно таблице 2 СНиП 23-01-99* [6].
1.2 Характеристика веществ и материалов, обращающихся (находящихся) в помещении, по справочным данным (приложение Г).
Природный газ (метан – CH4) в качестве топлива: горючий газ (ГГ).
Пропан (C3H8): горючий газ (ГГ).
1.3 Характеристика технологического процесса и оборудования.
В помещении, предназначенном для компримирования пропана, размещен турбоагрегат с трубопроводами: входящий – диаметром 700 мм, длиной 30 м, давлением 4 кг/см2, выходящий - диаметром 500 мм, длиной 30 м, давлением 13 кг/см2, производительностью 7000 м3/ч (1,94м3/с).
Отключение автоматическое без резервирования, расчетное время отключения согласно НПБ 105-03 [1] принимается равным 120 с.
2. Расчет критериев взрывопожарной опасности
2.1 Определение необходимого условия.
В помещении обращается природный газ (ГГ), способный образовывать взрывоопасные газовоздушные смеси, что отвечает необходимому условию отнесения помещения к взрывопожароопасной категории А.
За расчетный вариант принимается аварийная разгерметизация выходящего трубопровода компрессора, приводящая к выбросу горючей среды (ГГ) в помещение с возможностью возникновения пожара.
2.2 Определение достаточного условия отнесения помещения к категории А.
Рассчитывается избыточное давление взрыва DP, кПа, по формуле (1гу) для пропана:
,
где Vп = (15,4 · 9,3 · 8) = 1145,76 м3;
кг/м3,
Vг- объем газа, вышедшего в помещение в результате аварийной ситуации, м3.
Vг = V1т + V2т,
где V1т- объем газа, вышедшего из трубопровода до его отключения, м3;
V1т = q · T= 1,94 · 120 = 232,8 м3;
V2т- объем газа, вышедшего из трубопровода после его отключения, м3;
V2т = 0,01 · p · P · (r2 · L) = 0,01 · 3,14 · 1274 (0,252 · 30) = 75,0 м3;
Vг = 232,8 + 75 = 307,8 м3.
кПа.
3 Определение категории помещения
Результаты расчетов критериев взрывопожарной опасности показывают, что при расчетном варианте аварии выполняются необходимое (наличие в помещении ГГ) и достаточное (расчетное избыточное давление при сгорании газовоздушной смеси превышает 5 кПа) условия для отнесения данного помещения к категории А.
А.20 Расчет критериев взрывопожарной и пожарной опасности и определение категории помещения насосной установки сепарации пластового газа высокого давления
1 Исходные данные
1.1 Характеристика помещения.
Длина l = 18 м, ширина b = 12 м, высота h= 8,7 м.
Расчетная температура воздуха tр = 40 °C – абсолютная максимальная температура воздуха (для района г. Астрахани) согласно таблице 2 СНиП 23-01-99* [6].
Скорость движения воздуха в помещении в теплый период года, h = 0,2 м/с.
1.2 Характеристика веществ и материалов, обращающихся (находящихся) в помещении, по справочным данным (приложение Г).
Метанол, конденсат (по октану): легковоспламеняющиеся жидкости (ЛВЖ).
1.3 Характеристика технологического процесса и оборудования.
В помещении насосной, где происходит перекачка пароконденсата, углеводородного конденсата и метанола, размещены: 2 насоса перекачки пароконденсата, 2 насоса перекачки углеводородного конденсата и 2 насоса перекачки метанола производительностью 4 м3/ч (0,001 м3/с) с выходным трубопроводом диаметром 57 мм, длиной 2,5 м.
Отключение ручное, расчетное время отключения принимается согласно п. 7 НПБ 105-03 [1] равным 300 с.
2 Расчет критериев взрывопожарной опасности
2.1 Определение необходимого условия.
В помещении обращаются ЛВЖ с температурой вспышки менее 28 °C, способные образовывать взрывоопасные паровоздушные смеси, что соответствует необходимому условию отнесения данного помещения к категории А.
За расчетный вариант принимается аварийная разгерметизация насоса перекачки метанола как наиболее опасного вещества согласно ряду ЛВЖ (см. 6.4.3), приводящая к поступлению горючей среды (ЛВЖ) в помещение с возможностью возникновения пожара.
2.2 Определение достаточного условия отнесения помещения к категории А.
Рассчитывается избыточное давление взрыва DP, кПа, по сокращенной формуле (4у) для метанола:
,
где rв = 1,128 кг/м3 по таблице 6.1,
Vп = (18 · 12 · 8,7) = 1879,2 м3,
m- масса паров метанола, поступивших в помещение в результате аварийной ситуации, кг.
m = W · Fи · T,
,
h= 2,2 по таблице 3 НПБ 105-03 [1] для исходных данных;
кПа.
W= 10-6 · 2,2 ·
· 35,48 = 4,4 · 10-4 кг/(с·м2),
Fи- площадь испарения, м2; определяется по п. 7 НПБ 105-03 [1] из расчета, что 1 л жидкости разливается на 1 м2.
Рассчитывается аварийный объем разлившейся жидкости, Vав, м3:
Vав = Vа + Vт,
где Vа- объем метанола, вышедшего из аппарата (насоса) до его отключения, м3;
Vа = q · T = 0,001 · 300 = 0,3 м3,
Vт- объем метанола, вышедшего из трубопровода после его отключения, м3;
Vт= 0,01 · p · P · (r2 · L) = 3,14 · 0,02852 · 2,5 = 0,007 м3,
Vав = 0,3 + 0,007 = 0,307 м3.
Вычисленная площадь испарения составляет 307 м2. За площадь испарения принимается площадь помещения (216 м2).
m = 4,4 · 10-4 · 216 · 3600 = 373,25 кг.
Так как рассчитанная масса паров превышает фактическую массу испарившейся жидкости (mж = 0,307 м3 · 786,9 кг/м3 = 241,6 кг), в дальнейших расчетах за массу паров принимается масса разлившейся жидкости.
кПа.
3 Определение категории помещения
Результаты расчетов критериев взрывопожарной опасности показывают, что при расчетном варианте аварии достигаются необходимое (наличие ЛВЖ с температурой вспышки менее 28 °C) и достаточное (расчетное избыточное давление при сгорании паровоздушной смеси превышает 5 кПа) условия для отнесения данного помещения к категории А.
А.21 Расчет критериев взрывопожарной и пожарной опасности и определение категории помещения машзала установки получения серы
1 Исходные данные
1.1 Характеристика помещения.
Длина l = 102 м, ширина b = 23 м, высота h = 23 м.
Расчетная температура воздуха tр = 40 °C – абсолютная максимальная температура воздуха (для района г. Астрахани) согласно таблице 2 СНиП 23-01-99* [6].
1.2 Характеристика веществ и материалов, обращающихся (находящихся) в помещении, по справочным данным (приложение Г).
Сероводород (H2S): горючий газ (ГГ).
1.3 Характеристика технологического процесса и оборудования.
В машинном зале осуществляется подача серосодержащего газа и технологического воздуха на аппаратный двор установки получения серы с использованием следующего технологического оборудования: 6 воздуходувок и 2 газодувки кислого газа производительностью 123 тыс. м3/ч (34,2 м3/с) давлением 0,15 кг/см2 с выходящим трубопроводом диаметром 810 мм, длиной 30 м.
Отключение автоматическое, без резервирования, расчетное время отключения принимается согласно п. 7 НПБ 105-03 [1] равным 120 с.
2 Расчет критериев взрывопожарной опасности
2.1 Определение необходимого условия.
В помещении обращается ГГ, способный образовывать взрывоопасные газовоздушные смеси, что соответствует необходимому условию отнесения данного помещения к категории А.
За расчетный вариант принимается аварийная разгерметизация газодувки, приводящая к выбросу горючей среды в помещение с возможностью возникновения пожара.
2.2 Определение достаточного условия отнесения помещения к категории А.
Рассчитывается избыточное давление взрыва DP, кПа, по формуле (4у):
,
| где Z | = 0,5 для ГГ по таблице 2 [1]; HТ, tр – по исходным данным; |
| rв | = 1,128 по таблице 6.1; |
| Vп | = (102 · 23 · 23) = 53958 м3, |
| m | - масса газа, поступившего в помещение в результате аварийной ситуации, кг: |
mг = (Vа + Vт) · rг,
где Vа- объем газа, вышедшего из аппарата до его отключения, м3:
Vа = q · T = 34,2 · 120 = 4104 м3,
Vт – объем газа, вышедшего из трубопровода после его отключения, м3:
Vт= 0,01 · p · P · (r2 · L) = 0,01 · 3,14 · 14,7 · (0,42 · 30) = 2,2 м3;
rг- плотность газа (сероводорода) при расчетной температуре, кг/м3:
кг/м3;
m= (4104 + 2,2) · 1,33 = 5461,2 кг.
кПа.
3. Определение категории помещения
Результаты расчетов критериев взрывопожарной опасности показывают, что при расчетном варианте аварии достигаются необходимое (наличие в помещении ГГ) и достаточное (расчетное избыточное давление при сгорании газовоздушной смеси превышает 5 кПа) условия для отнесения данного помещения к категории А.
А.22 Расчет критериев взрывопожарной и пожарной опасности и определение категории помещения компрессорной установки очистки газа от кислых компонентов с повторным компримированием
1 Исходные данные
1.1 Характеристика помещения.
Длина l = 54 м, ширина b = 24 м, высота h= 13 м.
Расчетная температура воздуха tр = 40 °C – абсолютная максимальная температура воздуха (для района г. Астрахани) согласно таблице 2 СНиП 23-01-99* [6].
1.2 Характеристика веществ и материалов, обращающихся (находящихся) в помещении по справочным данным (приложение Г).
Природный газ (по метану - CH4): горючий газ (ГГ).
1.3 Характеристика технологического процесса и оборудования.
В помещении компрессорной осуществляется повторное компримирование газа использованием следующего технологического оборудования: 2 насоса перекачки воды и 5 компрессоров очищенного газа производительностью 28 тыс. м3/ч (7,8 м3/с).
Отключение автоматическое, без резервирования, расчетное время отключения принимается согласно п. 7 НПБ 105-03 [1] равным 120 с.
2 Расчет критериев взрывопожарной опасности
2.1 Определение необходимого условия.
В помещении обращается ГГ, способный образовывать взрывоопасные газовоздушные смеси, что соответствует необходимому условию отнесения данного помещения к категории А.
За расчетный вариант принимается аварийная разгерметизация компрессора, приводящая к поступлению горючей среды (ГГ) в помещение с возможностью возникновение пожара.
2.2 Определение достаточного условия отнесения помещения к категории А.
Рассчитывается избыточное давление взрыва DP, кПа, по формуле (1гу) для метана:
,
где Vп = (54 · 24 · 13) = 16848 м3,
Vг = Vав,
где Vав – объем газа, вышедшего из компрессора до его отключения, м3;
Vав = q · T = 7,8 · 120 = 936 м3,
кПа.
3. Определение категории помещения
Результаты расчетов критериев взрывопожарной опасности показывают, что при расчетном варианте аварии достигаются необходимое (наличие в помещении ГГ) и достаточное (расчетное избыточное давление при сгорании газовоздушной смеси превышает 5 кПа) условия для отнесения данного помещения к категории А.
А.23 Расчет критериев взрывопожарной и пожарной опасности и определение категории помещения компрессорной установки осушки и отбензинивания газа
1 Исходные данные
1.1 Характеристика помещения.
Длина l= 90 м, ширина b= 18,5 м, высота h= 18 м.
Расчетная температура воздуха tр = 40 °C – абсолютная максимальная температура воздуха (для района г. Астрахани) согласно таблице 2 СНиП 23-01-99* [6].
1.2 Характеристика веществ и материалов, обращающихся (находящихся) в помещении, по справочным данным (приложение Г).
Природный газ (по метану – CH4): горючий газ (ГГ).
1.3 Характеристика технологического процесса и оборудования.
В помещении компрессорной, предназначенной для компримирования газа, находятся: 3 турбодетандера, 4 конечных компрессора, 3 паровых турбины, 2 компрессора циркуляции регенерационного газа, 32 масляных насоса и 3 центробежных компрессора производительностью 240 тыс. м3/ч (66,7 м3/с). Отключение автоматическое, без резервирования, расчетное время отключения принимается согласно п. 7 НПБ 105-03 [1] равным 120 с.
2 Расчет критериев взрывопожарной опасности
2.1 Определение необходимого условия.
В помещении обращается ГГ, способный образовывать взрывоопасные газовоздушные смеси, что соответствует необходимому условию отнесения данного помещения к категории А.
За расчетный вариант принимается аварийная разгерметизация центробежного компрессора, приводящая к поступлению горючей среды (ГГ) в помещение с возможностью возникновения пожара.
2.2 Определение достаточного условия отнесения помещения к категории А.
Рассчитывается избыточное давление взрыва DP, кПа, по формуле (1гу) для метана:
,
где Vп = (90 · 18,5 · 18) = 29970 м3,
Vг = Vав,
где Vав- объем газа, вышедшего из компрессора до его отключения, м3;
Vав = q · T= 66,7 · 120 = 8004 м3,
кПа.
3. Определение категории помещения
Результаты расчетов критериев взрывопожарной опасности показывают, что при расчетном варианте аварии достигаются необходимое (наличие в помещении ГГ) и достаточное (расчетное избыточное давление при сгорании газовоздушной смеси превышает 5 кПа) условия для отнесения данного помещения к категории А.
А.24 Расчет критериев взрывопожарной и пожарной опасности и определение категории помещения насосной установки осушки и отбензинивания газа
1 Исходные данные
1.1 Характеристика помещения.
Длина l = 18,5 м, ширина b= 18 м, высота h= 7 м.
Расчетная температура воздуха tр = 40 °C – абсолютная максимальная температура воздуха (для района г. Астрахани) согласно таблице 2 СНиП 23-01-99* [6].
Скорость движения воздуха в помещении в теплый период года равна 0,5 м/с.
1.2 Характеристика вещества и материалов, обращающихся (находящихся) в помещении, по справочным данным (приложение Г).
ШФЛУ (по пентану – C5H12): легковоспламеняющаяся жидкость (ЛВЖ).
1.3 Характеристика технологического процесса и оборудования.
В помещении насосной производится перекачка ШФЛУ, конденсата и промывочной воды с использованием следующего оборудования: – 3 насоса ШФЛУ, производительность 59 м3/ч (0,0164 м3/с), давление 17,5 кг/см2; трубы входящие – диаметром 158 мм, длиной 1,5 м, выходящие – диаметром 108 мм, длиной 0,7 м; 2 насоса конденсата, производительность 24 м3/ч, давление 3,6 кг/см2; 6 насосов промывочной воды.
Отключение ручное, расчетное время отключения принимается согласно п. 7 НПБ 105-03 [1] равным 300 с.
2 Расчет критериев взрывопожарной опасности
2.1 Определение необходимого условия.
В помещении обращается ЛВЖ с температурой вспышки менее 28 °C, способная образовывать взрывоопасные паровоздушные смеси, что отвечает необходимому условию отнесения помещения к взрывопожароопасной категории А.
За расчетный вариант принимается аварийная разгерметизация насоса, приводящая к истечению горючей среды (ЛВЖ) в помещение с возможностью возникновения пожара.
2.2 Определение достаточного условия отнесения помещения к категории А.
Рассчитывается избыточное давление взрыва DP, кПа, по формуле (1у) для пентана:
,
где Vп = (18,5 · 18 · 7) = 2331 м3;
кг/м3;
mп- масса паров пентана, поступивших в помещение в результате аварии, кг:
mп = W · Fи · T,
W = 10-6 · h·
· Pн,
где h = 2,4 по таблице 3 НПБ 105-03 [1] для исходных данных;
кПа,
W = 10-6 · 2,4 ·
· 115,5 = 23,52 · 10-4 кг/(с·м2),
Fи- площадь испарения, м2; определяется по п. 7 НПБ 105-03 [1] из расчета, что 1 л жидкости разливается на 1 м2.
Рассчитывается объем жидкости, вышедшей из аппарата в результате аварии, Vа, м3,
Vав = q · T= 0,0164 · 120 = 1,97 м3.
Вычисленная площадь разлива составляет 1970 м2. За площадь испарения принимается площадь помещения (333 м2), так как она меньше вычисленной.
m= 23,52 · 10-4 · 333 · 3600 = 2819,6 кг.
Так как рассчитанная масса паров превышает фактическую массу разлившейся жидкости (mж=1,97 м3 · 621,4 кг/м3 = 1224,2 кг), в дальнейших расчетах учитывается фактическое количество жидкости.
кПа.
3 Определение категории помещения
Результаты расчетов критериев взрывопожарной опасности показывают, что при расчетном варианте аварии выполняются необходимое (наличие в помещении ЛВЖ с температурой вспышки менее 28 °C) и достаточное (расчетное избыточное давление при сгорании паровоздушной смеси превышает 5 кПа) условия для отнесения данного помещения к категории А.
А.25 Расчет критериев взрывопожарной и пожарной опасности и определение категории помещения насосной блока ЭЛОУ комбинированной установки по переработке газового конденсата
1 Исходные данные
1.1 Характеристика помещения.
Длина l = 36 м, ширина b= 18 м, высота h= 12 м.
Расчетная температура воздуха tр = 40 °C – абсолютная максимальная температура воздуха (для района г. Астрахани) согласно таблице 2 СНиП 23-01-99* [6].
Скорость движения воздуха в помещении в теплый период года равна 0,2 м/с.
1.2 Характеристика веществ и материалов, обращающихся (находящихся) в помещении по справочным данным (приложение Г).
Конденсат (по гептану C7H16): легковоспламеняющаяся жидкость (ЛВЖ).
1.3 Характеристика технологического процесса и оборудования.
В помещении, предназначенном для перекачки жидких технологических сред, находятся: 4 насоса перекачки воды, 2 насоса перекачки деэмульгатора, 2 насоса перекачки солевых стоков, 2 насоса уловленного конденсата, 2 насоса конденсата производительности 65 м3/ч (0,02 м3/с).
Отключение ручное, расчетное время отключения согласно НПБ 105-03 [1] принимается равным 300 с.
2 Расчет критериев взрывопожарной опасности
2.1 Определение необходимого условия.
В помещении обращается ЛВЖ с температурой вспышки менее 28 °C, способная образовывать взрывоопасную паровоздушную смесь, что отвечает необходимому условию отнесения помещения к взрывопожароопасной категории А.
За расчетный вариант принимается аварийная разгерметизация насоса с конденсатом приводящая к истечению горючей среды (ЛВЖ) в помещение с возможностью возникновения пожара.
2.2 Определение достаточного условия отнесения помещения к категории А.
Рассчитывается избыточное давление взрыва DP, кПа, по сокращенной формуле для гептана:
,
где Vп = (36 · 18 · 12) = 7776 м3;
кг/м3,
mп- масса паров гептана, поступивших в результате расчетной аварии в помещение, кг
m = W · Fи · T,
W = 10-6 · h ·
· Pн,
где h = 2,2 по таблице 3 НПБ 105-03 [1] для исходных данных;
кПа,
W= 10-6 · 2,2 ·
· 12,3 = 2,7 · 10-4 кг/(с·м2),
Fи - площадь испарения, м2; определяется по п. 7 НПБ 105-03 [1] из расчета, что 1 л жидкости разливается на 1 м2.
Рассчитывается объем жидкости, разлившейся в результате аварии, Vав, м3,
Vав = q · T = 0,02 · 300 = 6 м3.
Вычисленная площадь разлива составляет 6000 м2. За площадь испарения принимается площадь помещения (648 м2), так как она меньше вычисленной.
m= 2,7 · 10-4 · 648 · 3600 = 629,9 кг.
кПа.
3. Определение категории помещения
Результаты расчетов критериев взрывопожарной опасности показывают, что при расчетном варианте аварии выполняются необходимое (наличие в помещении ЛВЖ с температурой вспышки менее 28 °C) и достаточное (расчетное избыточное давление при сгорании паровоздушной смеси превышает 5 кПа) условия, позволяющие отнести данное помещение к категории А.
А.26 Расчет критериев взрывопожарной и пожарной опасности и определение категории помещения насосной блока AT комбинированной установки по переработке газового конденсата
1 Исходные данные
1.1 Характеристика помещения.
Длина l = 54 м, ширина b = 12 м, высота h= 7 м.
Расчетная температура воздуха tр = 40 °C – абсолютная максимальная температура воздуха (для района г. Астрахани) согласно таблице 2 СНиП 23-01-99* [6].
Скорость движения воздуха в помещении в теплый период года равна 0,5 м/с.
1.2 Характеристика веществ и материалов, обращающихся (находящихся) в помещении, по справочным данным (приложение Г).
Конденсат (по гептану C7H16): легковоспламеняющаяся жидкость (ЛВЖ).
Дизтопливо «З»: легковоспламеняющаяся жидкость (ЛВЖ).
1.3 Характеристика технологического процесса и оборудования.
В помещении производится перекачка жидких технологических сред с использованием следующего оборудования: 10 насосов перекачки дизельной фракции, 6 насосов перекачки ингибитора, насос перекачки масла, насос для светлых нефтепродуктов, 2 насоса 2 % водного раствора аммиака, 2 насоса темных нефтепродуктов и 2 насоса стабильного конденсата производительностью 460 м3/ч (0,13 м3/с).
Отключение ручное, расчетное время отключения согласно НПБ 105-03 [1] принимается равным 300 с.
2 Расчет критериев взрывопожарной опасности
2.1 Определение необходимого условия.
В помещении обращается ЛВЖ с температурой вспышки менее 28 °C, способная образовывать взрывоопасную паровоздушную смесь, что отвечает необходимому условию отнесения помещения к взрывопожароопасной категории А.
За расчетный вариант принимается аварийная разгерметизация насоса с конденсатом, приводящая к истечению горючей среды (ЛВЖ) в помещение с возможностью возникновения пожара. Расчет проводится по гептану как наиболее опасному веществу согласно ряду ЛВЖ (см. 6.4.3).
2.2 Определение достаточного условия отнесения помещения к категории А.
Рассчитывается избыточное давление взрыва DP, кПа, по сокращенной формуле (1у) для гептана:
,
| где Vп | = (54 · 12 · 7) = 4536 м3; |
| rп | - плотность паров гептана при расчетной температуре tр, кг/м3: |
кг/м3,
mп- масса паров гептана, поступивших в результате расчетной аварии в помещение, кг;
mп = W · Fи · T,
W = 10-6 · h ·
· Pн,
где h = 2,4 по таблице 3 НПБ 105-03 [1] для исходных данных;
кПа,
W = 10-6 · 2,4 ·
· 12,3 = 2,88 · 10-4 кг/(с·м2),
Fи- площадь испарения, м2; определяется по п. 7 НПБ 105-03 [1] из расчета, что 1 л жидкости разливается на 1 м2.
Рассчитывается объем ЛВЖ, поступившей в результате аварийной ситуации (до отключения насоса), Vав, м3:
Vав = q · T = 0,13 · 300 = 39 м3.
Вычисленная площадь разлива составляет 39000 м2. За площадь испарения принимается площадь помещения (648 м2), так как она меньше вычисленной.
mп = 2,88 · 10-4 · 648 · 3600 = 671,85 кг.
кПа.
3. Определение категории помещения
Результаты расчетов критериев взрывопожарной опасности показывают, что при расчетном варианте аварии выполняются необходимое (наличие в помещении ЛВЖ с температурой вспышки менее 28 °C) и достаточное (расчетное избыточное давление при сгорании паровоздушной смеси превышает 5 кПа) условия, позволяющие отнести данное помещение к категории А.
А.27 Расчет критериев взрывопожарной и пожарной опасности и определение категории помещения насосной блока ВП комбинированной установки по переработке газового конденсата
1 Исходные данные
1.1 Характеристика помещения.
Длина l = 30 м, ширина b= 12 м, высота h = 7 м.
Расчетная температура воздуха tр = 40 °C – абсолютная максимальная температура воздуха (для района г. Астрахани) согласно таблице 2 СНиП 23-01-99* [6].
1.2 Характеристика веществ и материалов, обращающихся (находящихся) в помещении, по справочным данным (приложение Г).
Сжиженный газ (по пропану C3H8): горючий газ (ГГ).
Бензин, дизтопливо «З»: легковоспламеняющиеся жидкости (ЛВЖ).
1.3 Характеристика технологического процесса и оборудования.
В помещении, предназначенном для перекачки технологических жидкостей, находятся: 2 насоса для дизельной фракции, 2 насоса для 25 % раствора диэтаноламина, 4 насоса перекачки бензиновой фракции, 2 насоса перекачки стабильного гидрогенизата и 2 насоса перекачки сжиженного пропан-бутана производительностью 280 м3/ч (0,08 м3/с) с выходящим трубопроводом – диаметром 200 мм, длиной 6 м.
Отключение ручное, расчетное время отключения согласно НПБ 105-03 [1] принимается равным 300 с.
2 Расчет критериев взрывопожарной опасности
2.1 Определение необходимого условия.
В помещении обращается СУГ и ЛВЖ с температурой вспышки менее 28 °C, способные образовывать взрывоопасные газо- и паровоздушные смеси, что отвечает необходимо условию отнесения помещения к взрывопожароопасной категории А.
За расчетный вариант принимается аварийная разгерметизация насоса с сжиженным газом, приводящая к поступлению горючей среды (ГГ) в помещение с возможностью возникновения пожара.
2.2 Определение достаточного условия отнесения помещения к категории А.
Рассчитывается избыточное давление взрыва DP, кПа, по формуле (1гу) для пропана:
,
| гдеVп | = (30 · 12 · 7) = 2520 м3; |
| Vг | - объем газообразного пропана, поступившего в помещение при расчетной аварии, м3: |
Vг = (Vа + Vт) · Kг,
| где Kг | - объем паров с 1 л сжиженного газа, м3, равный 0,269 для пропана (см. Справочник) [7]; |
| Vа | - объем СУГ (пропана), вышедшего из насоса до его отключения, л; |
Vа = 0,08 · 300 · 103 = 24000 л,
Vт- объем СУГ (пропана), вышедшего из трубопровода после отключения, л;
Vт = 3,14 · 0,12 · 6 · 103 = 188 л,
Vг = 0,269 · (24000 + 188)= 6506,6 м3,
кПа.
3. Определение категории помещения
Результаты расчетов критериев взрывопожарной опасности показывают, что при расчетном варианте аварии выполняются необходимое (наличие в помещении ГГ) и достаточное (расчетное избыточное давление при сгорании газовоздушной смеси превышает 5 кПа) условия, позволяющие отнести данное помещение к категории А.
А.28 Расчет критериев взрывопожарной и пожарной опасности и определение категории помещения горячей насосной блока AT комбинированной установки по переработке газового конденсата
1 Исходные данные
1.1 Характеристика помещения.
Длина l = 18 м, ширина b= 12 м, высота h = 7 м.
Расчетная температура воздуха tр = 40 °C – абсолютная максимальная температура воздуха (для района г. Астрахани) согласно таблице 2 СНиП 23-01-99* [6].
Скорость движения воздуха в помещении в теплый период года равна 0,2 м/с.
1.2 Характеристика веществ и материалов, обращающихся (находящихся) в помещении, по справочным данным (приложение Г).
Бензин, дизтопливо «З»: легковоспламеняющиеся жидкости (ЛВЖ).
1.3 Характеристика технологического процесса и оборудования.
В помещении, предназначенном для перекачки жидких технологических сред, находятся: насосы перекачки дизельной фракции и 2 насоса бензиновой фракции производительностью 198 м3/ч (0,055 м3/с).
Отключение ручное, расчетное время отключения согласно НПБ 105-03 [1] принимается равным 300 с.
2 Расчет критериев взрывопожарной опасности
2.1 Определение необходимого условия.
В помещении обращается ЛВЖ с температурой вспышки менее 28 °C, способная образовывать взрывоопасную паровоздушную смесь, что отвечает необходимому условию отнесения помещения к взрывопожароопасной категории А.
За расчетный вариант принимается аварийная разгерметизация насоса с бензином, приводящая к истечению горючей среды (ЛВЖ) в помещение с возможностью возникновения пожара. Расчет проводится по бензину как наиболее опасному веществу согласно ряду ЛВЖ (см. 6.4.3).
2.2 Определение достаточного условия отнесения помещения к категории А.
Рассчитывается избыточное давление взрыва DP, кПа, по сокращенной формуле (4у) для бензина:
,
| где Vп | = (18 · 12 · 7) = 1512 м3; |
| mп | – масса паров бензина, поступивших в помещение в результате аварии, кг: |
mп = W · Fи · T,
W= 10-6 · h ·
· Pн,
где h = 2,2 по таблице 3 НПБ 105-03 [1] для исходных данных;
кПа,
W = 10-6 · 2,2 ·
· 42,2 = 9,06 · 10-4 кг/(с·м2),
Fи – площадь испарения, м2; определяется по п. 7 НПБ 105-03 [1] из расчета, что 1 л жидкости разливается на 1 м2.
Рассчитывается объем жидкости, вышедшей из аппарата в результате аварии до отключения насоса, Vав, м3
Vав = q · T= 0,055 · 300 = 16,5 м3.
Вычисленная площадь разлива составляет 16500 м2. За площадь испарения принимается площадь помещения (216 м2), так как она меньше вычисленной.
m= 9,06 · 10-4 · 216 · 3600 = 704,5 кг.
кПа.
3. Определение категории помещения
Результаты расчетов критериев взрывопожарной опасности показывают, что при расчетном варианте аварии выполняются необходимое (наличие в помещении ЛВЖ с температурой вспышки менее 28 °C) и достаточное (расчетное избыточное давление при сгорании паровоздушной смеси превышает 5 кПа) условия, позволяющие отнести данное помещение к категории А.
А.29 Расчет критериев взрывопожарной и пожарной опасности и определение категории помещения насосной БОПСГ комбинированной установки по переработке газового конденсата
1 Исходные данные
1.1 Характеристика помещения.
Длина l = 66 м, ширина b = 12 м, высота h= 7 м.
Расчетная температура воздуха tр = 40 °C – абсолютная максимальная температура воздуха (для района г. Астрахани) согласно таблице 2 СНиП 23-01-99* [6].
1.2 Характеристика веществ и материалов, обращающихся (находящихся) в помещении, по справочным данным (приложение Г).
Сжиженный газ (по пропану C3H8): горючий газ (ГГ).
Диэтаноламин: горючая жидкость (ГЖ).
1.3 Характеристика технологического процесса и оборудования.
В помещении насосной, предназначенной для перекачки технологических жидкостей, находятся: 2 насоса перекачки 25 % раствора диэтаноламина, 5 насосов перекачки раствора щелочи, 7 насосов перекачки пароконденсата, 2 насоса перекачки сжиженного газа производительностью 64 м3/ч и 2 насоса перекачки сжиженного газа производительностью 110 м3/ч (0,03 м3/с) с выходящим трубопроводом – диаметром 150 мм, длиной 7,5 м.
Отключение ручное, расчетное время отключения согласно НПБ 105-03 [1] принимается равным 300 с.
2 Расчет критериев взрывопожарной опасности
2.1 Определение необходимого условия.
В помещении обращается СУГ, при испарении переходящий в ГГ, способный образовывать взрывоопасные газовоздушные смеси, что отвечает необходимому условию отнесения помещения к взрывопожароопасной категории А.
За расчетный вариант принимается аварийная разгерметизация насоса с сжиженным газом, приводящая к поступлению горючей среды (ГГ) в помещение с возможностью возникновения пожара.
2.2 Определение достаточного условия отнесения помещения к категории А.
Рассчитывается избыточное давление взрыва DP, кПа, по сокращенной формуле (1гу) для пропана:
,
| где Vп | = (66 · 12 · 7) = 5544 м3; |
| Vг | – объем газообразного пропана, поступившего из насоса до его отключения, м3: |
Vг = (Vа + Vт) · Kг,
| где Kг | = 0,269 объем паров с 1 л сжиженного газа, м3 [10]; |
| Vа | – объем СУГ, вышедшего из насоса до его отключения, л: |
Vа = q · T = 0,03 · 300 · 103 = 9000 л,
Vт – объем СУГ, вышедшего из трубопровода после его отключения, л:
Vт = 3,14 · 0,0752 · 7,5 · 103 = 132 л,
Vг = (9000 + 132) · 0,269 = 2456,5 м3,
кПа.
3. Определение категории помещения
Результаты расчетов критериев взрывопожарной опасности показывают, что при расчетном варианте аварии выполняются необходимое (наличие в помещении ГГ) и достаточна (расчетное избыточное давление при сгорании газовоздушной смеси превышает 5 кПа) условия, позволяющие отнести данное помещение к категории А.
А.30 Расчет критериев взрывопожарной и пожарной опасности и определение категории помещения насосной установки гидроочистки
1 Исходные данные
1.1 Характеристика помещения.
Длина l = 72 м, ширина b = 9 м, высота h = 7,2 м.
Расчетная температура воздуха tр = 40 °C– абсолютная максимальная температура воздуха (для района г. Астрахани) согласно таблице 2 СНиП 23-01-99* [6].
Скорость движения воздуха в помещении в теплый период года принимается равной 0,2 м/с.
1.2 Характеристика веществ и материалов, обращающихся (находящихся) в помещении, по справочным данным (приложение Г).
Бензин: легковоспламеняющаяся жидкость (ЛВЖ).
Диэтаноламин, мазут, масло: горючие жидкости (ГЖ).
1.3 Характеристика технологического процесса и оборудования.
В помещении, предназначенном для перекачки жидких технологических сред, находятся: 4 насоса перекачки мазута, 4 насоса перекачки диэтаноламина, насосы перекачки пароконденсата и воды, 3 насоса перекачки масла и 2 насоса перекачки бензина производительностью 63 м3/ч (0,01 м3/с).
Отключение ручное, расчетное время отключения согласно НПБ 105-03 [1] принимается равным 300 с.
2 Расчет критериев взрывопожарной опасности
2.1 Определение необходимого условия.
В помещении обращается ЛВЖ с температурой вспышки менее 28 °C, способная образовывать взрывоопасные паровоздушные смеси, что отвечает необходимому условию отнесения помещения к взрывопожароопасной категории А.
За расчетный вариант принимается аварийная разгерметизация насоса с бензином, приводящая к истечению горючей среды (ЛВЖ) в помещение с возможностью возникновения пожара.
2.2 Определение достаточного условия отнесения помещения к категории А.
Рассчитывается избыточное давление взрыва DP, кПа, по сокращенной формуле (4у) для бензина:
,
| где Vп | = (72 · 9 · 7,2) = 4665,6 м3; |
| m | - масса паров бензина, поступивших в помещение в результате аварии, кг: |
m = W · Fи · T,
W = 10-6 · h ·
· Pн,
кПа,
W = 10-6 · 2,2
· 42,2 = 9,06 · 10-4 кг/(с·м2),
Fи – площадь испарения, м2; определяется по п. 7 НПБ 105-03 [1] из расчета, что 1 л жидкости разливается на 1 м2.
Рассчитывается объем жидкости, вышедшей в результате аварии из насоса до его отключения, Vав, м3,
Vав= q · T = 0,01 · 300 = 3 м3.
Вычисленная площадь разлива составляет 3000 м2. За площадь испарения принимается площадь помещения (648 м2), так как она меньше вычисленной.
m= 9,06 · 10-4 · 648 · 3600 = 2113,5 кг,
кПа.
3. Определение категории помещения
Результаты расчетов критериев взрывопожарной опасности показывают, что при расчетном варианте аварии выполняются необходимое (наличие в помещении ЛВЖ с температурой вспышки менее 28 °C) и достаточное (расчетное избыточное давление при сгорании паровоздушной смеси превышает 5 кПа) условия, позволяющие отнести данное помещение к категории А.
А.31 Расчет критериев взрывопожарной и пожарной опасности и определение категории помещения компрессорной установки гидроочистки
1 Исходные данные
1.1 Характеристика помещения.
Длина l = 18 м, ширина b = 18 м, высота h = 12,6 м.
Расчетная температура воздуха tр = 40 °C – абсолютная максимальная температура воздуха (для района г. Астрахани) согласно таблице 2 СНиП 23-01-99* [6].
1.2 Характеристика веществ и материалов, обращающихся (находящихся) в помещении, по справочным данным (приложение Г).
Водородосодержащий газ (по водороду – H2): горючий газ (ГГ).
1.3 Характеристика технологического процесса и оборудования.
В помещении осуществляется компримирование газа с использованием следующего оборудования: холодильник антипомпажный и компрессор производительностью 82,5 тыс. м3/ч (22,9 м3/с) с выходящим трубопроводом – диаметром 200 мм, длиной 1,5 м, давление газа 46 кг/см2 (4511 кПа).
Отключение автоматическое, без резервирования, расчетное время отключения принимается согласно п. 7 НПБ 105-03 [1] равным 120 с.
2 Расчет критериев взрывопожарной опасности
2.1 Определение необходимого условия.
В помещении обращается ГГ, способный образовывать взрывоопасные газовоздушные смеси, что отвечает необходимому условию отнесения помещения к взрывопожароопасной категории А.
За расчетный вариант принимается аварийная разгерметизация компрессора, приводящая к выбросу горючей среды (ГГ) в помещение с возможностью возникновения пожара.
2.2 Определение достаточного условия отнесения помещения к категории А.
Рассчитывается избыточное давление взрыва DP, кПа, по формуле (1гу) для водорода:
,
| где Vп | = (18 · 18 · 12,6) = 4082,4 м3; |
| Vг | - объем водорода, поступившего из компрессора до его отключения, м3: |
Vг = Vа + Vт,
где Vа- объем газа, вышедшего из компрессора, м3;
Vа = q · T = 22,9 · 120 = 2748 м3,
Vт- объем газа, вышедшего из трубопровода после его отключения, м3;
Vт = 0,01 · p · P · (r2 · L) = 0,01 · 3,14 · 4511 · (0,12 · 1,5) = 2,1 м3,
Vг = 2748 + 2,1 = 2750,1 м3,
кПа.
3. Определение категории помещения
Результаты расчетов критериев взрывопожарной опасности показывают, что при расчетном варианте аварии достигаются необходимое (наличие в помещении ГГ) и достаточное (расчетное избыточное давление при сгорании газовоздушной смеси превышает 5 кПа) условия для отнесения данного помещения к категории А.
А.32 Расчет критериев взрывопожарной и пожарной опасности и определение категории помещения компрессорной УКР
1. Исходные данные
1.1 Характеристика помещения.
Длина l = 42 м, ширина b = 18 м, высота h= 12,6 м.
Расчетная температура воздуха tр = 40 °C – абсолютная максимальная температура воздуха (для района г. Астрахани) согласно таблице 2 СНиП 23-01-99* [6].
1.2 Характеристика веществ и материалов, обращающихся (находящихся) в помещении, по справочным данным (приложение Г).
Водородосодержащий газ (по водороду – H2): горючий газ (ГГ).
1.3 Характеристика технологического процесса и оборудования.
В помещении компрессорной УКР находятся: паровая турбина, 2 поршневых компрессора и компрессор центробежный производительностью 320 тыс. м3/ч (88,9 м3/с) с выходящим трубопроводом давлением 45 кг/см2, диаметром 250 мм, длиной 6 м.
Отключение автоматическое, без резервирования, расчетное время отключения принимается согласно п. 7 НПБ 105-03 [1] равным 120 с.
2 Расчет критериев взрывопожарной опасности
2.1 Определение необходимого условия.
В помещении обращается ГГ, способный образовывать взрывоопасные газовоздушные смеси, что отвечает необходимому условию отнесения помещения к взрывопожароопасной категории А.
За расчетный вариант принимается аварийная разгерметизация компрессора, приводящая к выбросу горючей среды (ГГ) в помещение с возможностью возникновения пожара.
2.2 Определение достаточного условия отнесения помещения к категории А.
Рассчитывается избыточное давление взрыва DP, кПа, по формуле (1гу) для водорода:
,
| где Vп | = (42 · 18 · 12,6) = 9525,6 м3; |
| Vг | – объем газа, поступившего в результате аварийной ситуации, м3; |
Vг = V1т + V2т,
где V1т – объем газа, вышедшего из трубопровода до его отключения, м3;
V1т = 88,9 · 120 = 10668 м3,
V2т – объем газа, вышедшего из трубопровода после его отключения, м3;
V2т = 0,01 · 3,14 · 4413 · (0,1252 · 6) = 13 м3,
Vг = 10668 + 13= 10681 м3,
кПа.
3 Определение категории помещения
Результаты расчетов критериев взрывопожарной опасности показывают, что при расчетном варианте аварии достигаются необходимое (наличие в помещении ГГ) и достаточное (расчетное избыточное давление при сгорании газовоздушной смеси превышает 5 кПа) условия для отнесения данного помещения к категории А.
А.33 Расчет критериев взрывопожарной и пожарной опасности и определение категории помещения пункта замера НГКС парка приема и хранения углеводородов
1 Исходные данные
1.1 Характеристика помещения.
Длина l = 6 м, ширина b = 3 м, высота h = 3,3 м.
Расчетная температура воздуха tр = 34 °C – абсолютная максимальная температура воздуха (для района г. Сургута) согласно таблице 2 СНиП 23-01-99* [6].
1.2 Характеристика веществ и материалов, обращающихся (находящихся) в помещении, по справочным данным (приложение Г).
НГКС (нефтегазоконденсатная смесь) (содержание гексана - 53 %): легковоспламеняющаяся жидкость (ЛВЖ).
1.3 Характеристика технологического процесса и оборудования.
В помещении производится замер нефтегазоконденсатной смеси в проходящих через помещение четырех трубопроводах производительностью 1000 м3/ч (0,28 м3/с), длиной 25 м, диаметром 325 мм каждый.
Отключение ручное, расчетное время отключения принимается согласно п. 7 НПБ 105-03 [1] равным 120 с.
2 Расчет критериев взрывопожарной опасности
2.1 Определение необходимого условия.
В помещении находится ЛВЖ с температурой вспышки менее 28 °C, способная образовывать взрывоопасную паровоздушную смесь, что соответствует необходимому условию отнесения помещения к взрывоопасной категории А.
За расчетный вариант принимается аварийная разгерметизация трубопровода, приводящая к поступлению горючей среды (ЛВЖ) в помещение с возможностью возникновения пожара.
2.2 Определение достаточного условия отнесения помещения к категории А.
Рассчитывается избыточное давление взрыва DP, кПа, по сокращенной формуле (1у) для гексана:
,
где Vп = (6 · 3 · 3,3) = 59,4 м3;
кг/м3,
m– масса паров гексана, вышедших в результате аварии в помещение, кг;
m = W · Fи · T,
W= 10-6 · h ·
· Pн, кг/(с·м2),
c = 0,53, по исходным данным;
кПа;
h – принимается по таблице 3 НПБ 105-03 [1] соответственно исходным данным.
W= 10-6 · 1 ·
· 15,6 = 1,44 · 10-4 кг/(с·м2),
T – время испарения, с, принимается равным 3600 с по НПБ 105-03 [1];
Fи – площадь испарения, м2; определяется по п. 7 НПБ 105-03 [1] из расчета, что 1 л жидкости разливается на 1 м2.
Рассчитывается объем жидкости, разлившейся в помещении в результате расчетной аварии, Vав, м3,
Vав = q · T+ Vт = 0,28 · 120 + 3,14 · 0,162 · 25 = 35,6 м3.
Вычисленная площадь разлива составляет 35600 м2. За площадь испарения принимается площадь помещения (18 м2), так как она меньше вычисленной.
m = 1,44 · 10-4 · 18 · 3600 = 9,33 кг.
кПа.
3. Определение категории помещения
Результаты расчетов критериев взрывопожарной опасности показывают, что при расчетном варианте аварии достигаются необходимое (наличие ЛВЖ с температурой вспышки менее 28°C) и достаточное (расчетное избыточное давление при сгорании паровоздушной смеси превышает 5 кПа) условия, позволяющие отнести данное помещение к категории А.
А.34 Расчет критериев взрывопожарной и пожарной опасности и определение категории помещения реакторов печного отделения УППУ
1. Исходные данные
1.1 Характеристика помещения.
Длина l = 57,6 м, ширина b = 5,4 м, высота h= 5,4 м.
Расчетная температура воздуха tр = 35 °C – абсолютная максимальная температура воздуха (для района г. Ухты) согласно таблице 2 СНиП 23-01-99* [6].
1.2 Характеристика веществ и материалов, обращающихся (находящихся) в помещении, по справочным данным (Приложение Г).
Углеводородная смесь: горючий газ (ГГ).
1.3 Характеристика технологического процесса и оборудования.
В помещении печного отделения находятся 7 технологических ниток, каждая состоит из двух реакторов и одного активатора, предназначенных для получения технического углерода. В реакторах при производстве печного техуглерода образуется углеводородная смесь, содержащая также оксид углерода, водород, которая отводится для дальнейшей обработки, производительность (расход по газу - 34000 м3/с (9,4 м3/с).
Отключение автоматическое, без резервирования, расчетное время отключения принимается согласно п. 7 НПБ 105-03 [1] равным 120 с.
2. Расчет критериев взрывопожарной опасности
2.1 Определение необходимого условия.
В помещении обращаются ГГ, способные образовывать взрывоопасные газовоздушные смеси, что отвечает необходимому условию отнесения помещения к взрывопожароопасной категории А.
За расчетный вариант принимается аварийная разгерметизация трубопровода с углеводородной смесью, приводящая к выбросу горючей среды (ГГ) в помещение с возможностью возникновения пожара.
2.2 Определение достаточного условия отнесения помещения к категории А.
Рассчитывается избыточное давление взрыва DP, кПа, по формуле (1гу) для водорода (как наиболее взрывоопасного вещества):
,
где Vп = 57,6 · 5,4 · 5,4 = 1679,6 м3,
Vг = Vт,
где Vт – объем газа, вышедшего из трубопровода до его отключения, м3;
Vт = 9,4 · 120 = 1128 м3.
кПа.
3. Определение категории помещения
Результаты расчетов критериев взрывопожарной опасности показывают, что при расчетном варианте аварии достигаются необходимое (наличие в помещении ГГ) и достаточное (расчетное избыточное давление при сгорании газовоздушной смеси превышает 5 кПа) условия для отнесения данного помещения к категории А.
А.35 Расчет критериев взрывопожарной и пожарной опасности и определение категории помещения отделения улавливания техуглерода УППУ
1. Исходные данные
1.1 Характеристика помещения.
Длина l = 54 м, ширина b = 40 м, высота h = 13 м.
Расчетная температура воздуха tр = 35 °C – абсолютная максимальная температура воздуха (для района г. Ухты) согласно таблице 2 СНиП 23-01-99* [6].
1.2 Характеристика веществ и материалов, обращающихся (находящихся) в помещении, по справочным данным (приложение Г).
Отходящий газ: состава O2 - 2 %; CH4 - 1 %; CO + CO2 - 15 %; H2O - 50 %; H2 - 18 %.
Водород: горючий газ (ГГ).
1.3 Характеристика технологического процесса и оборудования.
В помещении отделения происходит улавливание техуглерода в 7 электрофильтрах с отводом отходящих газов на установку нейтрализации производительностью 34000 м3/c (9,4 м3/с).
Отключение автоматическое, без резервирования, расчетное время отключения принимается согласно п. 7 НПБ 105-03 [1] равным 120 с.
2. Расчет критериев взрывопожарной опасности
2.1 Определение необходимого условия.
В помещении обращаются ГГ, способные образовывать взрывоопасные газовоздушные смеси, что отвечает необходимому условию отнесения помещения к взрывопожароопасной категории А.
За расчетный вариант принимается аварийная разгерметизация воздуховода с отходящими газами от электрофильтра, приводящая к выбросу горючей среды (ГГ - по водороду) в помещение с возможностью возникновения пожара.
2.2 Определение достаточного условия отнесения помещения к категории А.
Рассчитывается избыточное давление взрыва DP, кПа, по формуле (1гу) для водорода:
,
где Vп = 54 · 40 · 13 = 28080 м3,
Vг = Vт,
где Vт – объем газа, вышедшего из воздуховода до его отключения, с учетом 18 % содержания водорода в отходящем газе, м3;
Vт = 9,4 · 120 · 0,18 = 203,04 м3.
кПа.
3 Определение категории помещения
Результаты расчетов критериев взрывопожарной опасности показывают, что при расчетном варианте аварии достигаются необходимое (наличие в помещении ГГ) и достаточное (расчетное избыточное давление при сгорании газовоздушной смеси превышает 5 кПа) условия для отнесения данного помещения к категории А.
А.36 Расчет критериев взрывопожарной и пожарной опасности и определение категории помещения преобразователей подстанции УППУ
1. Исходные данные
1.1 Характеристика помещения.
Длина l = 28 м, ширина b = 12 м, высота h = 6 м.
Минимальное расстояние от поверхности пожарной нагрузки до нижнего пояса ферм перекрытия Hсоставляет 16 м.
1.2 Характеристика веществ и материалов, обращающихся (находящихся) в помещении, по справочным данным (приложение Г).
Масло трансформаторное: горючая жидкость (ГЖ).
Карболит, ПВХ: твердые горючие материалы.
1.3 Характеристика технологического процесса и оборудования.
В помещении преобразователей подстанции УППУ находятся 15 трансформаторов (по 900 кг масла в каждом); прибор регулирования 1 ´ 0,3 ´ 1,5 м. Каждый трансформатор имеет отбортовку размерами 1,5 ´ 1,5 м.
Суммарная масса горючих материалов: карболита – 15 кг, ПВХа: 25 кг.
2. Расчет критериев пожарной опасности
2.1 Определение необходимого условия.
а) В помещении обращается ГЖ, нагретая ниже температуры вспышки без возможности образовать аэрозоль, что соответствует необходимому условию отнесения помещения к одной из пожароопасных категорий В1-В4.
б) Для конкретизации категории рассчитываются: пожарная нагрузка Q, МДж, и удельная пожарная нагрузка g, МДж/м2.
,
Q = (900 · 41,87) + (15 · 26,9) + (25 · 20,7) = 38604 МДж.
.
За площадь размещения пожарной нагрузки принимается площадь отбортовки, но не менее 10 м2 согласно НПБ 105-03 [1],
МДж/м2.
Рассчитанная удельная пожарная нагрузка соответствует категории В1 (g = более 2200 МДж/м2) по таблице 4 НПБ 105-03 [1].
3. Определение категории помещения
Результаты расчетов критериев пожарной опасности показывают, что выполняется необходимое и достаточное условие (удельная пожарная нагрузка соответствует категории В1), поэтому данное помещение следует отнести к категории В1.
А.37 Расчет критериев взрывопожарной и пожарной опасности и определение категории помещения отделения грануляции углерода
1. Исходные данные
1.1 Характеристика помещения.
Длина l = 23 м, ширина b =21 м, высота h = 6 м.
Минимальное расстояние от поверхности пожарной нагрузки до нижнего пояса ферм перекрытия H составляет 2 м.
Расчетная температура воздуха tр = 35 °C – абсолютная максимальная температура воздуха (для района г. Ухты) согласно таблице 2 СНиП 23-01-99* [6].
1.2 Характеристика веществ и материалов, обращающихся (находящихся) в помещении, по справочным данным (приложение Г).
Технический углерод рыхлый: горючая пыль.
1.3. Характеристика технологического процесса и оборудования.
В помещении, предназначенном для грануляции технического углерода, размещены: барабаны грануляционные (5 шт.) производительностью каждый 14 т/сут (0,16 кг/с).
Отключение ручное, расчетное время отключения принимается согласно п. 7 НПБ 105-03 [1] равным 300 с.
2. Расчет критериев пожарной опасности
За расчетный вариант принимается аварийная разгерметизация грануляционного барабана, приводящая к поступлению горючей среды (горючей пыли) в помещение с возможностью возникновения пожара.
2.1 Определение необходимого условия.
В помещении обращается горючая пыль, способная образовывать взрывоопасную пылевоздушную смесь, что соответствует необходимому условию отнесения помещения к взрывопожароопасной категории Б.
2.2 Определение достаточного условия отнесения помещения к категории Б.
Рассчитывается избыточное давление взрыва DP, кПа, по формуле (4у) для пыли:
кПа,
| где Vп | = (23 · 21 · 6) = 2898 м3, |
| rв | = 1,15 кг/м3, при расчетной температуре, принимается по таблице 6.1; |
| m | - масса горючей пыли, поступившей в помещение в результате аварии, кг. |
m = mвз + mав,
где mвз- масса взвихрившейся пыли (mвз) по формуле:
mвз = Kвзmп,
| где Kвз | – доля отложившейся в помещении пыли, способной перейти во взвешенное состояние в результате аварийной ситуации, допускается принимать 0,9 НПБ 105-03 [1], |
| mп | - масса отложившейся в помещении пыли к моменту аварии, определяется экспериментально и составляет в среднем 0,5 кг. |
| mвз | = 0,9 · 0,5 = 0,45 кг, |
| mав | – масса горючей пыли, поступившей в помещение в результате аварии, кг. |
mав = q · T · Kп,
| где q | – производительность оборудования, с которого продолжается поступление рыхлого технического углерода до момента отключения (0,27 кг/с); |
| T | – время отключения оборудования (300 с); |
| Kп | – коэффициент пыления техуглерода, принимается равным 1 НПБ 105-03 [1]. |
mав = 0,27 · 300 · 1 = 81 кг.
Суммарная масса пыли по аварийной ситуации
m = 0,45 + 81 = 81,45 кг.
Определяется избыточное давление взрыва:
кПа.
3. Определение категории помещения
Результаты расчетов критериев пожарной опасности показывают, что выполняются необходимое условие (наличие горючей пыли) и достаточное (величина избыточного давления превышает 5 кПа), что позволяет отнести данное помещение к категории Б.
А.38 Расчет критериев взрывопожарной и пожарной опасности и определение категории помещения упаковочного отделения
1. Исходные данные
1.1 Характеристика помещения.
Длина l = 24 м, ширина b =18 м, высота h = 8 м.
Минимальное расстояние от поверхности пожарной нагрузки до нижнего пояса ферм перекрытия H составляет 6 м.
Расчетная температура воздуха tр = 35 °C – абсолютная максимальная температура воздуха (для района г. Ухты) согласно таблице 2 СНиП 23-01-99* [6].
1.2 Характеристика веществ и материалов, обращающихся (находящихся) в помещении, по справочным данным (приложение Г).
Технический углерод рыхлый (сажа газовая) – горючая пыль.
Технический углерод гранулированный: твердое горючее вещество, содержание пыли - 6 % согласно ГОСТ 7885-86*.
Бумага, полиэтилен, древесина, карболит, ПВХ: твердые горючие материалы.
1.3 Характеристика технологического процесса и оборудование.
В помещении, предназначенном для упаковки рыхлого и гранулированного технического углерода, находятся: 1 бункер с рыхлым техуглеродом (450 кг), 2 бункера с гранулированным техуглеродом (230 кг), ПФМ (пакетоформирующая машина), европоддоны (20 шт.), 1 пакет бумажных кулей (750 шт. по 350 г), бухта полиэтиленовая – 50 кг, 2 щита управления.
2 Расчет критериев пожарной опасности
2.1 Определение необходимого условия.
В помещении обращается горючая пыль рыхлого техуглерода (сажа), способная образовывать взрывоопасные смеси с воздухом (при нижнем пределе концентрации взрываемости – не менее 60 г/м3 [8, 9]), что соответствует необходимому условию отнесения помещения к категории Б.
За расчетный вариант принимается аварийная разгерметизация бункера с рыхлым техуглеродом и поступление горючей пыли в помещение с возможностью возникновения пожара.
2.2 Определение достаточного условия отнесения помещения к категории Б.
Рассчитывается избыточное давление взрыва DP, кПа, по формуле (4у) для пыли:
кПа,
| где Vп | = (24 · 18 · 8) = 3456 м3, |
| rв | = 1,15 кг/м3, при расчетной температуре, принимается по таблице 6.1; |
| m | – масса горючей пыли, поступившей в помещение в результате аварийной ситуации, кг. |
m = mвз + mав,
где mвз – масса взвихрившейся пыли (mвз) по формуле:
mвз = Kвзmп,
| где Kвз | – доля отложившейся в помещении пыли, способной перейти во взвешенное состояние в результате аварийной ситуации, допускается принимать 0,9 НПБ 105-03 [1], |
| mп | - масса отложившейся в помещении пыли к моменту аварии, определяется экспериментально и составляет в среднем 0,5 кг. |
mвз = 0,9 · 0,5 = 0,45 кг,
mав – масса горючей пыли, поступившей в помещение в результате аварии, кг.
mав = mа · Kп,
| где mа | - количество рыхлого техуглерода в бункере, кг; |
| Kп | - коэффициент пыления техуглерода, принимается равным 1 НПБ 105-03 [1]. |
mав = 450 · 1 = 450 кг.
Суммарная масса пыли по аварийной ситуации
m = 0,45 + 450 = 450,45 кг.
Определяется избыточное давление взрыва:
кПа.
3. Определение категории помещения
Результаты расчетов критериев пожарной опасности показывают, что выполняются необходимое условие (наличие горючей пыли) и достаточное (величина избыточного давления превышает 5 кПа), что позволяет отнести данное помещение к категории Б.
А.39 Расчет критериев взрывопожарной и пожарной опасности и определение категории помещения насосной жидкого сырья
1. Исходные данные
1.1 Характеристика помещения.
Длина l = 7,5 м, ширина b = 5,3 м, высота h = 4 м.
Расчетная температура воздуха tр = 35 °C – абсолютная максимальная температура воздуха (для района г. Ухты) согласно таблице 2 СНиП 23-01-99* [6].
Скорость движения воздушного потока в помещении в теплый период года 0,5 м/с.
1.2 Характеристика веществ и материалов, обращающихся (находящихся) в помещении, по справочным данным (приложение Г).
УВ жидкие (по пентану – C5H12): легковоспламеняющаяся жидкость (ЛВЖ).
1.3 Характеристика технологического процесса и оборудования.
В помещении осуществляется перекачка жидких технологических сред с использованием следующего технологического оборудования: 2 насоса (1 – резерв) по перекачке жидких углеводородов (УВ) общей производительностью 21 т/сут (0,243 кг/с).
Отключение автоматическое без резервирования, расчетное время отключения согласно НПБ 105-03 [1] принимается равным 120 с.
2. Расчет критериев взрывопожарной опасности
2.1 Определение необходимого условия.
В помещении обращается ЛВЖ с температурой вспышки менее 28 °C, способная образовывать взрывоопасные паровоздушные смеси, что отвечает необходимому условию отнесения помещения к взрывопожароопасной категории А.
За расчетный вариант принимается аварийная разгерметизация насоса, приводящая к выбросу горючей среды (ЛВЖ) в помещение с возможностью возникновения пожара.
2.2 Определение достаточного условия отнесения помещения к категории А.
Рассчитывается избыточное давление взрыва DP, кПа, по сокращенной формуле (1у) для пентана:
,
где Vп = (7,5 · 5,3 · 4) = 159 м3;
кг/м3;
m– масса паров пентана, поступивших в помещение в результате расчетной аварии, кг, рассчитывается по формуле (12) НПБ 105-03 [1]:
m = W · Fи · T,
,
кПа,
W = 10-6 · 1 ·
· 94,4 = 0,8 · 10-3 кг/(с·м2),
Fм – площадь испарения, определяется по п. 7 НПБ 105-03 [1] из расчета, что 1 л жидкости разливается на 1 м2.
Рассчитывается объем жидкости, разлившейся в результате аварии, Vав, м3:
Vав = q · T = 0,243 · 120 = 29,2 м3.
За площадь испарения принимается площадь помещения (39,75 м2), так как она меньше вычисленной (29200 м2).
m = 0,8 · 10-3 · 39,75 · 3600 = 114,48 кг.
Количество разлившейся жидкости (m = 29,2 · 2,86 = 83,5 кг) меньше вычисленной массы паров, поэтому в расчете учитывается фактическая масса пентана.
кПа.
3 Определение категории помещения
Результаты расчетов критериев взрывопожарной опасности показывают, что при расчетном варианте аварии выполняются необходимое (наличие в помещении ЛВЖ с температурой менее 28 °C) и достаточное (расчетное избыточное давление при сгорании газовоздушной смеси превышает 5 кПа) условия для отнесения данного помещения к категории А.
А.40 Расчет критериев взрывопожарной и пожарной опасности и определение категории помещения шнекового коридора углеродоосадителей УТПУ
1. Исходные данные
1.1 Характеристика помещения.
Длина l = 30 м, ширина b = 4 м, высота h = 4 м.
Минимальное расстояние от поверхности пожарной нагрузки до нижнего пояса ферм перекрытия (H) составляет 3 м.
Расчетная температура воздуха tр = 35 °C – абсолютная максимальная температура воздуха (для района г. Ухты) согласно таблице 2 СНиП 23-01-99* [6].
1.2 Характеристика веществ и материалов, обращающихся (находящихся) в помещении, по справочным данным (приложение Г).
Технический углерод рыхлый (сажа газовая): горючая пыль.
1.3 Характеристика технологического процесса и оборудования.
В помещении коридорного типа производится шнековая транспортировка влажного технического углерода и размещены 3 шнека (по 1 = 30 м) транспортировки, в работе 1 шнек производительностью 30 т/сут (0,347 кг/с). Общая масса единовременно находящегося в помещении техуглерода 625 кг.
Отключение ручное, расчетное время отключения принимается согласно п. 7 НПБ 105-03 [1] равным 300 с.
2. Расчет критериев пожарной опасности
За расчетный вариант принимается аварийный разрыв шнека при продолжающемся поступлении техуглерода, приводящий к поступлению горючей пыли в помещение с возможностью возникновения пожара.
2.1 Определение необходимого условия.
В помещении обращается горючая пыль, способная образовывать взрывоопасную пылевоздушную смесь, что соответствует необходимому условию отнесения помещения к взрывопожароопасной категории Б.
2.2 Определение достаточного условия отнесения помещения к категории Б.
Рассчитывается избыточное давление взрыва DP, кПа, по формуле (4у):
,
| где Vп | = (30 · 4 · 4) = 480 м3, |
| rв | = 1,15 кг/м3, при расчетной температуре, принимается по таблице 6.1; |
| m | – масса горючей пыли, поступившей в помещение в результате аварийной ситуации, кг. |
m = mвз + mав,
где mвз – масса взвихрившейся пыли (mвз) по формуле:
mвз = Kвзmп,
| где Kвз | – доля отложившейся в помещении пыли, способной перейти во взвешенное состояние в результате аварийной ситуации, допускается принимать 0,9 НПБ 105-03 [1], |
| mп | – масса отложившейся в помещении пыли к моменту аварии, определяется экспериментально и составляет в среднем 0,5 кг. |
mвз = 0,9 · 0,5 = 0,45 кг,
mав – масса горючей пыли, поступившей в помещение в результате аварии, кг.
mав = q· T · Kп,
| где q | – производительность шнека (0,347 кг/с); |
| Kп | – коэффициент пыления, принимается равным 1 НПБ 105-03 [1], |
mав = 0,347 · 300 · 1 = 104,1 кг,
m = 0,45 + 104,1 = 104,55 кг.
Определяется избыточное давление взрыва:
кПа.
3. Определение категории помещения
Результаты расчетов критериев пожарной опасности показывают, что выполняются необходимое условие (наличие горючей пыли) и достаточное (величина избыточного давления превышает 5 кПа), что позволяет отнести данное помещение к категории Б.
А.41 Расчет критериев взрывопожарной и пожарной опасности и определение категории помещения насосной орошения
1. Исходные данные
1.1 Характеристика помещения.
Длина l = 12 м, ширина b = 6 м, высота h = 5 м.
1.2 Характеристика веществ и материалов, обращающихся (находящихся) в помещении, по справочным данным (приложение Г).
Твердые негорючие вещества и материалы в холодном состоянии.
1.3 Характеристика технологического процесса и оборудования.
В помещении размещены три насоса перекачки воды и трубопроводная обвязка. Электропривод насосов изолирован металлическими трубками. Щитовая управления размещена в отдельном, выгороженном помещении.
2. Расчет критериев пожарной опасности
В помещении обращаются и находятся негорючие вещества и материалы в холодном состоянии, что соответствует необходимому условию отнесения помещения к категории Д.
3. Определение категории помещения
Данное помещение не относится к категориям А, Б, В1 - В4, Г, что позволяет отнести ее к категории Д.
А.42 Расчет критериев взрывопожарной и пожарной опасности и определение категории помещения рассевов техуглерода
1. Исходные данные
1.1 Характеристика помещения.
Длина l = 24 м, ширина b =18 м, высота h = 10 м.
Минимальное расстояние от поверхности пожарной нагрузки до нижнего пояса ферм перекрытия H составляет 8 м.
Расчетная температура воздуха tр = 35 °C – абсолютная максимальная температура воздуха (для района г. Ухты) согласно таблице 2 СНиП 23-01-99* [6].
1.2 Характеристика веществ и материалов, обращающихся (находящихся) в помещении по справочным данным (приложение Г).
Техуглерод гранулированный: твердое горючее вещество, содержание пыли 6 %.
1.3 Характеристика технологического процесса и оборудования.
В помещении, предназначенном для обработки гранулированного технического углерода, размещены рассева ЗРШ-4М (3 шт.), в работе 2 производительностью 15 т/сут (0,17 кг/с); фильтр аспирации (начальная концентрация пыли от рассевов: 117,6 мг/м3), производительностью 960 м3/ч (0,27 м3/с).
Отключение оборудования автоматическое без резервирования, принимается равным 300 с по НПБ 105-03 [1].
Единовременно находящееся количество гранулированного техуглерода в помещении - 1,5 т. Пожарная нагрузка размещена равномерно по площади помещения.
2. Расчет критериев пожарной опасности
За расчетный вариант принимается аварийная разгерметизация воздуховода аспирационной системы рассева при работающем технологическом оборудовании, приводящее к поступлению горючей среды (горючей пыли) в помещение с возможностью возникновения пожара.
2.1 Определение необходимого условия.
а) В помещении обращается горючая пыль, способная образовывать взрывоопасную пылевоздушную смесь, что соответствует необходимому условию отнесения помещения к взрывопожароопасной категории Б.
2.2 Определение достаточного условия отнесения помещения к категории Б.
Рассчитывается избыточное давление взрыва DP, кПа, по формуле (4у):
кПа,
| где Vп | = (24 · 18 · 10) = 4320 м3, |
| rв | = 1,15 кг/м3, при расчетной температуре, принимается по таблице 6.1; |
| m | – масса горючей пыли, поступившей в помещение в результате аварии, кг. |
m= mвз + mав,
где mвз – масса взвихрившейся пыли (mвз) по формуле:
mвз = Kвзmп,
| где Kвз | – доля отложившейся в помещении пыли, способной перейти во взвешенное состояние в результате аварийной ситуации, допускается принимать 0,9 НПБ 105-03 [1], |
| mп | – масса отложившейся в помещении пыли к моменту аварии, определяется по формуле: |
,
| где Kг | – доля горючей пыли в общей массе отложений пыли – 1 (доля органической составляющей пыли); |
| Kу | – коэффициент эффективности пылеуборки, 0,7 (ручная влажная уборка); |
| m1 | – масса пыли, оседающей на труднодоступных для уборки поверхностях в помещении, очистка которых осуществляется только при генеральных пылеуборках. |
m1 = 4,23 · 10-6 · 5 · 720 = 0,015 кг,
| где 4,23·10-6 | – интенсивность пылеотложения в помещении, кг/м2·ч, рассчитывается с учетом эффективности пылеудаления аспирационной системой (95 % принимается по [11]): 117,6 · 0,05 = 5,88 мг/м3; с учетом остаточной витающей пыли в пределах ПДКр.з = 4 мг/м3, за час отложится (5,88 - 4) · 0,27 · 3600 = 1827,36 мг пыли, которая распределится на поверхности пола и оборудования, т.е. 1827,36 : 432 = 4,23 мг/(м2/ч), |
| 5 | – площадь труднодоступных для уборки поверхностей, принимается равной площади оборудования: 1,5 · 0,9 · 3 шт. + 2,5 · 1,5 = 5 (м2), |
| 720 | – период времени между генеральными уборками (раз в месяц), ч, |
| m2 | – масса пыли, оседающей на доступных для уборки поверхностях в помещении, очистка которых осуществляется при текущих пылеуборках. |
m2 = 4,23 · 10-6 · 427 · 8 = 0,014 кг,
| 427 | – площадь доступных для уборки поверхностей (432 - 5), м2; |
| 8 | – период времени между текущими уборками, ч. |
кг,
mвз = 0,9 · 0,04 = 0,036 кг,
| mав | - масса горючей пыли, поступившей в помещение в результате аварии, кг. |
mав = q · T · Kп,
| где q | – производительность оборудования, с которого продолжается поступление технического углерода до момента отключения (0,27 кг/с); |
| T | – время отключения оборудования (300 с); |
| Kп | – коэффициент пыления гранулированного техуглерода, принимается по исходным данным, 0,6. |
mав = 0,27 · 300 · 0,6 = 48,6 кг.
Суммарная масса пыли по аварийной ситуации
m = 0,036 + 48,6 = 48,636 кг.
Определяется избыточное давление взрыва:
кПа.
3. Определение категории помещения
Результаты расчетов критериев пожарной опасности показывают, что выполняются необходимое условие (наличие горючей пыли) и достаточное (величина избыточного давления превышает 5 кПа), что позволяет отнести данное помещение к категории Б.
А.43 Расчет критериев взрывопожарной и пожарной опасности и определение категории помещения насосной УСК
1. Исходные данные
1.1 Характеристика помещения.
Длина l = 22 м, ширина b = 12 м, высота h = 7,5 м.
Расчетная температура воздуха tр = 34 °C – абсолютная максимальная температура воздуха (для района г. Сургута) согласно таблице 2 СНиП 23-01-99* [6].
1.2 Характеристика веществ и материалов, обращающихся (находящихся) в помещении, по справочным данным (приложение Г).
ШФЛУ (по пропану C3H8 – 35 %): горючий газ (ГГ).
Стабильный конденсат: легковоспламеняющаяся жидкость (ЛВЖ).
Дизельное топливо «зимнее»: легковоспламеняющаяся жидкость (ЛВЖ).
Масло марки МС-8П: горючая жидкость (ГЖ).
1.3 Характеристика технологического процесса и оборудования.
В помещении осуществляется перекачка жидких технологических сред с использованием следующего оборудования: 4 насоса перекачки стабильного конденсата, трубопровод: входящий – диаметром 300 мм, длиной 2 м, выходящий – диаметром 300 мм, длиной 2 м, давлением 2,5 кг/см2, производительностью 560 м3/ч (0,16 м3/с); 4 насоса перекачки ШФЛУ, трубопровод: входящий – диаметром 300 мм, длиной 1,5 м, выходящий – диаметром 300 мм, длиной 2 м, давлением 9 кг/см2 (882 кПа), производительностью 560 м3/ч; 2 насоса перекачки дизельного топлива; емкость с маслом объемом 1,5 м3.
Отключение автоматическое без резервирования, расчетное время отключения согласно НПБ 105-03 [1] принимается равным 120 с.
2. Расчет критериев взрывопожарной опасности
2.1 Определение необходимого условия.
В помещении обращается ГГ, способный образовывать взрывоопасные газовоздушные смеси, что соответствует необходимому условию отнесения помещения к взрывопожароопасной категории А.
За расчетный вариант принимается аварийная разгерметизация выходящего от насоса трубопровода с ШФЛУ, приводящая к выбросу горючей среды в помещение с возможностью возникновения пожара. Расчет проводится по наиболее взрывоопасному компоненту – пропану.
2.2 Определение достаточного условия отнесения помещения к категории А.
Рассчитывается избыточное давление взрыва DP, кПа, по формуле (1гу) для пропана:
,
| где Vп | = (22 · 12 · 7,5) = 1980 м3; |
| Vг | – объем пропана, поступившего в помещение, м3: |
Vг = (V1т + V2т),
где V1т – объем газа, вышедшего из трубопровода до его отключения, л;
V1т = 0,16 · 120 = 48 м3,
V2т – объем газа, вышедшего из трубопровода после его отключения, л;
V2т= 0,01 · 3,14 · 882 · (0,1432 · 2) = 1,13 м3,
Vг = (48 + 1,13) = 49,13 м3.
кПа.
3. Определение категории помещения
Результаты расчетов критериев взрывопожарной опасности показывают, что при расчетном варианте аварии выполняются необходимое (наличие в помещении ГГ) и достаточное (расчетное избыточное давление при сгорании газовоздушной смеси превышает 5 кПа) условия, позволяющие отнести данное помещение к категории А.
А.44 Расчет критериев взрывопожарной и пожарной опасности и определение категории помещения печей УСК
1. Исходные данные
1.1 Характеристика помещения.
Длина l = 18 м, ширина b = 18 м, высота h = 8,5 м.
Расчетная температура воздуха tр = 34 °C – абсолютная максимальная температура воздуха (для района г. Сургута) согласно таблице 2 СНиП 23-01-99* [6].
1.2 Характеристика веществ и материалов, обращающихся (находящихся) в помещении по справочным данным (приложение Г).
Конденсат (гексана 53 %): легковоспламеняющаяся жидкость (ЛВЖ).
1.3 Характеристика технологического процесса и оборудования.
В помещении производится нагрев трубопровода с конденсатом в 2 печах, производительностью 140 м3/ч (0,04 м3/с) с входящим трубопроводом диаметром 150 мм, длиной 15 м.
Отключение автоматическое без резервирования, расчетное время отключения принимается согласно п. 7 НПБ 105-03 [1] равным 120 с.
2 Расчет критериев взрывопожарной опасности
2.1 Определение необходимого условия.
В помещении находится ЛВЖ с температурой вспышки менее 28 °C, способная образовывать взрывоопасную паровоздушную смесь, что соответствует необходимому условию отнесения помещения к взрывоопасной категории А.
За расчетный вариант принимается аварийная разгерметизация входящего трубопровода, приводящая к истечению горючей среды (гексана) в помещение с возможностью возникновения пожара.
2.2 Определение достаточного условия отнесения помещения к категории А.
Рассчитывается избыточное давление взрыва DP, кПа, по сокращенной формуле (1у) для гексана:
,
где Vп = (18 · 18 · 8,5) = 2754 м3;
кг/м3,
mп – масса паров гексана, вышедших в результате расчетной аварии в помещение, кг;
mп = W · Fи · T,
кг/(с·м2),
Pн – давление насыщенных паров при расчетной температуре tр, кПа;
c – объемная доля горючей жидкости в смеси (c = 0,53);
кПа,
W = 10-6 · 1 ·
· 15,6 = 1,44 · 10-4 кг/(с·м2),
Fи – площадь испарения, м2; определяется по п. 7 НПБ 105-03 [1] из расчета, что 1 л жидкости разливается на 1 м2.
Рассчитывается объем гексана, поступившего в помещение в результате расчетной аварии, Vав, м3,
Vав = q · T + p · r2 · L = 0,04 · 120 + 3,14 · 0,0752 · 15 = 5,06 м3.
Вычисленная площадь разлива составляет 5060 м2. За площадь испарения принимается площадь помещения (324 м2), так как она меньше вычисленной.
m = 1,44 · 10-4 · 324 · 3600 = 168 кг.
кПа.
3. Определение категории помещения
Результаты расчетов критериев взрывопожарной опасности показывают, что при расчетном варианте аварии достигаются необходимое (наличие ЛВЖ с температурой вспышки менее 28°C) и достаточное (расчетное избыточное давление при сгорании паровоздушной смеси превышает 5 кПа) условия, позволяющие отнести данное помещение к категории А.
А.45 Расчет критериев взрывопожарной и пожарной опасности и определение категории помещения манифольдной УСК
1. Исходные данные
1.1 Характеристика помещения.
Длина l = 36 м, ширина b = 12 м, высота h = 7,5 м.
Расчетная температура воздуха tр = 34 °C – абсолютная максимальная температура воздуха (для района г. Сургута) согласно таблице 2 СНиП 23-01-99* [6].
1.2 Характеристика веществ и материалов, обращающихся (находящихся) в помещении, по справочным данным (приложение Г).
Пропан-бутановая газовая смесь (C3H8 – 50 %, C4H10 – 50 %): горючий газ (ГГ).
ШФЛУ (пропан C3H8- 35 %): горючий газ (ГГ).
Стабильный конденсат: легковоспламеняющаяся жидкость (ЛВЖ).
Диэтанизированный конденсат: легковоспламеняющаяся жидкость (ЛВЖ).
1.3 Характеристика технологического процесса и оборудования.
В помещении манифольдной (входных трубопроводов) проходят: 2 трубопровода СК диаметром 200 мм, длиной 4 м + диаметром 150 мм, длиной 4 м, давлением 2,5 кг/см2; 2 трубопровода ДК диаметром 150 мм, длиной 10 м, давлением 2,5 кг/см2; 2 трубопровода пропан-бутановой смеси диаметром 150 мм, длиной 15 м, давлением 2,5 кг/см2 (245 кПа), производительностью 560 м3/ч (0,16 м3/с); 4 трубопровода ШФЛУ диаметром 150 мм, длиной 6 м, давлением 9 кг/см2; 4 трубопровода СК диаметром 150 мм, длиной 6 м, давлением 13 кг/см2, производительностью 108 м3/ч.
Отключение автоматическое без резервирования, расчетное время отключения согласно НПБ 105-03 [1] принимается равным 120 с.
2 Расчет критериев взрывопожарной опасности
2.1 Определение необходимого условия.
В помещении обращается ГГ, способный образовывать взрывоопасные газовоздушные смеси, что отвечает необходимому условию отнесения помещения к взрывопожароопасной категории А.
За расчетный вариант принимается аварийная разгерметизация трубопровода, приводящая к выбросу горючей среды в помещение с возможностью возникновения пожара. Расчет проводится по наиболее взрывоопасному компоненту – пропану.
2.2 Определение достаточного условия отнесения помещения к категории А.
Рассчитывается избыточное давление взрыва DP, кПа, по формуле (1гу) для пропана:
,
| где Vп | = (36 · 12 · 7,5) = 3240 м3; |
| Vт | – объем пропана, поступившего в помещение, м3: |
Vг = V1т + V2т,
где V1т – объем газа, вышедшего из трубопровода до его отключения, м3;
V1т = q · T = 0,16 · 120 = 19,2 м3,
V2т – объем газа, вышедшего из трубопровода после его отключения, м3;
V2т = 0,01 · p · P · (r2 · L) = 0,01 · 3,14 · 245 · (0,0752 · 15) = 0,65 м3,
Vг = 19,2 + 0,65 = 19,85 м3.
кПа.
3 Определение категории помещения
Результаты расчетов критериев взрывопожарной опасности показывают, что при расчетном варианте аварии выполняются необходимое (наличие в помещении ГГ) и достаточное (расчетное избыточное давление при сгорании газовоздушной смеси превышает 5 кПа) условия, позволяющие отнести данное помещение к категории А.
А.46 Расчет критериев взрывопожарной и пожарной опасности и определение категории помещения конденсатной насосной БИИУПП
1. Исходные данные
1.1 Характеристика помещения.
Длина l = 24 м, ширина b = 12 м, высота h = 6 м.
Расчетная температура воздуха tр = 34 °C – абсолютная максимальная температура воздуха (для района г. Сургута) согласно таблице 2 СНиП 23-01-99* [6].
1.2 Характеристика веществ и материалов, обращающихся (находящихся) в помещении, по справочным данным (приложение Г).
Пентан (C5H12): легковоспламеняющаяся жидкость (ЛВЖ).
Дизельное топливо «зимнее»: легковоспламеняющаяся жидкость (ЛВЖ).
Масло: горючая жидкость (ГЖ).
1.3 Характеристика технологического процесса и оборудования.
В помещении происходит перекачка углеводородов с использованием следующего оборудования: 2 насоса по перекачке пентана производительность 60 м3/ч (0,017 м3/с) (каждый) с выходящим трубопроводом - диаметром 100 мм, длиной 2,5 м, 2 насоса по перекачке ДТ производительность 27 м3/ч (0,0075 м3/с) (каждый), 2 насоса по перекачке на факел производительность 45 м3/ч (каждый), 6 насосов по перекачке воды, емкость с маслом объемом 1,5 м3.
Отключение автоматическое без резервирования, расчетное время отключения согласно НПБ 105-03 [1] принимается равным 120 с.
2 Расчет критериев взрывопожарной опасности
2.1 Определение необходимого условия.
В помещении обращается ЛВЖ с температурой вспышки менее 28 °C, способная образовывать взрывоопасные паровоздушные смеси, что отвечает необходимому условию отнесения помещения к взрывопожароопасной категории А.
За расчетный вариант принимается аварийная разгерметизация трубопровода, приводящая к выбросу горючей среды (паров ЛВЖ) в помещение с возможностью возникновения пожара. Расчет проводится по наиболее взрывоопасному компоненту – пентану согласно ряду ЛВЖ (см. 6.4.3).
2.2 Определение достаточного условия отнесения помещения к категории А.
Рассчитывается избыточное давление взрыва DP, кПа, по формуле (1у) для пентана:
,
где Vп = (24 · 12 · 6) = 1728 м3;
кг/м3;
m – масса паров пентана, поступивших в помещение в результате расчетной аварии, кг:
m = W · Fи · T,
,
где h – коэффициент, принимается равным 1 (по таблице 3 НПБ 105-03 [1]);
кПа,
W = 10-6 · 1 ·
· 93,3 = 7,9 · 10-4, кг/с·м2,
Fи – площадь испарения, м2; определяется по п. 7 НПБ 105-03 [1] из расчета, что 1 л жидкости разливается на 1 м2.
Рассчитывается объем разлившейся жидкости, Vав, м3,
Vав = V1т + V2т,
где V1т – объем пентана, вышедший из трубопровода до его отключения, м3;
V1т = q · T = 0,017 · 120 = 2,04 м3,
V2т – объем пентана, вышедший из трубопровода после его отключения, м3;
V2т = p · r2 · L = 3,14 · 0,052 · 2,5 = 0,02 м3,
Vав = 5,1 + 0,02 = 5,12 м3.
Вычисленная площадь испарения – 5120 м2. За площадь испарения принимается площадь помещения (288 м2), так как она меньше вычисленной.
m = 7,9 · 10-4 · 288 · 3600 = 819 кг.
кПа.
3 Определение категории помещения
Результаты расчетов критериев взрывопожарной опасности показывают, что при расчетном варианте аварии выполняются необходимое (наличие в помещении ЛВЖ с температурой вспышки менее 28 °C) и достаточное (расчетное избыточное давление при сгорании газовоздушной смеси превышает 5 кПа) условия, позволяющие отнести данное помещение к категории А.
А.47 Расчет критериев взрывопожарной и пожарной опасности и определение категории помещения насосной пропан-бутановой фракции БИИУПП
1. Исходные данные
1.1 Характеристика помещения.
Длина l = 24 м, ширина b = 9 м, высота h = 1 м.
Расчетная температура воздуха tр = 34 °C – абсолютная максимальная температура воздуха (для района г. Сургута) согласно таблице 2 СНиП 23-01-99* [6].
1.2 Характеристика веществ и материалов, обращающихся (находящихся) в помещении, по справочным данным (приложение Г).
Пропан-бутановая фракция (по пропану): сжиженный углеводородный газ (СУГ).
Объем газа с 1 л сжиженного пропана: 0,269 м3.
1.3 Характеристика технологического процесса и оборудования.
В помещении происходит перекачка сжиженной пропан-бутановой фракции и находятся: 3 насоса по перекачке пропан-бутановой фракции производительность 120 м3/ч (0,033 м3/с) с трубопроводом выходящим – диаметром 150 мм, длиной 3 м (на каждый насос).
Отключение ручное, расчетное время отключения согласно НПБ 105-03 [1] принимается равным 300 с.
2 Расчет критериев взрывопожарной опасности
2.1 Определение необходимого условия.
В помещении обращается СУГ, переходящий при испарении в ГГ, способный образовывать взрывоопасные газовоздушные смеси, что отвечает необходимому условию отнесения помещения к взрывопожароопасной категории А.
За расчетный вариант принимается аварийная разгерметизация выходящего трубопровода, приводящая к выбросу горючей среды (ГГ) в помещение с возможностью возникновения пожара. Расчет проводится по наиболее взрывоопасному компоненту – пропану.
2.2 Определение достаточного условия отнесения помещения к категории А.
Рассчитывается избыточное давление взрыва DP, кПа, по формуле (1гу) для пропана:
,
| где Vп | = (24 · 9 · 7) = 1512 м3; |
| Vг | – объем газообразного пропана, поступившего из насоса до его отключения, м3: |
Vг = (Vа + Vт) ·Kг,
| где Kг | – объем паров с 1 л сжиженного газа, м3, равный 0,269 для пропана [10]; |
| Vа | – объем пропана, вышедшего из насоса до его отключения, л; |
Vа = 0,033 · 300 · 103 = 9900 л,
Vт – объем пропана, вышедшего из трубопровода после отключения, л;
Vт = 3,14 · 0,0752 · 3 · 103 = 53 л,
Vг = (9900 + 53) · 0,269 = 2677,4 м3.
кПа.
3 Определение категории помещения
Результаты расчетов критериев взрывопожарной опасности показывают, что при расчетном варианте аварии выполняются необходимое (наличие в помещении ГГ) и достаточное (расчетное избыточное давление при сгорании газовоздушной смеси превышает 5 кПа) условия, позволяющие отнести данное помещение к категории А.
А.48 Расчет критериев взрывопожарной и пожарной опасности и определение категории помещения насосной секции гидроочистки КФ установки гидроочистки керосина и дизельного топлива КОМТ
1 Исходные данные
1.1 Характеристика помещения.
Длина l = 30 м, ширина b = 12 м, высота h = 7 м.
Расчетная температура воздуха tр = 34 °C – абсолютная максимальная температура воздуха (для района г. Сургута) согласно таблице 2 СНиП 23-01-99* [6].
Скорость движения воздушного потока в помещении в теплый период года 0,2 м/с.
1.2 Характеристика веществ и материалов, обращающихся (находящихся) в помещении, по справочным данным (приложение Г).
Бензин, гидрогенизат (по бензину), керосин, дизтопливо «З»: легковоспламеняющиеся жидкости (ЛВЖ).
Третбутилполисульфит: негорючее вещество.
1.3 Характеристика технологического процесса и оборудования.
В помещении происходит перекачка бензина, керосина и дизельного топлива с использованием следующего оборудования: насос для перекачки воды; 2 насоса по перекачке из аварийной емкости бензина, керосина, дизтоплива производительностью 10 м3/ч; 2 сырьевых насоса керосина производительностью 129 м3/ч; 2 насоса откачки некондиции керосиновой фракции (КФ) производительностью 114 м3/ч; 2 насоса гидрогенизата производительностью 308 м3/ч с трубопроводами: входящий – длиной 1,5 м, диаметром 350 мм, выходящий – длиной 7 м, диаметром 300 мм; 2 насоса подачи орошения в сырьевую колонну бензина производительностью 28,5 м3/ч с трубопроводами: входящий – длиной 1 м, диаметром 150 мм, выходящий – длиной 5 м, диаметром 89 мм; насос подачи сероорганики третбутилполисульфит производительностью 500 л/ч; насос подачи сероорганики третбутилполисульфит производительностью 769 л/ч; емкость сероорганики объемом 5 м3, третбутилполисульфит давлением 11,5 кг/см2, производительностью 769 л/ч.
Отключение ручное, расчетное время отключения согласно НПБ 105-03 [1] принимается равным 300 с.
2 Расчет критериев взрывопожарной опасности
2.1 Определение необходимого условия.
В помещении обращается ЛВЖ с температурой вспышки менее 28 °C, способная образовывать взрывоопасные паровоздушные смеси, что отвечает необходимому условию отнесения помещения к взрывопожароопасной категории А.
За расчетный вариант принимается аварийная разгерметизация насоса по перекачке гидрогенизата, приводящая к выбросу горючей среды (ЛВЖ) в помещение с возможностью возникновения пожара. Расчет проводится по наиболее взрывоопасному компоненту – бензину согласно ряду ЛВЖ (см. 6.4.3).
2.2 Определение достаточного условия отнесения помещения к категории А.
Рассчитывается избыточное давление взрыва DP, кПа, по сокращенной формуле (4у) для бензина:
,
| где Vп | = (30 · 12 · 7) = 2520 м3; |
| m | – масса паров бензина, поступивших в помещение в результате аварии, кг: |
m = W · Fи · T,
W = 10-6 · h ·
· Pн,
h – коэффициент, принимается равным 2,4 по таблице 3 НПБ 105-03 [1] для исходных данных;
кПа,
W = 10-6 · 2,4 ·
· 36,3 = 8,5·10-4 кг/(с·м2),
Fи – площадь испарения, м2; определяется по п. 7 НПБ 105-03 [1] из расчета, что 1 л жидкости разливается на 1 м2.
Рассчитывается объем бензина, разлившегося в результате расчетной аварии
Vав = Vа + Vт,
где Vа – объем бензина, вышедшего из насоса до его отключения, м3;
Vа = q · T = 0,085 · 300 = 25,5 м3,
Vт – объем бензина, вышедшего из трубопровода, м3;
Vт = p· r2 · L = 3,14 · 0,0752 · 7 = 0,123 м3;
Vав = 25,5 + 0,123 = 25,623 м3.
Вычисленная площадь разлива составляет 25623 м2. За площадь испарения принимается площадь помещения (360 м2), так как она меньше вычисленной.
m = 8,5 · 10-4 · 360 · 3600 = 1101,6 кг.
кПа.
3 Определение категории помещения
Результаты расчетов критериев взрывопожарной опасности показывают, что при расчетном варианте аварии выполняются необходимое (наличие в помещении ЛВЖ с температурой вспышки менее 28 °C) и достаточное (расчетное избыточное давление при сгорании паровоздушной смеси превышает 5 кПа) условия, позволяющие отнести данное помещение к категории А.
А.49 Расчет критериев взрывопожарной и пожарной опасности и определение категории помещения холодной насосной секции гидроочистки и депарафинизации КОМТ
1 Исходные данные
1.1 Характеристика помещения.
Длина l = 30 м, ширина b = 12 м, высота h = 7 м.
Расчетная температура воздуха tр = 34 °C – абсолютная максимальная температура воздуха (для района г. Сургута) согласно таблице 2 СНиП 23-01-99* [6].
Скорость воздушного потока в помещении – 0,2 м/с.
1.2 Характеристика веществ и материалов, обращающихся (находящихся) в помещении, по справочным данным (приложение Г).
Бензиновая фракция (БФ): легковоспламеняющаяся жидкость (ЛВЖ).
Дизельная фракция (ДФ): горючая жидкость (ГЖ):
Ингибитор коррозии: марки Д-4-3: легковоспламеняющаяся жидкость (ЛВЖ).
Сероводородная вода (содержание сероводорода 15 %): горючая жидкость (ГЖ).
Содовый раствор – негорючая жидкость.
1.3 Характеристика технологического процесса и оборудования.
В помещении, предназначенном для перекачки БФ, ДФ и жидких реагентов, участвующих в процессе гидроочистки и депарафинизации, размещено следующее оборудование: 2 насоса циркуляции ингибитора коррозии; 2 насоса перекачки содового раствора; 2 насоса подачи БФ в колонну производительностью 47 м3/ч (0,013 м3/с), с трубопроводами: входящим – диаметром 150 мм, длиной 1 м, выходящим – диаметром 100 мм, длиной 1,5 м; 2 насоса подачи сырья ДФ на установку производительностью 92 м3/час; 5 насосов подачи ингибитора коррозии производительностью 16 м3/ч; 2 насоса приготовления содового раствора производительностью 140 м3/ч; 2 насоса откачки БФ с установки производительностью 21 м3/ч; 2 насоса откачки сероводородной воды (сероводорода 15 %) производительностью 2,7 м3/ч.
Отключение ручное, расчетное время отключения согласно НПБ 105-03 [1] принимается равным 300 с.
2 Расчет критериев взрывопожарной опасности
2.1 Определение необходимого условия.
В помещении обращается ЛВЖ с температурой вспышки менее 28 °C, способная образовывать взрывоопасные паровоздушные смеси, что отвечает необходимому условию отнесения помещения к взрывопожароопасной категории А.
За расчетный вариант принимается аварийная разгерметизация насоса по перекачке бензиновой фракции, приводящая к выбросу горючей среды (ЛВЖ) в помещение с возможностью возникновения пожара. Расчет проводится по наиболее взрывоопасному компоненту - бензину согласно ряду ЛВЖ (см. 6.4.3).
2.2 Определение достаточного условия отнесения помещения к категории А.
Рассчитывается избыточное давление взрыва DP, кПа, по сокращенной формуле (4у) для бензина:
,
| где Vп | = (30 · 12 · 7) = 2520 м3; |
| m | – масса паров бензина, поступивших в помещение в результате аварии, кг: |
m = W · Fи · T.
W = 10-6 · h ·
· Pн,
h – коэффициент, принимается равным 2,4 по таблице 3 НПБ 105-03 [1] для исходных данных;
кПа,
W = 10-6 · 2,4 ·
· 31,623 = 7,410-4 кг/(с·м2),
Fи – площадь испарения, м2; определяется по п. 7 НПБ 105-03 [1] из расчета, что 1 л жидкости разливается на 1 м2.
Рассчитывается объем бензина, разлившегося в результате расчетной аварии, Vав, м3:
Vав = Vа + Vт,
где Vа – объем бензина, вышедшего из насоса до его отключения, м3;
Vа = q · T = 0,013 · 300 = 3,9 м3,
Vт – объем бензина, вышедшего из трубопровода, м3;
Vт = p · r2 · L = 3,14 · 0,052 · 1,5 = 0,01 м3;
Vав = 3,9 + 0,01 = 3,91 м3.
Вычисленная площадь разлива составляет 3910 м2. За площадь испарения принимается площадь помещения (360 м2), так как она меньше вычисленной.
m = 7,4 · 10-4 · 360 · 3600 = 959 кг.
кг/м3,
кПа.
3 Определение категории помещения
Результаты расчетов критериев взрывопожарной опасности показывают, что при расчетном варианте аварии выполняются необходимое (наличие в помещении ЛВЖ с температурой вспышки менее 28 °C) и достаточное (расчетное избыточное давление при сгорании паровоздушной смеси превышает 5 кПа) условия, позволяющие отнести данное помещение к категории А.
А.50 Расчет критериев взрывопожарной и пожарной опасности и определение категории помещения горячей насосной секции гидроочистки и депарафинизации КОМТ
1. Исходные данные
1.1 Характеристика помещения.
Длина l = 6 м, ширина b =12 м, высота h = 7 м.
Расчетная температура воздуха tр = 34 °C – абсолютная максимальная температура воздуха (для района г. Сургута) согласно таблице 2 СНиП 23-01-99* [6].
Скорость воздушного потока в помещении в теплый период года – 0,5 м/с.
1.2 Характеристика веществ и материалов, обращающихся (находящихся) в помещении, по справочным данным (приложение Г).
Дизтопливо «З»: легковоспламеняющаяся жидкость (ЛВЖ).
1.3 Характеристика технологического процесса и оборудования.
В помещении насосной, предназначенном для осуществления горячей перекачки дизтоплива, размещено следующее оборудование: 2 насоса откачки стабильного гидрогенизата (ДФ) производительностью 92,3 м3/ч; 2 насоса подачи горячей струи (температура 300 °C) в колонну (ДФ) производительностью 110 м3/ч (0,03 м3/с), давлением 12 кг/см2 (1176 кПа), с трубопроводами: входящим – диаметром 200 мм, длиной 1,5 м и выходящим – диаметром 200 мм, длиной 4,5 м.
Отключение автоматическое без резервирования, расчетное время отключения принимается согласно п. 7 [1] равным 120 с.
2 Расчет критериев взрывопожарной опасности
2.1 Определение необходимого условия.
В помещении обращается ЛВЖ с температурой вспышки более 28 °C, способная образовывать взрывоопасные паровоздушные смеси, что отвечает необходимому условию отнесения помещения к взрывопожароопасной категории Б.
За расчетный вариант принимается аварийная разгерметизация насоса горячей перекачки ДФ, приводящая к выбросу горючей среды (пара ЛВЖ) в помещение с возможностью возникновения пожара.
2.2 Определение достаточного условия отнесения помещения к категории Б.
Рассчитывается избыточное давление взрыва DP, кПа, по сокращенной формуле (1у) для дизтоплива «З»:
,
где Vп = (6 · 12 · 7) = 504 м3;
кг/м3,
m – масса паров дизтоплива, поступивших в результате расчетной аварии в помещение, кг,
m= V · rп,
V= Vа + Vт,
где Vа – объем перегретой под давлением 12 кг/см2 ДФ, вышедшей в результате расчетной аварии в виде пара из насоса до его отключения, м3;
Vа = q · T = 0,03 · 120 = 3,6 м3;
где Vт – объем перегретой под давлением 12 кг/см2 ДФ, вышедшей в результате расчетной аварии в виде пара из трубопровода после его отключения, м3;
Vт = 0,01 · p · P · r2 · L = 0,01 · 3,14 · 1176 · 0,12 · 4,5 = 1,7 м3;
V = 3,6 + 1,7 = 4,3 м3,
m = 4,3 · 3,65 = 15,7 кг,
кПа.
3 Определение категории помещения
Результаты расчетов критериев взрывопожарной опасности показывают, что при расчетном варианте аварии выполняются необходимое (наличие в помещении ЛВЖ с температурой вспышки более 28 °C) и достаточное (расчетное избыточное давление при сгорании паровоздушной смеси превышает 5 кПа) условия, позволяющие отнести данное помещение к категории Б.
А.51 Расчет критериев взрывопожарной и пожарной опасности и определение категории помещения узла сульфидирования КОМТ
1 Исходные данные
1.1 Характеристика помещения.
Длина l = 6 м, ширина b = 66 м, высота h = 6,6 м.
1.2 Характеристика веществ и материалов, обращающихся (находящихся) в помещении, по справочным данным (приложение Г).
Третбутилполисульфит: негорючее вещество в холодном состоянии.
Карболит, ПВХ: твердые горючие не пылящие материалы (в составе щита управления).
1.3 Характеристика технологического процесса и оборудования.
В помещении осуществляется приготовление и подача жидкого негорючего реагента (водного раствора третбутилполисульфита) для дальнейшей обработки с использованием следующего оборудования: емкость сероорганического соединения объемом 4 м3 с третбутилполисульфитом; насос подачи сероорганики, щит управления площадью 0,12 м2.
Суммарная масса горючих материалов: карболит – 1 кг; ПВХ – 0,5 кг.
Площадь размещения пожарной нагрузки S = 0,1 м2.
2 Расчет критериев пожарной опасности
2.1 Определение необходимых условий.
а) В помещении находятся твердые не пылящие горючие материалы, что соответствует необходимому условию отнесения помещения к одной из пожароопасных категорий (от В1 до В4).
б) Для конкретизации категории рассчитываются: пожарная нагрузка Q, МДж и удельная пожарная нагрузка g, МДж/м2.
,
Q = (1 · 26,9) + (0,5 · 20,7) = 37,25 МДж.
.
За площадь размещения пожарной нагрузки принимается 10 м2 по п. 25 НПБ 105-03 [1].
МДж/м2.
Рассчитанная удельная пожарная нагрузка соответствует категории В4 (1 - 180 МДж/м2) по таблице 4 НПБ 105-03 [1].
2.2 Определение достаточного условия отнесения помещения к категории В4.
Способ размещения пожарной нагрузки соответствует нормируемому п. 25 НПБ 105-03 [1].
3 Определение категории помещения
Результаты расчетов критериев пожарной опасности показывают, что выполняются необходимое (рассчитанная удельная пожарная нагрузка соответствует категории В4) и достаточное (способ размещения пожарной нагрузки в помещении) условия, позволяющие отнести данное помещение к категории В4.
А.52 Расчет критериев взрывопожарной и пожарной опасности и определение категории помещения газовой компрессорной КОМТ
1 Исходные данные
1.1 Характеристика помещения.
Длина l = 72 м, ширина b = 18 м, высота h = 16,5 м.
Расчетная температура воздуха tр = 34 °C – абсолютная максимальная температура воздуха (для района г. Сургута) согласно таблице 2 СНиП 23-01-99* [6].
1.2 Характеристика веществ и материалов, обращающихся (находящихся) в помещении, по справочным данным (приложение Г).
Водородосодержащий газ (ВСГ) – 90 % водорода: горючий газ (ГГ).
1.3 Характеристика технологического процесса и оборудования.
В помещении расположено следующее оборудование: 2 компрессора циркуляции ВСГ производительностью 25 тыс. м3/ч (6,94 м3/с), с трубопроводами: входящим – диаметром 350 мм, длиной 10 м, давлением 24 кг/см2, выходящим – диаметром 350 мм, длиной 10 м, давлением 31 кг/см2; 2 компрессора поршневой циркуляции гидроочистки ВСГ производительностью 25 тыс. м3/ч (6,94 м3/с), с трубопроводами: входящим – диаметром 200 мм, длиной 2 м + диаметром 150 мм, длиной 7 м, давлением 35 кг/см2, выходящим - диаметром 200 мм, длиной 2 м + диаметром 150 мм, длиной 7 м, давлением 49 кг/см2; компрессор поршневой дожимной ВСГ производительностью 29180 м3/ч, входящим давлением 25 кг/см2, выходящим давлением 37 кг/см2; 2 компрессора поршневых циркуляционных ВСГ производительностью 43770 м3/ч (на два), входящим давлением 55 кг/см2, выходящим давлением 47 кг/см2; по 2 буферные емкости объемом 1,5 м3 на каждый поршневой компрессор, остальное как на компрессоре.
Отключение ручное, расчетное время отключения принимается согласно п. 7 НПБ 105-03 [1] равным 300 с.
2 Расчет критериев взрывопожарной опасности
2.1 Определение необходимого условия.
В помещении обращается ГГ – водород, способный образовывать взрывоопасные газовоздушные смеси, что отвечает необходимому условию отнесения помещения к взрывопожароопасной категории А.
За расчетный вариант принимается аварийная разгерметизация компрессора циркуляции ВСГ, приводящая к выбросу горючей среды (ГГ) в помещение с возможностью возникновения пожара.
2.2 Определение достаточного условия отнесения помещения к категории А.
Рассчитывается избыточное давление взрыва DP, кПа, по сокращенной формуле (1гу) для водорода:
,
| где Vп | = (72 · 18 · 16,5) = 21384 м3; |
| Vг | – объем газа, поступившего в результате аварийной ситуации, м3: |
Vг = Vа + Vт,
где Vа – объем газа, вышедшего из компрессора до его отключения, м3;
Vа = q · T = 6,94 · 300 = 2082 м3,
Vт – объем газа, вышедшего из трубопровода после его отключения, м3;
Vт = 0,01 p ·P · (r2 · L) = 0,01 · 3,14 · 3038 · (0,1752 · 10) = 29,2 м3,
Vг = 2082 + 29,2 = 2111,2 м3,
кПа.
3 Определение категории помещения
Результаты расчетов критериев взрывопожарной опасности показывают, что при расчетном варианте аварии выполняются необходимое (наличие в помещении ГГ) и достаточное (расчетное избыточное давление при сгорании газовоздушной смеси превышает 5 кПа) условия, позволяющие отнести данное помещение к категории А.
А.53 Расчет критериев взрывопожарной и пожарной опасности и определение категории помещения компрессорной опытно-промышленной установки каталитического риформинга «Петрофак»
1 Исходные данные
1.1 Характеристика помещения.
Длина l = 10,5 м, ширина b = 12 м, высота h = 8,2 м.
Расчетная температура воздуха tр = 34 °C – абсолютная максимальная температура воздуха (для района г. Сургута) согласно таблице 2 СНиП 23-01-99* [6].
1.2 Характеристика веществ и материалов, обращающихся (находящихся) в помещении по справочным данным (приложение Г).
Водородосодержащий газ (ВСГ – 90 % водорода: горючий газ (ГГ).
1.3 Характеристика технологического процесса и оборудования.
В помещении производится компримирование водородсодержащего газа с использованием следующего оборудования: насос циркуляции нейтрализующего раствора; циркуляционный компрессор риформинга производительностью 6212 м3/ч (1,73 м3/с), с трубопроводами: входящим – диаметром 150 мм, длиной 1 м, давлением 22,4 кг/см2, выходящим – диаметром 150 мм, длиной 1 м, давлением 27 кг/см2; циркуляционный компрессор риформинга ВСГ, производительностью 6212 м3/ч (1,73 м3/с), с трубопроводами: входящим – диаметром 150 мм, длиной 1 м, давлением 18 кг/см2, выходящим – диаметром 150 мм, длиной 1 м, давлением 22,4 м2; компрессор дожимной; смесительный бак нейтрализатора объемом 3,3 м3; сепаратор объемом 0,07 м3.
Отключение ручное, расчетное время отключения принимается согласно п. 7 НПБ 105-03 [1] равным 300 с.
2 Расчет критериев взрывопожарной опасности
2.1 Определение необходимого условия.
В помещении обращается ГГ (ВСГ), способный образовывать взрывоопасные газовоздушные смеси, что отвечает необходимому условию отнесения помещения к взрывопожароопасной категории А.
За расчетный вариант принимается аварийная разгерметизация выходящего трубопровода циркуляционного компрессора, приводящая к выбросу горючей среды (водорода) в помещение с возможностью возникновения пожара.
2.2 Определение достаточного условия отнесения помещения к категории А.
Рассчитывается избыточное давление взрыва DP, кПа, по сокращенной формуле (1гу) для водорода:
,
| где Vп | = (10,5 · 12 · 8,2) = 1033,2 м3; |
| Vг | – объем газа, поступившего в результате аварийной ситуации, м3: |
Vг = Vа + Vт,
где Vа – объем газа, вышедшего из компрессора до его отключения, м3;
Vа = q · T = 1,73 · 300 = 519 м3,
Vт – объем газа, вышедшего из трубопровода после его отключения, м3;
Vт = 0,01 · p · P · (r2 · L) = 0,01 · 3,14 · 2647,8 · (0,0752 · 1) = 0,5 м3,
Vг = 519 + 0,5 = 519,5 м3,
кПа.
3 Определение категории помещения
Результаты расчетов критериев взрывопожарной опасности показывают, что при расчетном варианте аварии выполняются необходимое (наличие в помещении ГГ) и достаточное (расчетное избыточное давление при сгорании газовоздушной смеси превышает 5 кПа) условия для отнесения данного помещения к категории А.
А.54 Расчет критериев взрывопожарной и пожарной опасности и определение категории помещения водородной компрессорной
1 Исходные данные
1.1 Характеристика помещения.
Длина l = 12 м, ширина b = 12 м, высота h = 9 м.
Расчетная температура воздуха tр = 34 °C – абсолютная максимальная температура воздуха (для района г. Сургута) согласно таблице 2 СНиП 23-01-99* [6].
1.2 Характеристика веществ и материалов, обращающихся (находящихся) в помещении, по справочным данным (приложение Г).
Водородосодержащий газ (ВСГ): – 90 % водорода: горючий газ.
1.3 Характеристика технологического процесса и оборудования.
В помещении производится компримирование водорода для последующей закачки в газгольдеры и расположено следующее оборудование: емкость буферная объемом 6,3 м3, ВСГ! производительностью 720 м3/ч (0,2 м3/с), с трубопроводами: входящим – диаметром 219 мм, длиной 3 м, выходящим – диаметром 219 мм, длиной 9 м, давлением 0,03 кг/см2; емкость буферная объемом 6,3 м3, ВСГ, производительностью 720 м3/ч (0,2 м3/с), с трубопроводами: входящим – диаметром 57 мм, длиной 1 м, выходящим – диаметром 89 мм, длиной 0,5 м, давлением 64 кг/см2; сборник продувок объемом 2 м3; холодильник концевой (диаметром 144 мм ´ 7 мм, l = 2,65 м); холодильник к компрессорной (диаметром 144 мм ´ 7 мм, l = 2,65 м); компрессор поршневой для водорода производительностью 720 м3/ч (0,2 м3/с), с трубопроводами: входящим – диаметром 200 мм, длиной 2,5 м, выходящим диаметром 100 мм, длиной 5 м, давлением 64 кг/см2.
Отключение ручное, расчетное время отключения принимается согласно п. 7 НПБ 105-03 [1] равным 300 с.
2 Расчет критериев взрывопожарной опасности
2.1 Определение необходимого условия.
В помещении обращается ГГ (ВСГ), способный образовывать взрывоопасные газовоздушные смеси, что отвечает необходимому условию отнесения помещения к взрывопожароопасной категории А.
За расчетный вариант принимается аварийная разгерметизация буферной емкости ВСГ, приводящая к выбросу горючей среды (ГГ) в помещение с возможностью возникновения пожара.
2.2 Определение достаточного условия отнесения помещения к категории А.
Рассчитывается избыточное давление взрыва DP, кПа, по сокращенной формуле (1гу) для водорода:
,
где Vп = (12 · 12 · 9) = 1296 м3.
Определяется объем газа, поступившего в результате аварийной ситуации, Vг, м3:
Vг = Vа + Vт,
где Vа – объем газа, вышедшего из компрессора до его отключения, м3;
Vа = q · T = 0,2 · 300 = 60 м3,
Vт – объем газа, вышедшего из трубопровода после его отключения, м3;
Vт = 0,01 · p · P · (r2 · L) = 0,01 · 3,14 · 6272 · (0,052 · 5) = 2,46 м3,
Vг = 60 + 2,46 = 62,46 м3,
кПа.
3 Определение категории помещения
Результаты расчетов критериев взрывопожарной опасности показывают, что при расчетном варианте аварии выполняются необходимое (наличие в помещении ГГ) и достаточное (расчетное избыточное давление при сгорании газовоздушной смеси превышает 5 кПа) условия для отнесения данного помещения к категории А.
А.55 Расчет критериев взрывопожарной и пожарной опасности и определение категории помещения отделения азотных и гелиевых компрессоров
1 Исходные данные
1.1 Характеристика помещения.
Длина l = 85 м, ширина b = 37 м, высота h = 10,8 м.
Минимальное расстояние от поверхности пожарной нагрузки до нижнего пояса ферм перекрытия составляет H = 9,3 м.
1.2 Характеристика веществ и материалов, обращающихся (находящихся) на площадке, по справочным данным (приложение Г).
Гелий, азот: инертные газы, не горючие.
Масло И-50: горючая жидкость (ГЖ).
1.3 Характеристика технологического процесса и оборудования.
В помещении находятся 6 компрессоров гелия и азота, в картере каждого масло И-50, объем картера V = 95 л, температура масла 50 °C. Пожарная нагрузка размещена равномерно по площади помещения.
2 Расчет критериев пожарной опасности
2.1 Определение необходимых условий.
а) В помещении обращаются горючие вещества и материалы (в т.ч. ГЖ, нагретая ниже температуры вспышки), что соответствует необходимому условию отнесения помещения одной из пожароопасных категорий (от В1 до В4).
б) Для конкретизации категории рассчитываются: пожарная нагрузка Q, МДж, и удельная пожарная нагрузка g, МДж/м2.
Gмасло = 6 · (0,095 м3 · 910 кг/м3) = 518,7 кг.
Q = 518,7 · 42,744 = 22171,3 МДж.
За площадь размещения пожарной нагрузки принимается площадь помещения,
МДж/м2.
Рассчитанная удельная пожарная нагрузка соответствует категории В3 (g = 181 ¸ 1400 МДж/м2) по таблице 4 НПБ 105-03 [1].
2.2 Определение достаточных условий отнесения помещения к категории В3.
а) Способ размещения пожарной нагрузки соответствует нормируемому п. 25 [1].
б) Проверяется выполнение неравенства по п. 25 НПБ 105-03 [1] для рассчитанного количества пожарной нагрузки Q:
Q³ 0,64 · gт · H2,
| где gт | = 1400 МДж/м2 при 181 МДж/м2£ g£ 1400 МДж/м2; |
| H | – минимальное расстояние от поверхности пожарной нагрузки до нижнего пояса ферм перекрытия, м, |
22171,3 ³ 0,64 · 1400 · 9,32 = 77495 МДж.
Неравенство не выполняется.
3 Определение категории помещения
Результаты расчетов критериев пожарной опасности показывают, что выполняются необходимое (рассчитанная удельная пожарная нагрузка соответствует категории В3) и достаточное условие (неравенство не выполняется), что позволяет отнести данное помещение к категории В3.
А.56 Расчет критериев взрывопожарной и пожарной опасности и определение категории помещения машзала гелиевых компрессоров гелиевой установки
1 Исходные данные
1.1 Характеристика помещения.
Длина l = 18,5 м, ширина b = 6,5 м, высота h = 9,6 м.
Минимальное расстояние от поверхности пожарной нагрузки до нижнего пояса ферм перекрытия составляет H = 9,6 м.
1.2 Характеристика веществ и материалов, обращающихся (находящихся) в помещении, по справочным данным (приложение Г).
Гелий: инертный газ, не горюч.
Масло компрессорное марки И-50: горючая жидкость (ГЖ).
1.3 Характеристика технологического процесса и оборудования.
В помещении производится компримирование гелия и находится следующее оборудование: компрессоры гелия, емкости с маслом 3 шт.: V1 = 1 т; V2 = 1,5 т; V3 = 1,8 т; температура масла 50°C.
2 Расчет критериев взрывопожарной и пожарной опасности
2.1 Определение необходимых условий.
а) В помещении обращаются ГЖ, нагретые ниже температуры вспышки, что соответствует необходимому условию отнесения помещения к категории В1 - В4.
б) Для конкретизации категории рассчитываются: пожарная нагрузка Q, МДж, и удельная пожарная нагрузка g, МДж/м2.
= (1000 + 1500 + 1800) · 42,744 = 183799,2 МДж.
За площадь размещения пожарной нагрузки принимается площадь помещения (120,25 м2), так как она меньше вычисленной по НПБ 105-03 [1] площади разлива (2475 м2).
МДж/м2.
Рассчитанная удельная пожарная нагрузка соответствует категории В2 (1401 ¸ 2200 МДж/м2) по таблице 4 НПБ 105-03 [1].
2.2 Определение достаточных условий отнесения помещения к категории В2.
а) Способ размещения пожарной нагрузки соответствует нормируемому п. 2 НПБ 105-03 [1].
б) Проверяется выполнение неравенства по п. 25 НПБ 105-03 [1] для рассчитанной количества пожарной нагрузки Q:
Q³ 0,64 · gт · H2,
| где gт | = 2200 МДж/м2 при 1401 МДж/м2£ g£ 2200 МДж/м2; |
| H | – минимальное расстояние от поверхности пожарной нагрузки до нижнего пояса ферм перекрытия, м, |
184654,08 ³ 0,64 · 2200 · 9,62 = 129761,3 МДж.
Неравенство выполняется.
3 Определение категории помещения
Результаты расчетов критериев пожарной опасности показывают, что выполняется необходимое условие (рассчитанная удельная пожарная нагрузка соответствует категории В2), однако достаточное условие не выполняется (неравенство верно), поэтому данное помещение следует отнести к категории В1.
А.57 Расчет критериев взрывопожарной и пожарной опасности и определение категории помещения пункта распределения метанола
Расчет см. А.1.38, приложение А СТО Газпром 2-1.1-094.
А.58 Расчет критериев взрывопожарной и пожарной опасности и определение категории помещения насосной ДЭГ
1 Исходные данные
1.1 Характеристика помещения.
Длина l = 12 м, ширина b = 3 м, высота h = 3,5 м.
Минимальное расстояние от поверхности пожарной нагрузки до нижнего пояса ферм перекрытия H составляет 3,5 м.
1.2 Характеристика веществ и материалов, обращающихся (находящихся) в помещении по справочным данным (приложение Г).
Диэтиленгликоль: горючая жидкость (ГЖ).
1.3 Характеристика технологического процесса и оборудования.
В помещении происходит перекачка диэтиленгликоля с использованием следующего оборудования: 2 насоса перекачки ДЭГ производительностью 10 м3/ч (0,003 м3/с), давлением 55 кг/см2, с трубопроводами: входящим – диаметром 89 мм, длиной 0,6 м, выходящим – диаметром 57 мм, длиной 1,5 м.
Отключение ручное, расчетное время отключения принимается согласно п. 7 НПБ 105-03 [1] равным 300 с.
2 Расчет критериев пожарной опасности
2.1 Определение необходимых условий.
а) В помещении обращается ГЖ, нагретая ниже температуры вспышки, что соответствует необходимому условию отнесения помещения к одной из пожароопасных категорий (от В1 до В4).
б) Для конкретизации категории рассчитываются: пожарная нагрузка Q, МДж, и удельная пожарная нагрузка g, МДж/м2.
,
G = Vав · r,
где Vав – объем ДЭГ, поступившего в результате расчетной аварии, м3;
Vав = V1т + V2т,
где V1т – объем ДЭГ, вышедшего из трубопровода до его отключения, м3;
V1т = q · T= 0,003 · 300 = 0,9 м3;
V2т – объем ДЭГ, вышедшего из трубопровода после его отключения, м3.
V2т = p · r21 · L1 = 3,14 · 0,0252 · 1,5 = 0,003 м3,
Vав = 0,9 + 0,003 = 0,903 м3;
G = 0,903 · 1119 = 1010,5 кг.
Q = 1010,5 · 22,37 = 22605,0 МДж.
.
За площадь размещения пожарной нагрузки принимается площадь помещения (36 м2), так как она меньше рассчитанной по п. 38 г НПБ 105-03 [1] (90,3 м2).
МДж/м2.
Рассчитанная удельная пожарная нагрузка соответствует категории В3 (181 ¸ 1400 МДж/м2) по таблице 4 НПБ 105-03 [1].
2.2 Определение достаточных условий отнесения помещения к категории В2.
а) Способ размещения пожарной нагрузки соответствует нормируемому п. 25 [1].
б) Проверяется выполнение неравенства по п. 25 НПБ 105-03 [1] для рассчитанного количества пожарной нагрузки Q:
Q³ 0,64 · gт · H2,
| где gт | = 1400 МДж/м2 при 181 МДж/м2£ g£ 1400 МДж/м2; |
| H | - минимальное расстояние от поверхности пожарной нагрузки до нижнего пояса ферм перекрытия, м, |
22605 ³ 0,64 · 1400 · 3,52 = 10976 МДж.
Неравенство выполняется.
3 Определение категории помещения
Результаты расчетов критериев пожарной опасности показывают, что выполняется необходимое условие (рассчитанная удельная пожарная нагрузка соответствует категории В3), однако одно из достаточных условий не выполняется (неравенство верно), поэтому данное помещение следует отнести к категории В2.
А.59 Расчет критериев взрывопожарной и пожарной опасности и определение категории помещения одоризации газа ГРС
Расчет см. А.1.40, приложение А СТО Газпром 2-1.1-094.
А.60 Расчет критериев взрывопожарной и пожарной опасности и определение категории помещения ГРП
Расчет см. А.1.43, приложение А СТО Газпром 2-1.1-094.
А.61 Расчет критериев взрывопожарной и пожарной опасности и определение категории помещения блока предочистки установки регенерации метанола
1 Исходные данные
1.1 Характеристика помещения.
Длина l = 12 м, ширина b = 11,8 м, высота h = 7,8 м.
Расчетная температура воздуха tр = 34 °C – абсолютная максимальная температура воздуха (для района г. Сургута) согласно таблице 2 СНиП 23-01-99* [6].
Скорость движения воздушного потока в помещении в теплый период года – 0,2 м/с.
1.2 Характеристика веществ и материалов, обращающихся (находящихся) в помещении, по справочным данным (приложение Г).
Водометанольная смесь (подтоварная вода, метанольная вода), объемная доля метанола в смеси 48 % (c = 0,48) – горючая жидкость (ГЖ).
Метанол (спирт метиловый): легковоспламеняющаяся жидкость (ЛВЖ).
1.3 Характеристика технологического процесса и оборудования.
В помещении осуществляется очистка от механических примесей и находятся: емкость объемом 6 м3 с метанольной водой (48 % метанола), производительность 1,5 м3/ч (0,0004 м3/с), трубопроводами: входящим – диаметром 57 мм, длиной 1 м и выходящим – диаметром 89 мм, длиной 0,7 м + диаметром 57 мм, длиной 1 м; емкость с водой объемом 4 м3; емкость объемом 4 м3 с метанольной водой (48 % метанола); 2 фильтра мехочистки объемом 2 м3 с метанольной водой (48 % метанола), производительность 1,5 м3/ч, трубопроводами: входящим – диаметром 89 мм, длиной 5 м, выходящим – диаметром 89 мм, длиной 1,5 м; 2 емкости смешения коагулянтов (водный раствор сульфата аммония) объемом 0,8 м3.
Отключение автоматическое без резервирования, расчетное время отключения согласно НПБ 105-03 [1] принимается равным 120 с.
2 Расчет критериев взрывопожарной опасности
2.1 Определение необходимого условия.
В помещении обращается ЛВЖ с температурой вспышки менее 28 °C, способная образовывать взрывоопасные паровоздушные смеси, что отвечает необходимому условию отнесения помещения к взрывопожароопасной категории А.
За расчетный вариант принимается аварийная разгерметизация емкости перекачки метанольной воды, приводящая к истечению горючей среды в помещение с возможностью возникновения пожара.
2.2 Определение достаточного условия отнесения помещения к категории А.
Рассчитывается избыточное давление взрыва DP, кПа, по сокращенной формуле (4у) для метанола:
,
| где Vп | = (12 · 11,8 · 7,8) = 1104,5 м3; |
| rв | = 1,15 кг/м3, принимается по таблице 6.1, |
| m | - масса паров метанола, поступивших в помещение в результате расчетной аварии, кг: |
m = W · Fи · T,
W = 10-6 · h ·
· Pн,
где h - коэффициент, принимается равным 2,4 (по таблице 3 НПБ 105-03 [1]) по исходным данным;
кПа,
W = 10-6 · 2,4 ·
· 12,5 = 1,7 · 10-4, кг/с·м2,
Fи – площадь испарения, м2; вычисляется по п. 7 НПБ 105-03 [1],
V – объем разлившейся жидкости в результате расчетной аварии, м3:
V = Vа + Vт,
| где Vа | – объем метанольной воды в емкости, м3, 6 м3, |
| Vт | – объем метанольной воды, вышедшей из трубопровода, м3: |
Vт = q · T + p · (r2 · L) = 0,0004 · 300 + 3,14 · (0,02852 · 1) = 0,123 м3,
V = 6 + 0,123 = 6,123 м3.
Вычисленная площадь испарения – 6123 м2, что превышает площадь помещения.
m = 1,7 · 10-4 · 141,6 · 3600 = 86,7 кг.
кПа.
3 Определение категории помещения
Результаты расчетов критериев взрывопожарной опасности показывают, что при расчетном варианте аварии выполняются необходимое (наличие в помещении ГГ) и достаточное (расчетное избыточное давление при сгорании газовоздушной смеси превышает 5 кПа) условия, позволяющие отнести данное помещение к категории А.
А.62 Расчет критериев взрывопожарной и пожарной опасности и определение категории помещения диспетчерской
1 Исходные данные
1.1 Характеристика помещения.
Длина l = 12 м, ширина b = 6 м, высота h = 3 м.
Минимальное расстояние от поверхности пожарной нагрузки до нижнего пояса ферм перекрытия H составляет 1,5 м.
1.2 Характеристика веществ и материалов, обращающихся (находящихся) в помещении, по справочным данным (приложение Г).
ДСП, карболит, ПВХ, текстолит, полистирол: твердые горючие не пылящие материалы.
1.3 Характеристика технологического процесса и оборудования.
В помещении находятся: 8 щитов управления, 2 стола диспетчерских (ДСП); 3 компьютера; принтер; факс; 5 шкафов ДСП.
Суммарная масса горючих материалов: ДСП – 320 кг; карболит – 10 кг; ПВХ – 6 кг; текстолит – 4 кг; полистирол – 6 кг.
Пожарная нагрузка (в составе щитов управления, корпусов приборов и мебели) размещена равномерно по всей площади помещения.
2 Расчет критериев пожарной опасности
2.1 Определение необходимых условий.
а) В помещении находятся твердые не пылящие горючие материалы, что соответствует необходимому условию отнесения помещения к одной из пожароопасных категорий (от В1 до В4).
б) Для конкретизации категории рассчитываются: пожарная нагрузка Q, МДж, и удельная пожарная нагрузка g, МДж/м2.
,
Q = (320 · 13,8) + (10 · 26,9) + (6 · 20,7) + (4 · 22,43) + (6 · 39,8) = 5048 МДж.
МДж/м2.
Рассчитанная удельная пожарная нагрузка соответствует категории В4 (g= 1 ¸ 180 МДж/м2) по таблице 4 НПБ 105-03 [1].
2.2 Определение достаточного условия отнесения помещения к категории В4.
а) Способ размещения пожарной нагрузки не соответствует нормируемому п. 25 НПБ 105-03 [1], т.к. невозможно выделить участки категории В4 с площадью 10 м2 с расстоянием между ними более предельных.
3 Определение категории помещения
Результаты расчетов критериев пожарной опасности показывают, что выполняется необходимое условие для отнесения помещения к категории В4, однако достаточное условие не выполняется (способ размещения пожарной нагрузки не соответствует нормируемому), поэтому помещение следует относить к категории В3.
А.63 Расчет критериев взрывопожарной и пожарной опасности и определение категории помещения баллонной воздуха
1 Исходные данные
1.1 Характеристика помещения.
Длина l = 4 м, ширина b = 3 м, высота h = 5 м.
Расчетная температура воздуха tр = 35 °C – абсолютная максимальная температура воздуха (для района г. Ухты) согласно таблице 2 СНиП 23-01-99* [6].
1.2 Характеристика веществ и материалов, обращающихся (находящихся) в помещении, по справочным данным (приложение Г).
Негорючие вещества и материалы в холодном состоянии.
1.3 Характеристика технологического процесса и оборудования.
В помещении хранятся 36 баллонов по 50 л с воздухом.
2 Расчет критериев пожарной опасности
Расчет не требуется, так как в помещении отсутствуют горючие вещества и материалы поэтому оно не относится к категориям А, Б, В и Г (по необходимым условиям).
3 Определение категории помещения
Для данного помещения выполняются необходимое и достаточное условия (наличие в помещении негорючих веществ и материалов в холодном состоянии), что позволяет отнеси его к категории Д.
А.64 Расчет критериев взрывопожарной и пожарной опасности и определение категории помещения компрессорной сжатого воздуха (масляные компрессоры)
Расчет см. А.1.48, приложение А СТО Газпром 2-1.1-094.
А.65 Расчет критериев взрывопожарной и пожарной опасности и определение категории помещения компрессорной сжатого воздуха (безмасляные компрессоры)
1 Исходные данные
1.1 Характеристика помещения.
Длина l = 12 м, ширина b = 3 м, высота h= 3,5 м.
Расчетная температура воздуха tр = 40 °C – абсолютная максимальная температура воздуха (для района г. Ставрополя) согласно таблице 2 СНиП 23-01-99* [6].
1.2 Характеристика веществ и материалов, обращающихся (находящихся) в помещении, по справочным данным (приложение Г).
ПВХ, карболит: твердые горючие не пылящие материалы.
1.3 Характеристика технологического процесса и оборудования.
В помещении компрессорной размещены безмасляные компрессоры сжатого воздуха и щит управления. Суммарное количество горючих материалов: ПВХ – 1 кг, карболит – 1,5 кг. Пожарная нагрузка в составе щита управления размещена на участке 0,8 м2.
2 Расчет критериев пожарной опасности
2.1 Определение необходимых условий.
а) В помещении находятся твердые не пылящие горючие материалы, что соответствует необходимому условию отнесения помещения к одной из пожароопасных категорий (от В1 до В4).
б) Для конкретизации категории рассчитываются: пожарная нагрузка Q, МДж, и удельная пожарная нагрузка g, МДж/м2.
,
Q= 1 · 20,7 + 1,5 · 26,9 = 61,1 МДж,
МДж/м2.
За площадь размещения принимается участок площадью не менее 10 м2 по п. 25 НПБ 05-03 [1].
Рассчитанная удельная пожарная нагрузка соответствует категории В4 (g = 1 ¸ 180 МДж/м2) по таблице 4 НПБ 105-03 [1].
2.2 Определение достаточного условия отнесения помещения к категории В4.
Способ размещения пожарной нагрузки соответствует нормируемому п. 25 НПБ 105-03 [1].
3 Определение категории помещения
Результаты расчетов критериев пожарной опасности показывают, что выполняются необходимое и достаточные условия (способ размещения пожарной нагрузки не соответствует нормируемому) для отнесения помещения к категории В4.
А.66 Расчет критериев взрывопожарной и пожарной опасности и определение категории помещения установки производства технологического воздуха и инертного газа
Расчет см. А.1.49, приложение А СТО Газпром 2-1.1-094.
А.67 Расчет критериев взрывопожарной и пожарной опасности и определение категории помещения лаборатории автоматизации и метрологии
1 Исходные данные
1.1 Характеристика помещения.
Длина l = 4,4 м, ширина b = 6,4 м, высота h = 2,7 м.
Минимальное расстояние от поверхности пожарной нагрузки до нижнего пояса ферм перекрытия H составляет 1,5 м.
1.2 Характеристика веществ и материалов, обращающихся (находящихся) в помещении, по справочным данным (приложение Г).
ДСП, карболит, ПВХ: твердые горючие не пылящие материалы (в составе щитов управления, корпусов приборов и мебели).
1.3 Характеристика технологического процесса и оборудования.
В помещении производятся ремонт и поверка метрологического оборудования, находятся: 3 монтажных стола (металл); стеллаж (металл); шкаф (ДСП); стол (ДСП); осциллограф; генератор; частотомер; блок питания.
Суммарная масса горючих материалов: ДСП – 80 кг; карболит – 3 кг; ПВХ – 1,5 кг. Пожарная нагрузка размещена равномерно по всей площади помещения.
2 Расчет критериев пожарной опасности
2.1 Определение необходимых условий.
а) В помещении находятся твердые не пылящие горючие материалы, что соответствует необходимому условию отнесения помещения к одной из пожароопасных категорий (от В1 до В4).
б) Для конкретизации категории рассчитываются: пожарная нагрузка Q, МДж, и удельная пожарная нагрузка g, МДж/м2.
.
Q = (80 · 13,8) + (3 · 26,9) + (1,5 · 20,7) = 1215,75 МДж.
МДж/м2.
Рассчитанная удельная пожарная нагрузка соответствует категории В4 (1 ¸ 180 МДж/м2) по таблице 4 НПБ 105-03 [1].
2.2 Определение достаточного условия отнесения помещения к категории В4.
а) Способ размещения пожарной нагрузки не соответствует нормируемому п. 25 НПБ 105-03 [1], так как невозможно выделить участки категории В4 площадью 10 м2 с расстояниями между ними более предельных.
3 Определение категории помещения
Результаты расчетов критериев пожарной опасности показывают, что выполняется необходимое условие для отнесения помещения к категории В4, однако достаточное условие не выполняется (способ размещения пожарной нагрузки не соответствует нормируемому), поэтому помещение следует относить к категории В3.
А.68 Расчет критериев взрывопожарной и пожарной опасности и определение категории помещения лаборатории испытаний моторных топлив
1 Исходные данные
1.1 Характеристика помещения.
Длина l = 5,4 м, ширина b = 4 м, высота h = 3,4 м.
Минимальное расстояние от поверхности пожарной нагрузки до нижнего пояса ферм перекрытия H составляет 3,0 м.
Расчетная температура воздуха tр = 35 °C – абсолютная максимальная температура воздуха (для района г. Ухты) согласно таблице 2 СНиП 23-01-99* [6].
Скорость движения воздушного потока в помещении в теплый период года составляет 0,2 м/с.
1.2 Характеристика веществ и материалов, обращающихся (находящихся) в помещении, по справочным данным (приложение Г).
Бензин: легковоспламеняющаяся жидкость (ЛВЖ).
1.3 Характеристика технологического процесса и оборудования.
В помещении производится определение октанового числа бензина и размещены: две универсальные установки определения октанового числа бензина; металлический шкаф хранения бензина (17 емкостей по 0,5 л).
2 Расчет критериев пожарной опасности
За расчетный вариант принимается аварийная разгерметизация емкости с бензином объемом 0,5 л, приводящая к поступлению горючей среды (паров бензина) в помещение с возможностью возникновения пожара.
2.1 Определение необходимого условия.
В помещении обращается ЛВЖ с температурой вспышки менее 28 °C, способная образовывать взрывоопасную паровоздушную смесь, что соответствует необходимому условию отнесения помещения к взрывопожароопасной категории А.
2.2 Определение достаточного условия отнесения помещения к категории А.
Рассчитывается избыточное давление взрыва DP, кПа, по сокращенной формуле (4у) для бензина:
,
| где Vп | = (5,4 · 4 · 3,4) = 73,4 м3; |
| m | – масса паров бензина, поступивших в помещение в результате аварийной ситуации, кг: |
m = W · Fи · T,
W = 10-6 · h ·
· Pн,
где h = 2,4 по таблице 3 [1];
кПа,
W = 10-6 · 2,4 ·
· 31,6 = 7,4 · 10-4 кг/(с·м2),
Fи – площадь испарения, м2; вычисляется по п. 7 НПБ 105-03 [1] и составляет 0,5 м2.
m = 3,09 · 10-4 · 0,5 · 3600 = 0,6 кг.
Рассчитанная масса паров превышает фактическое количество разлившейся жидкости, поэтому в дальнейших расчетах учитывается фактическая масса жидкости в емкости:
m = V · r = 0,0005 · 725 = 0,36 кг,
кПа.
3 Определение категории помещения
Результаты расчетов критериев взрывопожарной опасности показывают, что при расчетном варианте аварии достигаются необходимое (наличие в помещении ЛВЖ с температурой вспышки менее 28 °C) и достаточное (расчетное избыточное давление при сгорании паровоздушной смеси превышает 5 кПа) условия для отнесения данного помещения к категории А.
А.69 Расчет критериев взрывопожарной и пожарной опасности и определение категории помещения лаборатории физико-механических испытаний технического углерода
1 Исходные данные
1.1 Характеристика помещения.
Длина l = 5,4 м, ширина b = 4 м, высота h = 3,4 м.
Минимальное расстояние от поверхности пожарной нагрузки до нижнего пояса ферм перекрытия H составляет 2,0 м.
Расчетная температура воздуха tр = 35 °C – абсолютная максимальная температура воздуха (для района г. Ухты) согласно таблице 2 СНиП 23-01-99* [6].
1.2 Характеристика веществ и материалов, обращающихся (находящихся) в помещении, по справочным данным (приложение Г).
Технический углерод: твердое горючее пылящее вещество.
Карболит, ПВХ, текстолит, ДСП: твердые горючие не пылящие материалы (в составе оборудования и мебели).
1.3 Характеристика технологического процесса и оборудования.
В помещении производятся физико-механические испытания технического углерода и находятся: шкаф вытяжной; муфельная печь; сушильный шкаф СНОЛ; столы; весы.
Суммарная масса горючих веществ и материалов: технический углерод – 0,5 кг (в пяти емкостях по 0,1 кг); карболит – 1 кг; ПВХ – 1 кг; текстолит – 0,5 кг; ДСП – 70 кг.
2 Расчет критериев пожарной опасности
За расчетный вариант принимается аварийный просып техуглерода из емкости, приводящий к поступлению горючей среды (горючей пыли) в помещение с возможностью возникновения пожара.
2.1 Определение необходимого условия.
В помещении обращается горючая пыль, способная образовывать взрывоопасную пылевоздушную смесь, что соответствует необходимому условию отнесения помещения к взрывопожароопасной категории Б.
2.2 Определение достаточного условия отнесения помещения к категории Б. Расчет избыточного давления взрыва DP, кПа, производится по формуле (4у):
,
| где Z | = 0,5 для пылей по таблице 2 НПБ 105-03 [1]; |
| Vп | = (5,4 · 4 · 3,4) = 73,44 м3; |
| rв | = 1,15 кг/м3 по таблице 6.1; |
| m | – масса горючей пыли, поступившей в помещение в результате аварии, кг. |
m = mвз + mав,
где mвз – масса взвихрившейся пыли (mвз) по формуле:
mвз = Kвз · mп,
| где Kвз | – доля отложившейся в помещении пыли, способной перейти во взвешенное состояние в результате аварийной ситуации, допускается принимать 0,9 по НПБ 105-03 [1], |
| mп | – масса отложившейся в помещении пыли к моменту аварии, определяется экспериментально и составляет в среднем 0,05 кг. |
mвз = 0,9 · 0,05 = 0,045 кг,
mав – масса горючей пыли, поступившей в помещение в результате аварии, кг.
mав = mа · Kп,
| где mа | – количество техуглерода в емкости, кг; |
| Kп | – коэффициент пыления техуглерода, принимается равным 1. |
mав = 0,1 · 1 = 0,1 кг.
Суммарная масса пыли по аварийной ситуации
m = 0,045 + 0,1 = 0,145 кг.
Определяется избыточное давление взрыва:
кПа.
Результаты расчетов критериев взрывопожарной опасности показывают, что при расчетном варианте аварии необходимое условие достигается (наличие горючей пыли), но ее количества недостаточно для выполнения условия, позволяющего отнести данное помещение к категории Б.
2.3 Определяется необходимое условие отнесения установки к пожароопасной категории.
а) В помещении обращаются горючие вещества и материалы, что соответствует необходимому условию отнесения помещения к одной из пожароопасных категорий (от В1 до В4).
б) Для конкретизации категории рассчитываются: пожарная нагрузка Q, МДж, и удельная пожарная нагрузка g, МДж/м2.
,
Q = 0,5 · 28,326 + 1 · 26,9 + 1 · 20,7 + 0,5 · 23,983 + 70 · 13,8 = 1039,8 МДж.
МДж/м2.
За площадь размещения пожарной нагрузки принимается площадь помещения.
Рассчитанная удельная пожарная нагрузка соответствует категории В4 (g = 1 ¸ 180 МДж/м2) по таблице 4 [1].
2.4 Определение достаточного условия.
Способ размещения пожарной нагрузки не соответствует нормируемому п. 25 НПБ 105-03 [1], так как в помещении нельзя выделить участки категории В4 с площадью размещения пожарной нагрузки 10 м2 с расстояниями между ними более предельных.
3 Определение категории помещения
Результаты расчетов критериев пожарной опасности показывают, что выполняется необходимое условие (рассчитанная удельная пожарная нагрузка соответствует категории В4), однако достаточное условие (способ размещения пожарной нагрузки в помещении) не выполняется, поэтому данное помещение следует отнести к категории В3.
А.70 Расчет критериев взрывопожарной и пожарной опасности и определение категории помещения лаборатории мокрого просева технического углерода
1 Исходные данные
1.1 Характеристика помещения.
Длина l = 5 м, ширина b = 3,7 м, высота h = 3,4 м.
Минимальное расстояние от поверхности пожарной нагрузки до нижнего пояса ферм перекрытия H составляет 1,4 м.
1.2 Характеристика веществ и материалов, обращающихся (находящихся) в помещении, по справочным данным (приложение Г).
Технический углерод: твердое горючее пылящее вещество (по техпроцессу находится в увлажненном состоянии).
ДСП: твердый горючий не пылящий материал (в составе оборудования и мебели).
1.3 Характеристика технологического процесса и оборудования.
В помещении, предназначенном для проведения мокрого просева технического углерода, находятся: шкаф вытяжной; стол; 3 металлических верстака; металлический шкаф.
Суммарное количество горючих веществ и материалов: углерод технический (влажный) – 5 кг; ДСП – 30 кг. Пожарная нагрузка размещена на одном участке площадью 4,3 м2.
2 Расчет критериев пожарной опасности
2.1 Определение необходимых условий.
а) В помещении находятся горючие материалы (не относящиеся к категориям А или Б), что соответствует необходимому условию отнесения помещения к одной из пожароопасных категорий (от В1 до В4).
б) Для конкретизации категории рассчитываются: пожарная нагрузка Q, МДж, и удельная пожарная нагрузка g, МДж/м2.
,
Q = 5 · 28,326 + 30 · 13,8 = 555,63 МДж.
МДж/м2.
За площадь размещения пожарной нагрузки принимается участок 10 м2 (по п. 25 НПБ 105-03) [1].
Рассчитанная удельная пожарная нагрузка соответствует категории В4 (g = 1 ¸ 180 МДж/м2) по таблице 4 НПБ 105-03 [1].
2.2 Определение достаточного условия отнесения помещения к категории В4.
Способ размещения пожарной нагрузки соответствует нормируемому п. 25 НПБ 105-03 [1], так как в помещении имеется один участок размещения пожарной нагрузки категории В4 площадью менее 10 м2.
3 Определение категории помещения
Результаты расчетов критериев пожарной опасности показывают, что выполняются необходимое (рассчитанная удельная пожарная нагрузка соответствует категории В4) и достаточное (способ размещения пожарной нагрузки в помещении соответствует нормируемому) условия, что позволяет отнести данное помещение к категории В4.
А.71 Расчет критериев взрывопожарной и пожарной опасности и определение категории помещения лаборатории физико-химический испытаний (определение удельной поверхности) технического углерода
1 Исходные данные
1.1 Характеристика помещения.
Длина l= 5 м, ширина b = 3 м, высота h = 3,5 м.
Минимальное расстояние от поверхности пожарной нагрузки до нижнего пояса ферм перекрытия H составляет 2,5 м.
1.2 Характеристика веществ и материалов, обращающихся (находящихся) в помещении по справочным данным (приложение Г).
ДСП: твердый горючий не пылящий материал (в составе оборудования и мебели).
1.3 Характеристика технологического процесса и оборудования.
В помещении производится определение удельной поверхности технического углерода и находятся: стенд определения удельной поверхности технического углерода; шкаф, 2 стола. Суммарная масса горючего материала: технический углерод находится в незначительном количестве (20-50 г), поэтому при расчете не учитывается; ДСП – 140 кг.
Пожарная нагрузка размещена на одном участке площадью 7,6 м2.
2 Расчет критериев пожарной опасности
2.1 Определение необходимых условий.
а) В помещении обращается твердый не пылящий горючий материал, что соответствует необходимому условию отнесения помещения к одной из пожароопасных категорий (от В1 до B4).
б) Для конкретизации категории рассчитываются: пожарная нагрузка Q, МДж, и удельная пожарная нагрузка g, МДж/м2.
,
Q = 140 · 13,8 = 1932 МДж,
МДж/м2.
За площадь размещения пожарной нагрузки принимается участок 10 м2 (по НПБ п. 25 105-03) [1].
Рассчитанная удельная пожарная нагрузка соответствует категории В3 (g = 181 ¸ 1400 МДж/м2) по таблице 4 НПБ 105-03 [1].
2.2 Определение достаточных условий для отнесения помещения к категории В3.
а) Способ размещения пожарной нагрузки соответствует нормируемому п. 25 НПБ 105-03 [1].
б) Проверяется выполнение неравенства по п. 25 НПБ 105-03 [1] для рассчитанного количества пожарной нагрузки Q:
Q³ 0,64 · gт · H2,
| где gт | = 1400 МДж/м2 при 181 МДж/м2£ g£ 1400 МДж/м2; |
| H | – минимальное расстояние от поверхности пожарной нагрузки до нижнего пояса ферм перекрытия, м, |
1932 ³ 0,64 · 1400 · 2,52 = 5600 МДж.
Неравенство не выполняется.
3 Определение категории помещения
Результаты расчетов критериев пожарной опасности показывают, что выполняются необходимое (рассчитанная удельная пожарная нагрузка соответствует категории В3 и достаточные (неравенство не выполняется) условия, позволяющие отнести данное помещение к категории В3.
А.72 Расчет критериев взрывопожарной и пожарной опасности и определение категории помещения лаборатории определения ионного числа технического углерода
1 Исходные данные
1.1 Характеристика помещения.
Длина l = 5,4 м, ширина b = 3,3 м, высота h = 3,4 м.
Минимальное расстояние от поверхности пожарной нагрузки до нижнего пояса ферм перекрытия H составляет 1,8 м.
1.2 Характеристика веществ и материалов, обращающихся (находящихся) в помещении, по справочным данным (приложение Г).
Углерод технический – следы (25 мг).
Серная кислота: негорючее пожароопасное вещество.
Водный раствор йода: негорючее вещество.
Тиосульфат натрия: негорючее вещество.
ДСП: твердый горючий не пылящий материал (в составе оборудования и мебели).
1.3 Характеристика технологического процесса и оборудования.
В помещении производится определение ионного числа технического углерода с применением негорючих химических реагентов и находятся: 2 вытяжных шкафа; 4 стола; шкаф; сушильный шкаф.
Суммарное количество горючего материала: ДСП – 200 кг. Пожарная нагрузка размещена на участке площадью 7,5 м2.
2 Расчет критериев пожарной опасности
2.1 Определение необходимых условий.
а) В помещении обращаются горючие вещества и материалы, что соответствует необходимому условию отнесения помещения к одной из пожароопасных категорий (от В1 до В4).
б) Для конкретизации категории рассчитываются: пожарная нагрузка Q, МДж, и удельная пожарная нагрузка g, МДж/м2.
,
Q = 200 · 13,8 = 2760 МДж,
МДж/м2.
За площадь размещения пожарной нагрузки принимается участок 10 м2.
Рассчитанная удельная пожарная нагрузка соответствует категории В3 (g = 181 ¸ 1400 МДж/м2) по таблице 4 НПБ 105-03 [1].
2.2 Определение достаточного условия для отнесения помещения к категории В3.
а) Способ размещения пожарной нагрузки соответствует нормируемому п. 25 НПБ 105-03 [1].
б) Проверяется выполнение неравенства по п. 25 НПБ 105-03 [1] для рассчитанного количества пожарной нагрузки Q:
Q³ 0,64 · gт · H2,
| где gт | = 1400 МДж/м2 при 181 МДж/м2£ g£ 1400 МДж/м2; |
| H | – минимальное расстояние от поверхности пожарной нагрузки до нижнего пояса ферм перекрытия, м, |
2760 ³ 0,64 · 1400 · 1,82 = 2903 МДж.
Неравенство не выполняется.
3 Определение категории помещения
Результаты расчетов критериев пожарной опасности показывают, что выполняются необходимое (рассчитанная удельная пожарная нагрузка соответствует категории В3) и достаточное (неравенство не выполняется) условия, что позволяет отнести данное помещение к категории В3.
А.73 Расчет критериев взрывопожарной и пожарной опасности и определение категории помещения лаборатории компонентного состава отходящего газа
1 Исходные данные
1.1 Характеристика помещения.
Длина l = 5,4 м, ширина b = 3,4 м, высота h = 3,4 м.
Минимальное расстояние от поверхности пожарной нагрузки до нижнего пояса ферм перекрытия H составляет 2,4 м.
1.2 Характеристика веществ и материалов, обращающихся (находящихся) в помещении, по справочным данным (приложение Г).
Дибутилфталат: горючая жидкость (ГЖ).
ПВХ, текстолит, ДСП: твердые горючие не пылящие материалы.
1.3 Характеристика технологического процесса и оборудования.
В помещении лаборатории, предназначенной для определения компонентного состава отходящего газа, находятся: хроматограф, стол. Суммарное количество горючего материала: дибутилфталат – 1 л; ДСП – 50 кг. Площадь размещения пожарной нагрузки (в составе оборудования и мебели) составляет 8 м2.
2 Расчет критериев пожарной опасности
2.1 Определение необходимых условий.
а) В помещении обращаются горючие вещества и материалы (в т.ч. ГЖ, нагретая ниже температуры вспышки без возможности образования аэрозоля, т.е. Z = 0), что соответствует необходимому условию отнесения помещения к одной из пожароопасных категорий (от В1 до В4).
б) Для конкретизации категории рассчитываются: пожарная нагрузка Q, МДж, и удельная пожарная нагрузка g, МДж/м2.
,
Gдибутилфталат = 0,001 м3 · 1047 кг/м3 = 1,047 кг.
Q = 1,047 · 31,205 + 50 · 13,8 = 722,7 МДж.
МДж/м2.
За площадь размещения пожарной нагрузки принимается участок 10 м2 (по п. 25 НПБ 105-03 [1].
Рассчитанная удельная пожарная нагрузка соответствует категории В4 (g = 1 ¸ 180 МДж/м2) по таблице 4 НПБ 105-03 [1].
2.2 Определение достаточного условия для отнесения помещения к категории В4.
Способ размещения пожарной нагрузки соответствует нормируемому п. 25 НПБ 105-03 [1]
3 Определение категории помещения
Результаты расчетов критериев пожарной опасности показывают, что выполняются необходимое (рассчитанная удельная пожарная нагрузка соответствует категории В4) и достаточное (способ размещения пожарной нагрузки в помещении соответствует нормируемому условия, что позволяет отнести данное помещение к категории В4.
А.74 Расчет критериев взрывопожарной и пожарной опасности и определение категории помещения лаборатории пикнометрического анализа газов
1 Исходные данные
1.1 Характеристика помещения.
Длина l = 5 м, ширина b = 2,7 м, высота h = 3,3 м.
Минимальное расстояние от поверхности пожарной нагрузки до нижнего пояса ферм перекрытия H составляет 2,6 м.
Расчетная температура воздуха tр = 35 °C – абсолютная максимальная температура воздуха (для района г. Ухты) согласно таблице 2 СНиП 23-01-99* [6].
1.2 Характеристика веществ и материалов, обращающихся (находящихся) в помещении, по справочным данным (приложение Г).
Природный газ (по метану CH4): горючий газ (ГГ).
ПВХ, текстолит, полистирол, ДСП: твердые горючие не пылящие материалы.
Суммарное количество горючих материалов: метан – 1 л; ПВХ – 1,5 кг; текстолит – 1,5 кг; полистирол – 2 кг; ДСП – 100 кг.
1.3 Характеристика технологического процесса и оборудования.
В лаборатории, предназначенной для проведения пикнометрического анализа газа, находятся: пробоотборник объемом 1 л (0,001 м3), давлением 25 кг/см2 (2452 кПа); 2 тумбочки; 3 стола (металл, столешница ДСП); приборы. Площадь размещения пожарной нагрузки (в составе оборудования и мебели) составляет 9 м2.
2 Расчет критериев взрывопожарной и пожарной опасности
2.1 Определение необходимого условия.
а) В помещении обращается ГГ, способный образовывать взрывоопасные газовоздушные смеси, что соответствует необходимому условию отнесения помещения к взрывопожароопасной категории А.
2.2 Определение достаточного условия отнесения помещения к категории А.
За расчетный вариант принимается аварийная разгерметизация пробоотборника, приводящая к выбросу горючей среды (ГГ) в помещение с возможностью возникновения пожара.
Рассчитывается избыточное давление взрыва DP, кПа, по формуле (1гу) для метана:
,
| где Vп | = (5 · 2,7 · 3,3) = 44,55 м3; |
| Vг | – объем газа, поступившего в результате аварийной ситуации, м3; |
Vг = 0,01 · P · V= 0,01 · 2452 · 0,001 = 0,025 м3,
кПа.
Результаты расчетов критериев взрывопожарной опасности показывают, что при расчетном варианте аварии необходимое условие достигается (наличие горючего газа), но его количества недостаточно для выполнения условия, позволяющего отнести данное помещение к категории А.
2.3 Определяется необходимое условие отнесения установки к пожароопасной категории.
а) В помещении находятся горючие твердые непылящие материалы, что соответствует необходимому условию отнесения помещения к одной из пожароопасных категорий (от В1 до В4).
б) Для конкретизации категории рассчитываются: пожарная нагрузка Q, МДж, и удельная пожарная нагрузка g, МДж/м2.
,
Q = 1,5 · 20,7 + 1,5 · 23,983 + 2 · 39,8 + 100 · 13,8 = 1526,6 МДж.
МДж/м2.
За площадь размещения пожарной нагрузки принимается участок 10 м2.
Рассчитанная удельная пожарная нагрузка соответствует категории В4 (g = 1 ¸ 180 МДж/м2) по таблице 4 НПБ 105-03 [1].
2.4 Определение достаточного условия.
Способ размещения пожарной нагрузки соответствует нормируемому п.25 НПБ 105-03 [1].
3 Определение категории помещения
Результаты расчетов критериев пожарной опасности показывают, что выполняются необходимое (рассчитанная удельная пожарная нагрузка соответствует категории В4) и достаточное (способ размещения пожарной нагрузки в помещении соответствует нормируемому) условия, что позволяет отнести данное помещение к категории В4.
А.75 Расчет критериев взрывопожарной и пожарной опасности и определение категории помещения лаборатории физико-химических испытаний нефтепродуктов
1 Исходные данные
1.1 Характеристика помещения:
Длина l = 6,8 м; ширина b = 5,2 м; высота h = 3,5 м.
Минимальное расстояние от поверхности пожарной нагрузки до нижнего пояса ферм перекрытия H составляет 3,3 м.
Расчетная температура воздуха tр = 35 °C – абсолютная максимальная температура воздуха (для района г. Ухты) согласно таблице 2 СНиП 23-01-99* [6].
1.2 Характеристика веществ и материалов, обращающихся (находящихся) в помещении, по справочным данным (приложение Г).
Бензин: легковоспламеняющаяся жидкость (ЛВЖ).
Карболит, ПВХ, текстолит, ДСП: твердые горючие не пылящие материалы.
1.3 Характеристика технологического процесса и оборудования.
В лаборатории, предназначенной для физико-химических испытаний нефтепродуктов с применением химических реагентов, в том числе ЛВЖ, размещено следующее оборудование и мебель: 2 вытяжных шкафа; 4 стола с приборами, 4 емкости с бензином (объемом 0,5 л каждая).
Суммарная масса горючих материалов: карболит – 2 кг, ПВХ – 1 кг, текстолит – 1,5 кг, ДСП – 100 кг. Пожарная нагрузка (в составе оборудования и мебели) размещена равномерно по площади помещения.
2 Расчет критериев пожарной опасности
2.1 Определение необходимого условия.
В помещении обращается легковоспламеняющаяся жидкость (ЛВЖ) с температурой вспышки менее 28 °C, что соответствует необходимому условию отнесения помещения к взрывопожароопасной категории А.
За расчетный вариант принимается аварийная разгерметизация емкости с бензином объемом 5 л, приводящая к поступлению паров бензина в помещение с возможностью возникновения пожара.
2.2 Определение достаточного условия отнесения к категории А.
Рассчитывается избыточное давление взрыва DP, кПа, по сокращенной формуле (4у) для бензина:
,
| где Vп | = (6,8 · 5,2 · 3,5) = 124 м3; |
| m | – масса паров бензина, поступивших в помещение в результате аварийной ситуации, кг: |
m = W · Fи · T,
Fи – площадь испарения, м2; определяется по п. 7 НПБ 105-03 [1] и составляет 0,5 м2;
W – интенсивность испарения, кг/(с·м2):
W = 10-6 · h ·
· Pн,
h = 2,4 по таблице 3 [1] для исходных данных по температуре и скорости воздушного потока,
кПа,
W = 10-6 · 2,4 ·
· 31,6 = 7,4 · 10-4 кг/(с·м2),
m = 7,4 · 10-4 · 0,5 · 3600 = 1,33 кг.
Рассчитанная масса паров превышает фактическое количество разлившейся жидкости (вследствие высокой скорости испарения бензина), поэтому в дальнейших расчетах за массу паров принимается фактический объем бензина в емкости 0,5 л.
m = V · r = 0,0005 · 725 = 0,36 кг.
кПа.
Результаты расчетов критериев взрывопожарной опасности показывают, что при расчетном варианте аварии необходимое условие достигается (наличие ЛВЖ), но его количества недостаточно (DP меньше 5 кПа) для выполнения условия, позволяющего отнести данное помещение к категории А.
2.3 Определяются необходимые условия отнесения к пожароопасной категории.
а) В помещении находятся ЛВЖ и горючие твердые материалы, что соответствует необходимому условию отнесения помещения к одной из пожароопасных категорий (В1 - В4).
б) Для конкретизации категории рассчитываются: пожарная нагрузка Q, МДж, и удельная пожарная нагрузка g, МДж/м2.
,
Q = 40,36 · 43,641 + 2 · 26,9 + 1 · 20,7 + 1,5 · 23,983 + 100 · 13,8 = 1553,3 МДж.
МДж/м2.
Рассчитанная удельная пожарная нагрузка соответствует категории В4 (g = 1 ¸ 180 МДж/м2) по таблице 4 НПБ 105-03 [1].
2.4 Определение достаточного условия.
Способ размещения пожарной нагрузки не соответствует нормируемому п. 25 НПБ 105-03 [1], так как в помещении нельзя выделить участки категории В4 с площадью размещения пожарной нагрузки 10 м2 с расстоянием между ними более предельного.
3 Определение категории помещения
Результаты расчетов критериев пожарной опасности показывают, что выполняется необходимое условие для отнесения помещения к категории В4, однако достаточное условие (способ размещения пожарной нагрузки в помещении) не выполняется, поэтому данное помещение следует отнести к категории В3.
А.76 Расчет критериев взрывопожарной и пожарной опасности и определение категории помещения лаборатории хроматографии горючих газов и нефтепродуктов
1 Исходные данные
1.1 Характеристика помещения.
Длина l = 5 м, ширина b = 4 м, высота h = 3 м.
Минимальное расстояние от поверхности пожарной нагрузки до нижнего пояса ферм перекрытия H = 2,3 м.
Расчетная температура воздуха tр = 35 °C – абсолютная максимальная температура воздуха (для района г. Ухты) согласно таблице 2 СНиП 23-01-99* [6].
1.2 Характеристика веществ и материалов, обращающихся (находящихся) в помещении, по справочным данным (приложение Г).
Природный газ (по метану CH4): горючий газ (ГГ).
Твердые, горючие, не пылящие материалы: ПВХ, текстолит, полистирол, ДСП.
Суммарное количество горючих веществ: метан – 2 л или 4 л по объему пробоотборника; ПВХ - 1,5 кг; текстолит – 3 кг; полистирол – 8 кг; ДСП – 100 кг.
1.3 Характеристика технологического процесса и оборудования.
В помещении лаборатории производится хроматографический анализ газа и размещено следующее оборудование: пробоотборник объемом 2 л (0,002 м3), давлением 50 кг/см2 (4903 кПа) или 4 л (0,004 м3), давлением P = 50 кг/см2 (4903 кПа); 2 хроматографические станции; 2 компьютера; 3 стула (ДСП); 3 стола (металл, столешница ДСП).
Пожарная нагрузка в составе приборов и оборудования размещена равномерно по площади помещения.
2 Расчет критериев взрывопожарной и пожарной опасности
2.1 Определение необходимого условия.
В помещении обращается ГГ, способный образовывать взрывоопасные газовоздушные смеси, что соответствует необходимому условию отнесения помещения к взрывопожароопасной категории А.
За расчетный вариант принимается аварийная разгерметизация большего пробоотборника, приводящая к выбросу горючей среды (ГГ) в помещение с возможностью возникновения пожара.
2.2 Определение достаточного условия отнесения помещения к категории А.
Рассчитывается избыточное давление взрыва DP, кПа, по формуле (1гу) для метана:
,
| где Vп | = (5 · 4 · 3) = 60 м3; |
| Vг | – объем газа, поступившего в результате аварийной ситуации, м3; |
Vг = 0,01 · P · V= 0,01 · 4903 · 0,004 = 0,196 м3,
кПа.
Результаты расчетов критериев взрывопожарной опасности показывают, что при расчетном варианте аварии необходимое условие достигается (наличие горючего газа), но его количества недостаточно для выполнения условия, позволяющего отнести данное помещение к категории А.
2.3 Определяются необходимые условия отнесения установки к пожароопасной категории.
а) В помещении находятся горючие твердые не пылящие материалы, что соответствует необходимому условию отнесения помещения к одной из пожароопасных категорий (от В1 до В4).
б) Для конкретизации категории рассчитываются: пожарная нагрузка Q, МДж, и удельная пожарная нагрузка g, МДж/м2.
,
Q = 1,5 · 20,7 + 3 · 23,983 + 8 · 39,8 + 100 · 13,8 = 2912,8 МДж.
МДж/м2.
Рассчитанная удельная пожарная нагрузка соответствует категории В4 (g = 1 ¸ 180 МДж/м2) по таблице 4 НПБ 105-03 [1].
2.4 Определение достаточного условия.
Способ размещения пожарной нагрузки не соответствует нормируемому п. 25 НПБ 105-03 [1].
3 Определение категории помещения
Результаты расчетов критериев пожарной опасности показывают, что выполняется необходимое условие (рассчитанная удельная пожарная нагрузка соответствует категории В4), однако достаточное условие не выполняется, поэтому данное помещение следует отнести к категории В3.
А.77 Расчет критериев взрывопожарной и пожарной опасности и определение категории помещения лаборатории хроматографии нестабильного газового конденсата
1 Исходные данные
1.1 Характеристика помещения.
Длина l = 8 м; ширина b = 5,6 м; высота h = 3 м.
Минимальное расстояние от поверхности пожарной нагрузки до нижнего пояса ферм перекрытия H составляет 1,5 м.
Расчетная температура воздуха tр = 35 °C – абсолютная максимальная температура воздуха (для района г. Ухты) согласно таблице 2 СНиП 23-01-99* [6].
1.2 Характеристика веществ и материалов, обращающихся (находящихся) в помещении, по справочным данным (приложение Г).
Конденсат (по н-октану): легковоспламеняющаяся жидкость (ЛВЖ).
ПВХ, текстолит, полистирол, ДСП: твердые горючие не пылящие материалы (в составе оборудования и мебели).
Суммарное количество горючего материала: октан – 0,35 л (или 0,25 кг); ПВХ – 1 кг; текстолит - 1,5 кг; полистирол - 3 кг; ДСП - 80 кг.
1.3 Характеристика технологического процесса и оборудования.
В лаборатории, предназначенной для проведения хроматографического анализа нестабильного газового конденсата с применением химических реагентов, в том числе ЛВЖ, размещено следующее оборудование и мебель: контейнер с нестабильным газовым конденсатом объемом 0,35 л); хроматограф; стол; шкаф.
2 Расчет критериев пожарной опасности
2.1 Определение необходимого условия.
В помещении обращается легковоспламеняющаяся жидкость (н-октан) с температурой вспышки менее 28 °C, что соответствует необходимому условию отнесения помещения к взрывопожароопасной категории А.
За расчетный вариант принимается разгерметизация контейнера с конденсатом, приводящая к истечению горючей среды в помещение с возможностью возникновения пожара.
2.2 Определение достаточного условия отнесения помещения к категории А.
Рассчитывается избыточное давление взрыва DP, кПа, по формуле (1у) для октана:
,
где Vп = (5 · 2,4 · 3,4) = 40,8 м3;
кг/м3;
m – масса паров октана, поступивших в помещение в результате аварийной ситуации, кг:
m = W · Fи · T,
| где T | – время испарения, принимается 3600 с по НПБ 105-03 [1]; |
| Fи | – площадь испарения, вычисляется по п. 7 НПБ 105-03 [1] и составляет 0,35 м2; |
| W | – интенсивность испарения, кг/(с·м2). |
W = 10-6 · h ·
· Pн,
| где h | = 2,4 принимается по таблице 3 [1] для исходных данных, |
| Pн | – давление насыщенных паров при расчетной температуре жидкости tр, кПа, |
кПа,
W = 10-6 · 2,4 ·
· 3,2 = 8,2 · 10-5 кг/(c·м2),
m = 8,2 · 10-5 · 0,35 · 3600 = 0,1 кг.
кПа.
Избыточное давление взрыва DP менее 5 кПа, следовательно, достаточное условие отнесения помещения к взрывопожароопасной категории А не достигается.
2.3 Определяется необходимое условие отнесения помещения к категории В1 - В4.
а) В помещении обращаются горючие вещества и материалы, что соответствует необходимому условию отнесения помещения к одной из пожароопасных категорий (от В1 до В4).
б) Для конкретизации категории рассчитываются: пожарная нагрузка Q, МДж, и удельная пожарная нагрузка g, МДж/м2.
,
Q = 0,25 · 44,787 + 1 · 20,7 + 1,5 · 23,983 + 80 · 13,8 = 1171,87 МДж,
.
За площадь размещения пожарной нагрузки принимается участок 10 м2.
МДж/м2.
Рассчитанная удельная пожарная нагрузка соответствует категории В4 (g = 1 ¸ 180 МДж/м2) по таблице 4 НПБ 105-03 [1].
2.4 Определение достаточного условия отнесения помещения к категории В4.
Способ размещения пожарной нагрузки соответствует нормируемому.
3 Определение категории помещения
Результаты расчетов критериев пожарной опасности показывают, что выполняются необходимое (рассчитанная удельная пожарная нагрузка соответствует категории В4) и достаточное (способ размещения пожарной нагрузки соответствует нормируемому) условия, позволяющие отнести данное помещение к категории В4.
А.78 Расчет критериев взрывопожарной и пожарной опасности и определение категории помещения лаборатории калибровки аналитических проб
1 Исходные данные
1.1 Характеристика помещения.
Длина l = 8 м; ширина b = 4,5 м; высота h= 3 м.
Минимальное расстояние от поверхности пожарной нагрузки до нижнего пояса ферм перекрытия H составляет 2,2 м.
Расчетная температура воздуха tр = 40 °C – абсолютная максимальная температура воздуха (для района г. Астрахани) согласно таблице 2 СНиП 23-01-99* [6].
Скорость воздушного потока в помещении в теплый период года составляет 0,5 м/с.
1.2 Характеристика веществ и материалов, обращающихся (находящихся) в помещении, по справочным данным (приложение Г).
Ацетон, гексан, изооктан, спирт изопропиловый, эфир диэтиловый: легковоспламеняющиеся жидкости (ЛВЖ).
ПВХ, текстолит, полистирол, ДСП: твердые горючие не пылящие материалы (в составе оборудования и мебели).
Суммарное количество горючих материалов: ацетон – 1 л (в емкостях по 0,5 л); гексан – 1 л (в емкостях по 0,5 л); изооктан – 1 л (в емкостях по 0,5 л); спирт изопропиловый – 1 л (в емкостях по 0,5 л); эфир диэтиловый – 1 л (в емкостях по 0,5 л); ПВХ – 1 кг; текстолит – 1,5 кг; полистирол – 3 кг; ДСП – 200 кг.
1.3 Характеристика технологического процесса и оборудования.
В лаборатории, предназначенной для калибровки аналитических проб с применением химических реагентов, в том числе ЛВЖ, размещено следующее оборудование и мебель: хроматографы; дистиллятор; аналитические весы; 8 лабораторных столов; 2 письменных стола металлический ящик, обшитый асбестом, с ЛВЖ.
2 Расчет критериев пожарной опасности
2.1 Определение необходимого условия.
В помещении обращается легковоспламеняющаяся жидкость (ЛВЖ) с температурой вспышки менее 28 °C, что соответствует необходимому условию отнесения помещения к взрывопожароопасной категории A.
За расчетный вариант принимается разлив емкости с гексаном (как наиболее опасного вещества по таблице ЛВЖ) объемом 0,5 л, приводящая к поступлению паров гексана в помещение с возможностью возникновения пожара.
2.2 Определение достаточного условия отнесения помещения к категории А.
Расчет избыточного давления взрыва DP, кПа, производится по формуле (1у) для гексана (см. 6.4.3):
,
где Vп = (8 · 4,5 · 3) = 108 м3;
кг/м3,
m– масса паров гексана, поступивших в помещение в результате расчетной аварии, кг:
m = W · Fи · T,
| где T | – время испарения, принимается 3600 с по НПБ 105-03 [1], |
| Fи | – площадь испарения, принимается по п. 7 НПБ 105-03 [1] из расчета, что 1 л ЛВЖ разливается на 1 м2, следовательно, 0,5 л ЛВЖ разольется на 0,5 м2. |
| W | – интенсивность испарения, кг/(с·м2): |
W = 10-6 · h ·
· Pн,
где h = 2,8 по таблице 3 [1] для исходных данных,
кПа.
W = 10-6 · 2,8 ·
·37,33 = 1,0 · 10-3 кг/(с·м2),
m = 1,0 · 10-3 · 0,5 · 3600 = 1,8 кг.
Рассчитанная масса паров ЛВЖ превышает фактическую массу разлившегося гексана поэтому в дальнейших расчетах учитывалась масса ЛВЖ в емкости.
m = V · r = 0,0005 · 654,81 = 0,33 кг.
кПа.
Избыточное давление взрыва DP менее 5 кПа, следовательно, достаточное условие отнесения помещения к взрывопожароопасной категории А не достигается.
2.3 Определяются необходимые условия отнесения помещения к категории В1 - В4.
а) В помещении обращаются горючие вещества и материалы, что соответствует необходимому условию отнесения помещения к одной из пожароопасных категорий (от В1 до В4).
б) Для конкретизации категории рассчитываются: пожарная нагрузка Q, МДж, и удельная пожарная нагрузка g, МДж/м2.
,
Gац = 0,001 · 790,8 = 0,79 кг; Gгекс = 0,001 · 654,81 = 0,65 кг; Gизоокт = 0,001 · 703 = 0,7 кг;
Gсп.изопр. = 0,001 · 784,4 = 0,78 кг; Gэф. диэтил. = 0,001 · 713,5 = 0,71 кг,
Q = 0,79 · 31,36 + 0,65 · 45,105 + 0,7 · 44,817 + 0,78 · 34,1388 + 0,71 · 34,147 + 1 · 20,7 +
+ 1,5 · 23,983 + 3 · 39,8 + 200 · 13,8 = 3072,4 МДж.
.
За площадь размещения пожарной нагрузки принимается площадь помещения.
МДж/м2.
Рассчитанная удельная пожарная нагрузка соответствует категории В4 (g = 1 ¸ 180 МДж/м2) по таблице 4 НПБ 105-03 [1].
2.4 Определение достаточного условия отнесения помещения к категории В4.
Способ размещения пожарной нагрузки не соответствует нормируемому п. 25 НПБ 105-03 [1], так как в помещении нельзя выделить участки категории В4 площадью 10 м2 с расстоянием между ними более предельного.
3 Определение категории помещения
Результаты расчетов критериев пожарной опасности показывают, что выполняется необходимое условие (рассчитанная удельная пожарная нагрузка соответствует категории В4), однако достаточное условие (способ размещения пожарной нагрузки в помещении) не выполняется, поэтому данное помещение следует отнести к категории В3.
А.79 Расчет критериев взрывопожарной и пожарной опасности и определение категории помещения приготовления растворов
1 Исходные данные
1.1 Характеристика помещения.
Длина l = 8 м, ширина b = 2,7 м, высота h = 3 м.
Минимальное расстояние от поверхности пожарной нагрузки до нижнего пояса ферм перекрытия H составляет 1,2 м.
Расчетная температура воздуха tр = 40 °C – абсолютная максимальная температура воздуха (для района г. Астрахани) согласно таблице 2 СНиП 23-01-99* [6].
1.2 Характеристика веществ и материалов, обращающихся (находящихся) в помещении, по справочным данным (приложение Г).
Ацетон, бензол, изооктан, спирт бутиловый, гексан, гептан, толуол: легковоспламеняющаяся жидкость (ЛВЖ).
ДСП: твердый горючий не пылящий материал (в составе оборудования и мебели).
Суммарное количество горючих материалов: ацетон – 1 л (в емкостях по 0,5 л); бензол - 6 л (в емкостях по 0,5 л); изооктан – 1 л (в емкостях по 0,5 л); спирт бутиловый – 1 л (в емкостях по 0,5 л); гексан – 1 л (в емкостях по 0,5 л); гептан – 1 л (в емкостях по 0,5 л); толуол - 6 л (в емкостях по 0,5 л); ДСП – 100 кг.
1.3 Характеристика технологического процесса и оборудования.
В помещении, предназначенном для приготовления растворов с применением химических реагентов, в том числе ЛВЖ, находятся: 2 вытяжных шкафа; стол; шкаф; металлически ящик (обшитый асбестом) с ЛВЖ.
2 Расчет критериев пожарной опасности
2.1 Определение необходимого условия.
В помещении обращаются ЛВЖ с температурой вспышки менее 28 °C, способные образовывать взрывоопасные паровоздушные смеси, что соответствует необходимому условию отнесения помещения к взрывопожароопасной категории А.
За расчетный вариант принимается аварийная разгерметизация емкости с гексаном (как наиболее опасного вещества) объемом 0,5 л, приводящая к поступлению горючей среды (паров ЛВЖ) в помещение с возможностью возникновения пожара.
2.2 Определение достаточного условия отнесения помещения к категории А. Расчет избыточного давления взрыва DP, кПа, производится по формуле (1у) для гексана:
,
где Vп = (8 · 2,7 · 3) = 64,8 м3;
кг/м3,
m– масса паров гексана, поступивших в помещение в результате расчетной аварии, кг:
m = W · Fи · T,
| где T | – время испарения, принимается 3600 с по НПБ 105-03 [1], |
| Fи | – площадь испарения, принимается по п. 7 [1] из расчета, что 1 л ЛВЖ разливается на 1 м2, следовательно, 0,5 л ЛВЖ разольется на 0,5 м2. |
| W | – интенсивность испарения, кг/(с·м2): |
W = 10-6 · h ·
· Pн,
где h = 2,8 по таблице 3 [1] для исходных данных,
кПа.
W = 10-6 · 2,8 ·
· 37,33 = 1,0 · 10-3 кг/(с·м2),
m = 1,0 · 10-3 · 0,5 · 3600 = 1,8 кг.
Рассчитанная масса паров ЛВЖ превышает фактическую массу разлившегося гексана, поэтому в дальнейших расчетах учитывалась масса ЛВЖ в емкости.
m = V · r = 0,0005 · 654,81 = 0,33 кг.
кПа.
3. Определение категории помещения
Результаты расчетов критериев пожарной опасности показывают, что выполняются необходимое (наличие ЛВЖ с температурой вспышки менее 28 °C) и достаточное (расчетное избыточное давление превышает 5 кПа) условия, что позволяет отнести данное помещение к категории А.
А.80 Расчет критериев взрывопожарной и пожарной опасности и определение категории помещения лаборатории теплоэнергетических процессов
1 Исходные данные
1.1 Характеристика помещения.
Длина l = 8 м, ширина b = 5,6 м, высота h = 3 м.
Минимальное расстояние от поверхности пожарной нагрузки до нижнего пояса ферм перекрытия H составляет 1,2 м.
Расчетная температура воздуха tр = 40 °C – абсолютная максимальная температура воздуха (для района г. Астрахани) согласно таблице 2 СНиП 23-01-99* [6].
1.2 Характеристика веществ и материалов, обращающихся (находящихся) в помещении, по справочным данным (приложение Г).
Гексан, спирт изопропиловый, эфир диэтиловый: легковоспламеняющаяся жидкость (ЛВЖ).
ПВХ, текстолит, полистирол, ДСП: твердые горючие не пылящие материалы (в составе оборудования и мебели).
Суммарное количество горючих материалов: гексан – 1 л (в емкостях по 0,5 л); спирт изопропиловый – 1 л (в емкостях по 0,5 л); эфир диэтиловый – 1 л (в емкостях по 0,5 л); ПВХ - 2,5 кг; текстолит – 2 кг; полистирол – 4 кг; ДСП – 150 кг.
1.3 Характеристика технологического процесса и оборудования.
В помещении лаборатории определяются теплоэнергетические характеристики веществ с применением химических реагентов, в том числе ЛВЖ, и находятся: 2 вытяжных шкафа; 10 лабораторных столов; шкаф сушильный; фотоэлектроколориметр; солемер; компьютер; металлический ящик для хранения ЛВЖ.
2 Расчет критериев пожарной опасности
2.1 Определение необходимого условия.
В помещении обращается ЛВЖ с температурой вспышки менее 28 °C, способная образовывать взрывоопасную паровоздушную смесь, что соответствует необходимому условию отнесения помещения к взрывопожароопасной категории А.
За расчетный вариант принимается аварийная разгерметизация емкости с гексаном (как наиболее взрывоопасного вещества) объемом 0,5 л, приводящая к поступлению горючей среды (ЛВЖ) в помещение с возможностью возникновения пожара.
2.2 Определение достаточного условия отнесения помещения к категории А.
Расчет избыточного давления взрыва DP, кПа, производится по сокращенной формуле (1у) для гексана:
,
| где Vп | = (8 · 5,6 · 3) = 134,4 м3; |
| r | – плотность пара при расчетной температуре, кг/м3: |
кг/м3;
m – масса паров ЛВЖ, поступивших в помещение в результате аварийной ситуации, кг, принимается равной массе разлившейся жидкости:
m = 0,0005 · 654,8 = 0,33 кг.
кПа.
Результаты расчетов критериев взрывопожарной опасности показывают, что при расчетном варианте аварии необходимое условие достигается (наличие ЛВЖ), но его количества недостаточно для выполнения достаточного условия, позволяющего отнести данное помещение к категории А.
2.3 Определяются необходимые условия отнесения установки к категории В1 - В4.
а) В помещении обращаются горючие вещества и материалы, что соответствует необходимому условию отнесения помещения к одной из пожароопасных категорий (от В1 до В4).
б) Для конкретизации категории рассчитываются: пожарная нагрузка Q, МДж, и удельная пожарная нагрузка g, МДж/м2.
,
Gгекс = 0,001 · 654,81 = 0,65 кг; Gсп. изопр. = 0,001 · 784,4 = 0,78 г; Gэф. диэт = 0,001 · 713,5 = 0,7 кг;
Q= 0,65 · 45,105 + 0,78 · 34,1388 + 0,7 · 34,147 + 2,5 · 20,7 + 2 · 23,983 + 4 · 39,8 +
+ 150 · 13,8 = 2408,8 МДж,
.
За площадь размещения пожарной нагрузки принимается площадь помещения.
МДж/м2.
Рассчитанная удельная пожарная нагрузка соответствует категории В4 (g = 1 ¸ 180 МДж/м2) по таблице 4 НПБ 105-03 [1].
2.4 Определение достаточного условия.
Способ размещения пожарной нагрузки не соответствует нормируемому п. 25 НПБ 105-03 [1], так как в помещении нельзя выделить участки категории В4 площадью 10 м2 с расстоянием между ними более предельного.
3 Определение категории помещения
Результаты расчетов критериев пожарной опасности показывают, что выполняется необходимое условие (рассчитанная удельная пожарная нагрузка соответствует категории В4), однако достаточное условие (способ размещения пожарной нагрузки в помещении) не выполняется, поэтому данное помещение следует отнести к категории В3.
А.81 Расчет критериев взрывопожарной и пожарной опасности и определение категории помещения лаборатории анализа аминов
1 Исходные данные
1.1 Характеристика помещения.
Длина l = 6,9 м, ширина b = 3,4 м, высота h = 3,5 м.
Минимальное расстояние от поверхности пожарной нагрузки до нижнего пояса ферм перекрытия H составляет 2,7 м.
1.2 Характеристика веществ и материалов, обращающихся (находящихся) в помещении, по справочным данным (приложение Г).
Серная и другие минеральные кислоты, соли и щелочи – негорючие вещества.
ДСП, ПВХ: твердый горючий не пылящий материал (в составе оборудования и мебели).
1.3 Характеристика технологического процесса и оборудования.
В помещении, предназначенном для проведения анализа аминов, находятся: 3 вытяжных шкафа; 2 стола; шкаф; стеллаж металлический, генератор, блок питания.
Суммарная масса горючих веществ и материалов: ДСП – 50 кг, ПВХ – 1,5 кг.
Пожарная нагрузка размещена на одном участке площадью 9,7 м2.
2 Расчет критериев пожарной опасности
2.1 Определение необходимых условий.
а) В помещении обращаются горючие вещества и материалы, что соответствует необходимому условию отнесения помещения к одной из пожароопасных категорий (от В1 до В4).
б) Для конкретизации категории рассчитываются: пожарная нагрузка Q, МДж, и удельная пожарная нагрузка g, МДж/м2.
,
Q = 50 · 13,8 + 1,5 · 20,8 = 721,1 МДж,
.
За площадь размещения пожарной нагрузки принимается участок 10 м2.
МДж/м2.
Рассчитанная удельная пожарная нагрузка соответствует категории В4 (g = 1 ¸ 180 МДж/м2) по таблице 4 НПБ 105-03 [1].
2.2 Определение достаточного условия отнесения помещения к категории В4.
Способ размещения пожарной нагрузки соответствует нормируемому.
3 Определение категории помещения
Результаты расчетов критериев пожарной опасности показывают, что выполняется необходимое (рассчитанная удельная пожарная нагрузка соответствует категории В4) и достаточное (способ размещения пожарной нагрузки в помещении соответствует нормируемому) условия, что позволяет отнести данное помещение к категории В4.
А.82 Расчет критериев взрывопожарной и пожарной опасности и определение категории помещения лаборатории анализа стабильного конденсата
1 Исходные данные
1.1 Характеристика помещения.
Длина l = 8 м, ширина b = 5,6 м, высота h = 3 м.
Минимальное расстояние от поверхности пожарной нагрузки до нижнего пояса ферм перекрытия H составляет 2,2 м.
Расчетная температура воздуха tр = 40 °C – абсолютная максимальная температура воздуха (для района г. Астрахани) согласно таблице 2 СНиП 23-01-99* [6].
1.2 Характеристика веществ и материалов, обращающихся (находящихся) в помещении, по справочным данным (приложение Г).
Гексан, гептан, пентан, спирт изопропиловый, толуол:легковоспламеняющиеся жидкости (ЛВЖ).
ДСП: твердый горючий не пылящий материал (в составе оборудования и мебели).
Суммарное количество горючих материалов: гексан – 2 л (в емкостях по 0,5 л); гептан – 1 л (в емкостях по 0,5 л); пентан – 2 л (в емкостях по 0,5 л); спирт изопропиловый - 2 л (в емкостях по 0,5 л); толуол – 3 л (в емкостях по 0,5 л); ДСП – 100 кг.
1.3 Характеристика технологического процесса и оборудования.
В помещении лаборатории производится анализ конденсата с применением химических реагентов и поверочных растворов, в том числе ЛВЖ, и находятся: 2 вытяжных шкафа; сушильный шкаф; 4 островных стола; 5 лабораторных столов, металлический ящик для хранения суточной нормы ЛВЖ.
2 Расчет критериев пожарной опасности
2.1 Определение необходимого условия.
В помещении обращаются легковоспламеняющиеся жидкости (ЛВЖ) с температурой вспышки менее 28 °C, способные образовывать взрывоопасные паровоздушные смеси, что соответствует необходимому условию отнесения помещения к взрывопожароопасной категории А.
За расчетный вариант принимается аварийная разгерметизация емкости с пентаном (как наиболее взрывоопасного вещества) объемом 0,5 л, приводящая к поступлению горючей среды (ЛВЖ) в помещение с возможностью возникновения пожара.
2.2 Определение достаточного условия отнесения помещения к категории А.
Расчет избыточного давления взрыва DP, кПа, производится по сокращенной формуле (1у) для пентана:
,
где Vп = (8 · 5,6 · 3) = 134,4 м3;
кг/м3,
m – масса паров пентана, поступивших в помещение в результате аварийной ситуации, кг, принимается равной всей массе разлившейся жидкости (так как температура кипения пентана (+ 37 °C) превышает расчетную):
m = 0,0005 · 621,4 = 0,31 кг,
кПа.
Избыточное давление взрыва DP менее 5 кПа, следовательно, достаточное условие отнесения помещения к взрывопожароопасной категории А не достигается.
2.3 Определение необходимого условия для отнесения помещения к одной из пожароопасных категорий.
а) В помещении обращаются горючие вещества и материалы, что соответствует необходимому условию отнесения помещения к одной из пожароопасных категорий (от В1 до В4).
б) Для конкретизации категории рассчитываются: пожарная нагрузка Q, МДж, и удельная пожарная нагрузка g, МДж/м2.
,
Gгекс = 0,002 · 654,81 = 1,3 кг; Gгепт. = 0,001 · 683,76 = 0,68 кг; Gпен. = 0,002 · 621,4 = 1,24 кг;
Gсп. изопроп. = 0,002 · 784,4 = 1,57 кг; Gтолуола = 0,003 · 866,9 = 2,6 кг;
Q = 1,3 · 45,105 + 0,68 · 44,919 + 1,24 · 45,35 + 1,57 · 34,1388 + 2,6 · 40,936 +
+100 · 13,8 = 1685,3 МДж.
,
МДж/м2.
Рассчитанная удельная пожарная нагрузка соответствует категории В4 (g = 1 ¸ 180 МДж/м2) по таблице 4 НПБ 105-03 [1].
2.4 Определение достаточного условия.
Способ размещения пожарной нагрузки не соответствует нормируемому п. 25 НПБ 105-03 [1], так как в помещении нельзя выделить участки размещения пожарной нагрузки площадью 10 м2 с расстоянием между ними более предельного.
3 Определение категории помещения
Результаты расчетов критериев пожарной опасности показывают, что выполняется необходимое условие (рассчитанная удельная пожарная нагрузка соответствует категории В4), однако достаточное условие (способ размещения пожарной нагрузки в помещении) не выполняется, поэтому данное помещение следует отнести к категории В3.
А.83 Расчет критериев взрывопожарной и пожарной опасности и определение категории помещения лаборатории анализа общей серы
1 Исходные данные
1.1 Характеристика помещения.
Длина l = 8 м, ширина b = 5,2 м, высота h = 3 м.
Минимальное расстояние от поверхности пожарной нагрузки до нижнего пояса ферм перекрытия H составляет 2,2 м.
1.2 Характеристика веществ и материалов, обращающихся (находящихся) в помещении, по справочным данным (приложение Г).
Сера: горючее вещество.
ДСП: твердый горючий не пылящий материал (в составе оборудования и мебели).
1.3 Характеристика технологического процесса.
В помещении лаборатории производятся анализ серы и находятся: 4 лабораторных стола; шкаф лабораторный; 2 шкафа вытяжных; 4 островных стола; стол письменный.
Суммарное количество горючих веществ и материалов: сера – 2 кг, ДСП – 150 кг.
Пожарная нагрузка размещена равномерно по всей площади помещения.
2 Расчет критериев пожарной опасности
2.1 Определение необходимых условий.
а) В помещении обращаются твердые не пылящие горючие вещества и материалы, что соответствует необходимому условию отнесения помещения к одной из пожароопасных категорий (от В1 до В4).
б) Для конкретизации категории рассчитываются: пожарная нагрузка Q, МДж, и удельная пожарная нагрузка g, МДж/м2.
,
Q = 2 · 9,205 + 150 · 13,8 = 2088,4 МДж,
.
За площадь размещения пожарной нагрузки принимается площадь помещения,
МДж/м2.
Рассчитанная удельная пожарная нагрузка соответствует категории В4 (g = 1 ¸ 180 МДж/м2) по таблице 4 НПБ 105-03 [1].
2.2 Определение достаточного условия отнесения помещения к категории В3.
Способ размещения пожарной нагрузки не соответствует нормируемому п. 25 НПБ 105-03 [1], так как в помещении нельзя выделить участки категории В4 площадью 10 м2 с расстоянием между ними более предельного.
3 Определение категории помещения
Результаты расчетов критериев пожарной опасности показывают, что выполняется необходимое условие (рассчитанная удельная пожарная нагрузка соответствует категории В4), однако достаточное условие (способ размещения пожарной нагрузки в помещении) не выполняется, поэтому данное помещение следует отнести к категории В3.
А.84 Расчет критериев взрывопожарной и пожарной опасности и определение категории помещения лаборатории анализа нефтепродуктов
1 Исходные данные
1.1 Характеристика помещения.
Длина l = 8 м; ширина b = 5,2 м; высота h = 3 м.
Минимальное расстояние от поверхности пожарной нагрузки до нижнего пояса ферм перекрытия H составляет 2,2 м.
Расчетная температура воздуха tр = 40 °C – абсолютная максимальная температура воздуха (для района г. Астрахани) согласно таблице 2 СНиП 23-01-99* [6].
1.2 Характеристика веществ и материалов, обращающихся (находящихся) в помещении, по справочным данным (приложение Г).
Бензин: легковоспламеняющаяся жидкость (ЛВЖ).
Дизельное топливо «З»: легковоспламеняющаяся жидкость (ЛВЖ).
ДСП: твердый горючий не пылящий материал (в составе оборудования и мебели).
Суммарное количество горючих материалов: бензин – 6 л (в емкостях по 0,5 л); дизельное топливо – 6 л (в емкостях по 0,5 л); ДСП – 150 кг.
1.3 Характеристика технологического процесса и оборудования.
В лаборатории, предназначенной для анализа нефтепродуктов, размещено следующее оборудование и мебель: аппараты для разгонки нефтепродуктов; островной стол; 3 вытяжных шкафа; 3 лабораторных стола.
2 Расчет критериев пожарной опасности
2.1 Определение необходимого условия.
В помещении обращается ЛВЖ (бензин) с температурой вспышки менее 28 °C, способной образовывать взрывоопасную паровоздушную смесь, что соответствует необходимой условию отнесения помещения к взрывопожароопасной категории А.
За расчетный вариант принимается аварийная разгерметизация емкости с бензином объемом 0,5 л, приводящая к поступлению горючей среды (паров бензина) в помещение с возможностью возникновения пожара.
2.2 Определение достаточного условия отнесения помещения к категории А.
Рассчитывается избыточное давление взрыва DP, кПа, по формуле (4у) по бензину:
,
| где Vп | = (8 · 5,2 · 3) = 124,8 м3; |
| m | – масса паров бензина, поступивших в помещение в результате аварийной ситуации, кг, принимается равной массе разлившейся жидкости: |
m = 0,0005 · 725 = 0,36 кг.
кПа.
Избыточное давление взрыва DP менее 5 кПа, следовательно, достаточное условие отнесения помещения к взрывопожароопасной категории А не достигается.
2.3 Определение необходимых условий отнесения помещения к категории В1 - В4.
а) В помещении обращаются горючие вещества и материалы, что соответствует необходимому условию отнесения помещения к одной из пожароопасных категорий (от В1 до В4).
б) Для конкретизации категории рассчитываются: пожарная нагрузка Q, МДж, и удельная пожарная нагрузка g, МДж/м2.
,
Gбенз = 0,006 · 725 = 4,35 кг; Gдизтоп = 0,006 · 804 = 4,82 кг;
Q = 4,35 · 43,641 + 4,82 · 43,59 + 150 · 13,8 = 2470 МДж.
.
За площадь размещения пожарной нагрузки принимается площадь помещения,
МДж/м2.
Рассчитанная удельная пожарная нагрузка соответствует категории В4 (g = 1 ¸ 180 МДж/м2) по таблице 4 НПБ 105-03 [1].
2.4 Определение достаточного условия отнесения помещения к категории В3.
Способ размещения пожарной нагрузки не соответствует нормируемому п. 25 НПБ 105-03 [1], т.к. в помещении нельзя выделить участки категории В4 площадью 10 м2 с расстоянием между ними более предельных.
3 Определение категории помещения
Результаты расчетов критериев пожарной опасности показывают, что выполняется необходимое условие (удельная пожарная нагрузка соответствует категории В4), однако достаточное условие (способ размещения пожарной нагрузки в помещении) не выполняется, поэтому данное помещение следует отнести к категории В3.
А.85 Расчет критериев взрывопожарной и пожарной опасности и определение категории помещения лаборатории внутреннего контроля
1 Исходные данные
1.1 Характеристика помещения.
Длина l = 8,2 м; ширина b = 6 м; высота h = 3,2 м.
Минимальное расстояние от поверхности пожарной нагрузки до нижнего пояса ферм перекрытия H составляет 2,4 м.
Расчетная температура воздуха tр = 40 °C – абсолютная максимальная температура воздуха (для района г. Астрахани) согласно таблице 2 СНиП 23-01-99* [6].
Скорость движения воздушного потока в помещении в теплый период года составляет 0,2 м/с.
1.2 Характеристика веществ и материалов, обращающихся (находящихся) в помещении, по справочным данным (приложение Г).
Бензин, дизтопливо «З», ацетон, конденсат (по н-октану): легковоспламеняющаяся жидкость (ЛВЖ).
ДСП: твердый горючий не пылящий материал (в составе оборудования и мебели).
Суммарное количество горючих материалов: бензин – 30 л (в емкостях по 0,5 л); дизельное топливо – 5 л (в емкостях по 0,5 л); ацетон – 1 л (в емкостях по 0,5 л); конденсат – 1 л (в емкостях по 0,5 л); ДСП – 70 кг.
1.3 Характеристика технологического процесса и оборудования.
В лаборатории, предназначенной для проведения физико-химических испытаний нефтепродуктов с применением химических реагентов, в том числе ЛВЖ, размещено следующее оборудование и мебель: металлический ящик, обшитый асбестом, с ЛВЖ; 2 вытяжных шкафа; островной стол; 2 письменных стола.
2 Расчет критериев пожарной опасности
2.1 Определение необходимого условия.
В помещении обращаются ЛВЖ с температурой вспышки менее 28 °C, способные образовывать взрывоопасные паровоздушные смеси, что соответствует необходимому условию отнесения помещения к взрывопожароопасной категории A.
За расчетный вариант принимается аварийная разгерметизация емкости с бензином (как наиболее взрывоопасного вещества согласно ряду ЛВЖ, см. 6.4.3) объемом 0,5 л, приводящая к поступлению горючей среды (паров бензина) в помещение с возможностью возникновения пожара.
2.2 Определение достаточного условия отнесения помещения к категории А.
Рассчитывается избыточное давление взрыва DP, кПа, по формуле (4у) для бензина:
,
| где Vп | = (8,2 · 6 · 3,2) = 157,44 м3; |
| m | – масса паров бензина, поступивших в помещение в результате аварийной ситуации принимается равной массе жидкости в емкости, кг: |
m = 0,0005 · 725 = 0,36 кг.
кПа.
Избыточное давление взрыва DP менее 5 кПа, следовательно, достаточное условие отнесения помещения к взрывопожароопасной категории А не достигается.
2.3 Определяется необходимое условие отнесения помещения к категории В1 - В4
а) В помещении обращаются горючие вещества и материалы, что соответствует необходимому условию отнесения помещения к одной из пожароопасных категорий (от В1 до В4).
б) Для конкретизации категории рассчитываются: пожарная нагрузка Q, МДж, и удельная пожарная нагрузка g, МДж/м2.
,
Gбенз = 0,03 · 725 = 21,75 кг; Gдизтопл = 0,005 · 804 = 4 кг;
Gац = 0,001 · 790,8 = 0,79 кг; Gконд = 0,001 · 702,52 = 0,7 кг.
Q = 21,75 · 43,641 + 4 · 43,59 + 0,79 · 31,36 + 0,7 · 44,787 + 70 · 13,8 = 2145,68 МДж.
МДж/м2.
За площадь размещения пожарной нагрузки принимается площадь помещения.
Удельная пожарная нагрузка соответствует категории В4 (g = 1 ¸ 180 МДж/м2) по таблице 4 НПБ 105-03 [1].
2.4 Определение достаточного условия отнесения помещения к категории А.
Способ размещения пожарной нагрузки не соответствует нормируемому п. 25 НПБ 105-03 [1], т. к. в помещении нельзя выделить участки размещения пожарной нагрузки площадью 10 м2 с расстоянием между ними более предельного.
3 Определение категории помещения
Результаты расчетов критериев пожарной опасности показывают, что выполняется необходимое условие (удельная пожарная нагрузка соответствует категории В4), однако достаточное условие (способ размещения пожарной нагрузки в помещении) не выполняется, поэтому данное помещение следует отнести к категории В3.
А.86 Расчет критериев взрывопожарной и пожарной опасности и определение категории помещения лаборатории анализа серы
1 Исходные данные
1.1 Характеристика помещения:
Длина l = 8 м; ширина b = 5,6 м; высота h = 3 м.
Минимальное расстояние от поверхности пожарной нагрузки до нижнего пояса ферм перекрытия H составляет 2,2 м.
1.2 Характеристика веществ и материалов, обращающихся (находящихся) в помещении, по справочным данным (приложение Г).
Сера (гранулированная): горючее вещество.
ДСП: твердый горючий не пылящий материал (в составе оборудования и мебели).
Суммарная масса горючих веществ и материалов: сера – 10 кг; ДСП – 30 кг.
1.3 Характеристика технологического процесса и оборудования.
В лаборатории, предназначенной для проведения анализа серы, размещено следующее оборудование и мебель: муфельная печь; 4 шкафа сушильных; 6 шкафов вытяжных; 4 островных стола; стол письменный.
2 Расчет критериев пожарной опасности
2.1 Определяется необходимое условие отнесения помещения к категории В1 - В4.
а) Помещение не относится к категории А или Б (так как пыль серы не является взрывоопасной по исследованиям [12]. В помещении обращаются горючие вещества и материалы, что соответствует необходимому условию отнесения помещения к одной из пожароопасный категорий (от В1 до В4).
б) Для конкретизации категории рассчитываются: пожарная нагрузка Q, МДж, и удельная пожарная нагрузка g, МДж/м2.
,
Q = 10 · 9,205 + 30 · 13,8 = 506 МДж.
МДж/м2.
За площадь размещения пожарной нагрузки принимается площадь помещения, но не менее 10 м2 по п. 25 НПБ 105-03 [1].
Рассчитанная удельная пожарная нагрузка соответствует категории В4 (g = 1 ¸ 180 МДж/м2) по таблице 4 НПБ 105-03 [1].
2.2 Определение достаточного условия отнесения помещения к категории В4.
Способ размещения пожарной нагрузки соответствует нормируемому.
3 Определение категории помещения
Результаты расчетов критериев пожарной опасности показывают, что выполняются необходимое (рассчитанная удельная пожарная нагрузка соответствует категории В4) и достаточное точное (способ размещения пожарной нагрузки в помещении соответствует нормируемому) условия, позволяющие отнести данное помещение к категории В4.
А.87 Расчет критериев взрывопожарной и пожарной опасности и определение категории помещения лаборатории контроля товарных нефтепродуктов
1 Исходные данные
1.1 Характеристика помещения.
Длина l = 11,5 м; ширина b = 8 м; высота h = 3 м.
Минимальное расстояние от поверхности пожарной нагрузки до нижнего пояса ферм перекрытия H составляет 2,2 м.
Расчетная температура воздуха tр = 40 °C – абсолютная максимальная температура воздуха (для района г. Астрахани) согласно таблице 2 СНиП 23-01-99* [6].
1.2 Характеристика веществ и материалов, обращающихся (находящихся) в помещении, по справочным данным (приложение Г).
Бензин, дизтопливо «З», конденсат (по н-октану), спирт этиловый, толуол: легковоспламеняющаяся жидкость (ЛВЖ).
ПВХ, текстолит, полистирол, ДСП: твердые горючие не пылящие материалы (в составе оборудования и мебели).
Суммарное количество горючих материалов: бензин - 10 л (в емкостях по 1 л); дизтопливо - 10 л (в емкостях по 1 л); конденсат – 10 л (в емкостях по 1 л); спирт этиловый – 2 л (в емкостях по 1 л); толуол – 10 л (в емкостях по 1 л); ПВХ – 1 кг; текстолит – 1,5 кг; полистирол - 3 кг; ДСП - 100 кг.
1.3 Характеристика технологического процесса и оборудования.
В лаборатории, предназначенной для контроля товарных нефтепродуктов, размещено следующее оборудование и мебель: приборы; 4 вытяжных шкафа; 2 островных шкафа; компьютер.
2 Расчет критериев пожарной опасности
2.1 Определение необходимого условия.
В помещении обращаются ЛВЖ с температурой вспышки менее 28 °C способные образовывать взрывоопасные паровоздушные смеси, что соответствует необходимому условию отнесения помещения к взрывопожароопасной категории А.
За расчетный вариант принимается аварийная разгерметизация емкости с бензином (как наиболее взрывоопасного вещества согласно ряду ЛВЖ, см. 6.4.3) объемом 1 л, приводящая к поступлению горючей среды (паров бензина) в помещение с возможностью возникновения пожара.
2.2 Определение достаточного условия отнесения помещения к категории А.
Рассчитывается избыточное давление взрыва DP, кПа, по формуле (1у) для бензина:
,
где Vп = (11,5 · 8 · 3) = 276 м3;
кг/м3;
m – масса паров бензина, поступивших в помещение в результате аварийной ситуации, кг; принимается равной массе разлившейся жидкости:
m = 0,001 · 725 = 0,725 кг.
кПа.
Избыточное давление взрыва DP менее 5 кПа, следовательно, достаточное условие отнесения помещения к взрывопожароопасной категории А не достигается.
2.3 Определяется необходимое условие отнесения помещения к категории В1 - В4.
а) В помещении обращаются горючие вещества и материалы, что соответствует необходимому условию отнесения помещения к одной из пожароопасных категорий (от В1 до В4).
б) Для конкретизации категории рассчитываются: пожарная нагрузка Q, МДж, и удельная пожарная нагрузка g, МДж/м2.
,
Gбенз = 7,25 кг; Gдизтопл = 0,01 · 804 = 8 кг; Gконд = 0,01 · 702,5 = 7 кг;
Gсп.этил = 0,002 · 785 = 1,57 кг; Gтол = 0,01 · 866,9 = 8,7 кг;
Q = 7,25 · 43,641 + 8 · 43,59 + 7 · 44,787 + 1,57 · 30,562 +8,7 · 40,936 + 1 · 20,7 + 1,5 · 23,983 +
+ 3 · 39,8 + 100 · 13,8 = 2940,8 МДж.
МДж/м2.
За площадь размещения пожарной нагрузки принимается площадь помещения, Рассчитанная удельная пожарная нагрузка соответствует категории В4 (g = 1 ¸ 180 МДж/м2) по таблице 4 НПБ 105-03 [1].
2.4 Определение достаточного условия отнесения помещения к категории В3. Способ размещения пожарной нагрузки не соответствует нормируемому п. 25 НПБ 105-03 [1], т.к. в помещении нельзя выделить участки размещения пожарной нагрузки площадью 10 м2 с расстоянием между ними более предельного.
3 Определение категории помещения
Результаты расчетов критериев пожарной опасности показывают, что выполняется необходимое условие (рассчитанная удельная пожарная нагрузка соответствует категории В4) для отнесения помещения к категории В4, однако достаточное условие (способ размещения пожарной нагрузки в помещении) не выполняется, поэтому данное помещение следует отнести к категории В3.
А.88 Расчет критериев взрывопожарной и пожарной опасности и определение категории помещения лаборатории анализа бензинов
1 Исходные данные
1.1 Характеристика помещения.
Длина l = 8 м; ширина b = 2,7 м; высота h = 3 м.
Минимальное расстояние от поверхности пожарной нагрузки до нижнего пояса ферм перекрытия H составляет 2,2 м.
Расчетная температура воздуха tр = 40 °C – абсолютная максимальная температура воздуха (для района г. Астрахани) согласно таблице 2 СНиП 23-01-99* [6].
1.2 Характеристика веществ и материалов, обращающихся (находящихся) в помещении, по справочным данным (приложение Г).
Бензин, дизтопливо «З», конденсат (по н-октану), спирт этиловый, толуол, ацетон, гептан, бензол: легковоспламеняющиеся жидкости (ЛВЖ).
Суммарное количество горючих материалов: бензин – 8 л (в емкостях по 0,5 л); дизтопливо – 2 л (в емкостях по 0,5 л); конденсат – 2 л (в емкостях по 0,5 л); спирт этиловый – 2 л (в емкостях по 1 л); толуол – 3 л (в емкостях по 0,5 л); ацетон – 1 л (в емкостях по 0,5 л); гептан - 1 л (в емкостях по 0,5 л); бензол – 1 л (в емкостях по 0,5 л).
1.3 Характеристика технологического процесса и оборудования.
В лаборатории, предназначенной для анализа бензинов, размещено следующее оборудование и мебель: столы химические; 2 вытяжных шкафа; металлический ящик, обшитый асбестом, с ЛВЖ.
2 Расчет критериев пожарной опасности
2.1 Определение необходимого условия.
В помещении обращается ЛВЖ с температурой вспышки менее 28 °C, способной образовывать взрывоопасную паровоздушную смесь, что соответствует необходимому условию отнесения помещения к взрывопожароопасной категории А.
За расчетный вариант принимается аварийная разгерметизация емкости с бензином как наиболее взрывоопасное вещество согласно ряду ЛВЖ (см. 6.4.3) объемом 0,5 л, приводящий к поступлению горючей среды (паров бензина) в помещение с возможностью возникновения пожара.
2.2 Определение достаточного условия отнесения помещения к категории А.
Рассчитывается избыточное давление взрыва DP, кПа, по формуле (1у) для бензина:
,
где Vп = (8 · 2,7 · 3) = 64,8 м3;
кг/м3;
m – масса паров бензина, поступивших в помещение в результате аварийной ситуации, кг, принимается равной массе разлившейся жидкости:
m = 0,0005 · 725 = 0,36 кг.
кПа.
3 Определение категории помещения
Результаты расчетов критериев взрывопожарной опасности показывают, что при расчетном варианте аварии достигаются необходимое (наличие в помещении ЛВЖ с температурой вспышки менее 28 °C) и достаточное (расчетное избыточное давление при сгорании паровоздушной смеси превышает 5 кПа) условия для отнесения данного помещения к категории А.
А.89 Расчет критериев взрывопожарной и пожарной опасности и определение категории помещения колориметрической лаборатории
1 Исходные данные
1.1 Характеристика помещения.
Длина l = 8 м, ширина b = 2,5 м, высота h = 3 м.
Минимальное расстояние от поверхности пожарной нагрузки до нижнего пояса ферм перекрытия H составляет 1,3 м.
1.2 Характеристика веществ и материалов, обращающихся (находящихся) в помещении, по справочным данным (приложение Г).
Мазут: горючая жидкость (ГЖ).
ДСП: твердый горючий не пылящий материал.
1.3 Характеристика технологического процесса.
В помещении проводится анализ мазута и находятся: 2 химических стола; шкаф; стол.
Суммарное количество горючих веществ и материалов: мазут - 1 л; ДСП - 120 кг.
Площадь размещения пожарной нагрузки (в составе мебели) S = 9 м2.
2 Расчет критериев пожарной опасности
2.1 Определение необходимых условий.
а) В помещении обращаются горючие вещества и материалы (в т.ч. ГЖ, нагретая ниже температуры вспышки без возможности образования аэрозоля, т.е. Z = 0), что соответствует необходимому условию отнесения помещения к одной из пожароопасных категорий (от В1 до В4).
б) Для конкретизации категории рассчитываются: пожарная нагрузка Q, МДж, и удельная пожарная нагрузка g, МДж/м2.
,
Gмазут = 0,001 м3 · 960 кг/м3 = 0,96 кг,
Q = 0,96 · 41,454 + 120 · 13,8 = 1695,8 МДж.
МДж/м2.
За площадь размещения пожарной нагрузки принимается участок 10 м2.
Рассчитанная удельная пожарная нагрузка соответствует категории В4 (g = 1 ¸ 180 МДж/м2) по таблице 4 НПБ 105-03 [1].
2.2 Определение достаточного условия отнесения помещения к категории В4.
Способ размещения пожарной нагрузки соответствует нормируемому.
3 Определение категории помещения
Результаты расчетов критериев пожарной опасности показывают, что выполняются необходимое (рассчитанная удельная пожарная нагрузка соответствует категории В4) и достаточное (способ размещения пожарной нагрузки в помещении) условия, позволяющие отнести данное помещение к категории В4.
А.90 Расчет критериев взрывопожарной и пожарной опасности и определение категории помещения лаборатории входного контроля
1 Исходные данные
1.1 Характеристика помещения.
Длина l = 8 м, ширина b = 7 м, высота h = 3,2 м.
Минимальное расстояние от поверхности пожарной нагрузки до нижнего пояса ферм перекрытия H составляет 2,4 м.
Расчетная температура воздуха tр = 40 °C – абсолютная максимальная температура воздуха (для района г. Астрахани) согласно таблице 2 СНиП 23-01-99* [6].
1.2 Характеристика веществ и материалов, обращающихся (находящихся) в помещении, по справочным данным (приложение Г).
Ацетон, изооктан, бензол, гептан, толуол, метанол (спирт метиловый): легковоспламеняющиеся жидкости (ЛВЖ).
Мазут, масло: горючие жидкости (ГЖ).
ПВХ, текстолит, полистирол, ДСП: твердые горючие не пылящие материалы.
Суммарное количество горючих веществ и материалов: ацетон – 1 л (в емкостях по 0,5 л); изооктан – 1 л (в емкостях по 0,5 л); бензол – 1 л (в емкостях по 0,5 л); гептан - 1 л (в емкостях по 0,5 л); толуол – 1 л (в емкостях по 0,5 л); спирт метиловый – 1 л (в емкостях по 0,5 л); мазут – 3 л (в емкостях по 1 л); масло – 3 л (в емкостях по 1 л); ПВХ – 0,5 кг; текстолит - 1 кг; полистирол – 1,5 кг; ДСП – 80 кг.
Пожарная нагрузка размещена равномерно по площади помещения.
1.3 Характеристика технологического процесса и оборудования.
В помещении лаборатории производится входной контроль с использованием химических реагентов (в т.ч. ЛВЖ и ГЖ) и находятся: 3 вытяжных шкафа; лабораторные химические столы; островной стол; шкаф; письменный стол; муфельная печь.
2 Расчет критериев пожарной опасности
2.1 Определение необходимого условия.
В помещении обращаются легковоспламеняющиеся жидкости (ЛВЖ) с температурой вспышки менее 28 °C, что соответствует необходимому условию отнесения помещения к взрывопожароопасной категории А.
За расчетный вариант принимается разгерметизация емкости с ацетоном (как наиболее взрывоопасного вещества согласно ряду ЛВЖ, см. 6.4.3) объемом 0,5 л, приводящая к поступлению горючей среды (паров ЛВЖ) в помещение с возможностью возникновения пожара.
2.2 Определение достаточного условия отнесения помещения к категории А.
Рассчитывается избыточное давление взрыва DP, кПа, по формуле (1у) для ацетона:
,
где Vп = (8 · 7 · 3,2) = 179,2 м3;
кг/м3;
m – масса паров ацетона, поступивших в помещение в результате аварийной ситуации, кг, принимается равной массе разлившейся жидкости:
m= 0,0005 · 790,8 = 0,40 кг.
кПа.
Результаты расчетов критериев взрывопожарной опасности показывают, что при расчетном варианте аварии необходимое условие достигается (наличие ЛВЖ), но его количества недостаточно для выполнения достаточного условия, позволяющего отнести данное помещение к категории А.
2.3 Определение необходимого условия для отнесения помещения к пожароопасной категории.
а) В помещении обращаются горючие вещества и материалы, что соответствует необходимому условию отнесения помещения к одной из пожароопасных категорий (от В1 до В4).
б) Для конкретизации категории рассчитываются пожарная нагрузка Q, МДж, и удельная пожарная нагрузка g, МДж/м2.
,
Gац = 0,001 · 790,8 = 0,79 кг; Gизоок = 0,001 · 703 = 0,7 кг; Gбензол = 0,001 · 873,68 = 0,87 кг;
Gгепт = 0,001 · 683,76 = 0,68 кг; Gтол = 0,001 · 866,9 = 0,87 кг; Gсп.мет = 0,001 · 786,9 = 0,79 кг;
Gмазут = 0,003 · 960 = 2,9 кг; Gмас = 0,003 · 895 = 2,7 кг;
Q = 0,79 · 31,36 + 0,7 · 44,817 + 0,87 · 40,576 + 0,68 · 44,919 + 0,87 · 40,936 + 0,79 · 23,839 +
+ 2,9 · 41,454 + 2,7 · 41,87 + 0,5 · 20,7 + 1 · 23,983 + 1,5 · 39,8 + 80 · 13,8 = 1607,6 МДж.
МДж/м2.
Рассчитанная удельная пожарная нагрузка соответствует категории В4 (g = 1 ¸ 180 МДж/м2) по таблице 4 НПБ 105-03 [1].
2.4 Определение достаточного условия.
Способ размещения пожарной нагрузки не соответствует нормируемому п. 25 НПБ 105-03 [1], так как в помещении нельзя выделить участки размещения пожарной нагрузки площадью 10 м2 с расстоянием между ними более предельных.
3 Определение категории помещения
Результаты расчетов критериев пожарной опасности показывают, что выполняется необходимое условие (удельная пожарная нагрузка соответствует категории В4), однако достаточное условие (способ размещения пожарной нагрузки в помещении) не выполняется, поэтому данное помещение следует отнести к категории В3.
А.91 Расчет критериев взрывопожарной и пожарной опасности и определение категории помещения санитарной лаборатории анализа пластовых вод
1 Исходные данные
1.1 Характеристика помещения.
Длина l = 8 м, ширина b = 9,8 м, высота h = 3 м.
Минимальное расстояние от поверхности пожарной нагрузки до нижнего пояса ферм перекрытия H составляет 1,2 м.
Расчетная температура воздуха tр = 40 °C – абсолютная максимальная температура воздуха (для района г. Астрахани) согласно таблице 2 СНиП 23-01-99* [6].
1.2 Характеристика веществ и материалов, обращающихся (находящихся) в помещении, по справочным данным (приложение Г).
Ацетон, гексан, спирт изопропиловый: легковоспламеняющиеся жидкости (ЛВЖ).
ПВХ, текстолит, полистирол, ДСП: твердые горючие не пылящие материалы (в составе оборудования и мебели).
Суммарное количество горючих веществ и материалов: ацетон – 0,1 л; гексан - 4 л (в емкостях по 0,5 л); спирт изопропиловый – 1 л (в емкостях по 0,5 л); ПВХ – 0,5 кг; текстолит – 0,5 кг; полистирол – 1,5 кг; ДСП – 70 кг.
Пожарная нагрузка размещена равномерно по площади помещения.
1.3 Характеристика технологического процесса и оборудования.
В помещении лаборатории производится анализ пластовых вод с применением химреагентов (в т.ч. ЛВЖ, ГЖ) и находятся: 4 вытяжных шкафа; лабораторные химические столы; аналитические приборы.
2 Расчет критериев пожарной опасности
2.1 Определение необходимого условия.
В помещении обращаются ЛВЖ с температурой вспышки менее 28 °C, способные образовывать взрывоопасные паровоздушные смеси, что соответствует необходимому условию отнесения помещения к взрывопожароопасной категории А.
За расчетный вариант принимается аварийная разгерметизация емкости с гексаном (наиболее взрывоопасное вещество согласно ряду ЛВЖ, см. 6.4.3) объемом 0,5 л, приводящая к поступлению горючей среды (паров ЛВЖ) в помещение с возможностью возникновения пожара.
2.2 Определение достаточного условия отнесения помещения к категории А.
Рассчитывается избыточное давление взрыва DP, кПа, по сокращенной формуле (1у) для гексана (см. 6.4.3):
,
где Vп = (8 · 9,8 · 3) = 235,2 м3;
кг/м3,
m – масса паров гексана, поступивших в помещение в результате аварийной ситуации, кг, принимается равной массе разлившейся жидкости:
m = 0,0005 · 654,81 = 0,33 кг.
кПа.
Результаты расчетов критериев взрывопожарной опасности показывают, что при расчетном варианте аварии необходимое условие достигается (наличие ЛВЖ), но его количества недостаточно для выполнения условия, позволяющего отнести данное помещение к категории А.
2.3 Определение необходимого условия для отнесения помещения к пожароопасной категории.
а) В помещении обращаются горючие вещества и материалы, что соответствует необходимому условию отнесения помещения к одной из пожароопасных категорий (от В1 до В4).
б) Для конкретизации категории рассчитываются пожарная нагрузка Q, МДж, и удельная пожарная нагрузкаg, МДж/м2.
,
Gац = 0,0001 · 790,8 = 0,08 кг; Gгекс = 0,004 · 654,81 = 2,6 кг; Gсп.изопр = 0,001 · 784,4 = 0,8 кг;
Q = 0,08·31,36 + 2,6·45,105 + 0,8·34,14 + 0,5·20,7 + 0,5·23,98 + 1,5·39,8 + 70·13,8 = 1195,15 МДж,
.
За площадь размещения пожарной нагрузки принимается площадь помещения,
МДж/м2.
Рассчитанная удельная пожарная нагрузка соответствует категории В4 (g = 1 ¸ 180 МДж/м2) по таблице 4 НПБ 105-03 [1].
2.4 Определение достаточного условия.
Способ размещения пожарной нагрузки не соответствует нормируемому п. 25 НПБ 105-03 [1], так как в помещении нельзя выделить участки размещения пожарной нагрузки площадью 10 м2 с расстоянием между ними более предельного.
3 Определение категории помещения
Результаты расчетов критериев пожарной опасности показывают, что выполняется необходимое условие (рассчитанная удельная пожарная нагрузка соответствует категории В4), однако достаточное условие (способ размещения пожарной нагрузки в помещении) не выполняется, поэтому данное помещение следует отнести к категории В3.
А.92 Расчет критериев взрывопожарной и пожарной опасности и определение категории помещения лаборатории экоаналитического анализа воздуха
1 Исходные данные
1.1 Характеристика помещения.
Длина l = 5 м, ширина b = 5,6 м, высота h = 3,4 м.
Минимальное расстояние от поверхности пожарной нагрузки до нижнего пояса ферм перекрытия H составляет 1,4 м.
1.2 Характеристика веществ и материалов, обращающихся (находящихся) в помещении, по справочным данным (приложение Г).
Карболит, ПВХ, текстолит, полистирол, ДСП: твердые горючие не пылящие материалы (в составе оборудования и мебели).
1.3 Характеристика технологического процесса и оборудования.
В помещении лаборатории, предназначенном для проведения хроматографического анализа воздуха, выбрасываемого в атмосферу, находятся: шкаф вытяжной; островной стол; химические лабораторные столы; 2 хроматографа; компьютер.
Суммарная масса горючих материалов: карболит – 1,5 кг, ПВХ – 2 кг; текстолит – 3 кг; полистирол – 2 кг; ДСП – 130 кг.
Пожарная нагрузка размещена равномерно по всей площади помещения.
2 Расчет критериев пожарной опасности
2.1 Определение необходимых условий.
а) В помещении обращаются горючие вещества и материалы, что соответствует необходимому условию отнесения помещения к одной из пожароопасных категорий (от В1 до В4).
б) Для конкретизации категории рассчитываются: пожарная нагрузка Q, МДж, и удельная пожарная нагрузка g, МДж/м2.
,
Q= 1,5 · 26,9 + 2 · 20,7 + 3 · 23,983 + 2 · 39,8 + 130 · 13,8 = 2027,25 МДж.
МДж/м2.
Рассчитанная удельная пожарная нагрузка соответствует категории В4 (g = 1 ¸ 180 МДж/м2) по таблице 4 НПБ 105-03 [1].
2.2 Определение достаточного условия.
Способ размещения пожарной нагрузки не соответствует нормируемому п. 25 НПБ 105-03 [1], так как в помещении нельзя выделить участки размещения пожарной нагрузки площадью 10 м2 с расстоянием между ними более предельного.
3 Определение категории помещения
Результаты расчетов критериев пожарной опасности показывают, что выполняется необходимое условие (рассчитанная удельная пожарная нагрузка соответствует категории В4), однако достаточное условие (способ размещения пожарной нагрузки в помещении) не выполняется, поэтому данное помещение следует отнести к категории В3.
А.93 Расчет критериев взрывопожарной и пожарной опасности и определение категории помещения технологического отделения кислородно-азотной станции
1 Исходные данные
1.1 Характеристика помещения.
Длина l = 6 м, ширина b = 9 м, высота h = 4 м.
Минимальное расстояние от поверхности пожарной нагрузки до нижнего пояса ферм перекрытия H составляет 2,5 м.
1.2 Характеристика веществ и материалов, обращающихся (находящихся) в помещении, по справочным данным (приложение Г).
Карболит, ПВХ: твердые горючие не пылящие материалы (в составе силового щита).
1.3 Характеристика технологического процесса и оборудования.
В помещении находятся: блок очистки воздуха; блок разделения кислорода и азота; детандер; силовой щит высотой 1,5 м, площадью 1 м2.
Суммарная масса горючих материалов: карболит – 2 кг; ПВХ – 1 кг.
Площадь размещения пожарной нагрузки в составе силового щита S= 1 м2.
2 Расчет критериев пожарной опасности
2.1 Определение необходимых условий.
а) В помещении находятся твердые не пылящие горючие материалы, что соответствует необходимому условию отнесения помещения к одной из пожароопасных категорий (от В1 до В4).
б) Для конкретизации категории рассчитываются пожарная нагрузка Q, МДж, и удельная пожарная нагрузка g, МДж/м2.
,
Q = (2 · 26,9) + (1 · 20,7) = 74,5 МДж.
МДж/м2.
За площадь размещения пожарной нагрузки принимается участок 10 м2 по п. 25 НПБ 105-03 [1].
Рассчитанная удельная пожарная нагрузка соответствует категории В4 (g = 1 ¸ 180 МДж/м2) по таблице 4 НПБ 105-03 [1].
2.2 Определение достаточного условия отнесения помещения к категории В4.
Способ размещения пожарной нагрузки соответствует нормируемому п. 25 НПБ 105-03 [1].
3 Определение категории помещения
Результаты расчетов критериев пожарной опасности показывают, что выполняются необходимое (рассчитанная удельная пожарная нагрузка соответствует категории В4) и достаточное (способ размещения пожарной нагрузки в помещении соответствует нормируемому) условия, что позволяет отнести данное помещение к категории В4.
А.94 Расчет критериев взрывопожарной и пожарной опасности и определение категории помещения ремонта и испытания баллонов на герметичность
1 Исходные данные
1.1 Характеристика помещения.
Длина l = 20 м, ширина b= 12 м, высота h = 5,3 м.
Расчетная температура воздуха tр = 35 °C – абсолютная максимальная температура воздуха (для района г. Ухты) согласно таблице 2 СНиП 23-01-99* [6].
1.2 Характеристика веществ и материалов, обращающихся (находящихся) в помещении, по справочным данным (приложение Г).
Негорючие вещества и материалы в холодном состоянии.
1.3 Характеристика технологического процесса и оборудования.
В помещении, предназначенном для проведения замены и текущего ремонта баллонных вентилей, освидетельствования баллонов, испытания баллонов на герметичность, размещены: баллоны порожние; стенд освидетельствования баллонов.
2 Расчет критериев пожарной опасности
Расчет не требуется.
3 Определение категории наружной установки
Для данного помещения выполняется необходимое и достаточное условие (наличие в помещении негорючих веществ и материалов в холодном состоянии), что позволяет отнести его к категории Д.
А.95 Расчет критериев взрывопожарной и пожарной опасности и определение категории помещения окрасочного отделения ремонта и испытания баллонов
1 Исходные данные
1.1 Характеристика помещения.
Длина l = 10 м, ширина b= 7 м, высота h= 5 м.
Расчетная температура воздуха tр = 35 °C – абсолютная максимальная температура воздуха (для района г. Ухты) согласно таблице 2 СНиП 23-01-99* [6].
Скорость движения воздуха над поверхностью испарения составляет 1,0 м/с.
1.2 Характеристика веществ и материалов, обращающихся (находящихся) в помещении, по справочным данным (приложение Г).
Уайт-спирит – легковоспламеняющаяся жидкость (ЛВЖ).
1.3 Характеристика технологического процесса и оборудования.
В окрасочном помещении производится окраска в окрасочной камере баллонов с применением краски по металлу ПФ-115 (2 кг) и растворителя уайт-спирита (1,5 кг).
2 Расчет критериев пожарной опасности
За расчетный вариант принимается аварийная разгерметизация емкости с уайт-спиритом объемом 1 л, приводящая к поступлению горючей среды (паров ЛВЖ) в помещение с возможностью возникновения пожара.
2.1 Определение необходимого условия.
В помещении обращается ЛВЖ с температурой вспышки более 28 °C, способная образовывать взрывоопасные паровоздушные смеси, что соответствует необходимому условию отнесения помещения к взрывопожароопасной категории Б.
2.2 Определение достаточного условия отнесения помещения к категории Б.
Расчет избыточного давления взрыва DP, кПа, производится по формуле (4у):
,
| где Vп | = (10 · 7 · 5) = 350 м3; |
| rв | = 1,15 кг/м3 по таблице 6.1; |
| m | – масса паров уайт-спирита, поступивших в помещение в результате аварийной, ситуации, кг, рассчитывается по формуле (12) НПБ 105-03 [1]: |
m = W · Fи · T,
где T – время испарения, принимается 3600 с по НПБ 105-03 [1];
W = 10-6 · h ·
· Pн,
где h = 4,8 по таблице 3 [1] для исходных данных,
кПа,
W = 10-6 · 4,8 ·
· 48,75 = 2,8 ·10-3 кг/(с·м2),
Fи – площадь испарения, м2; вычисляется по п. 7 НПБ 105-03 [1] и составляет 1 м2.
m= 2,8 · 10-3 · 1 · 3600 = 10,08 кг.
кПа.
3 Определение категории помещения
Результаты расчетов критериев пожарной опасности показывают, что выполняются необходимое (наличие ЛВЖ с температурой вспышки более 28 °C) и достаточное (расчетное избыточное давление превышает 5 кПа) условия, что позволяет отнести данное помещение к категории Б.
A.96 Расчет критериев взрывопожарной и пожарной опасности и определение категории помещения наполнения баллонов кислородом
1 Исходные данные
1.1 Характеристика помещения.
Длина l= 12 м, ширина b= 11,6 м, высота h = 5,3 м.
1.2 Характеристика веществ и материалов, обращающихся (находящихся) в помещении, по справочным данным (приложение Г).
Негорючие вещества и материалы в холодном состоянии.
1.3 Характеристика технологического процесса и оборудования.
В помещении для наполнения баллонов кислородом размещена кислородная рампа на 10 баллонов.
2 Расчет критериев пожарной опасности
Расчет не требуется.
3 Определение категории наружной установки
Для данного помещения выполняются необходимое и достаточное условия (наличие в помещении негорючих веществ и материалов в холодном состоянии), что позволяет отнести его к категории Д.
А.97 Расчет критериев взрывопожарной и пожарной опасности и определение категории помещения наполнения баллонов азотом
1 Исходные данные
1.1 Характеристика помещения.
Длина l = 11,3 м, ширина b = 5,3 м, высота h= 5,3 м.
1.2 Характеристика веществ и материалов, обращающихся (находящихся) в помещении, по справочным данным (приложение Г).
Негорючие вещества и материалы в холодном состоянии.
1.3 Характеристика технологического процесса и оборудования.
В помещении для наполнения баллонов азотом размещены 3 азотные рампы по 8 баллонов.
2 Расчет критериев пожарной опасности
Расчет не требуется.
3 Определение категории наружной установки
Для данного помещения выполняются необходимое и достаточное условия (наличие в помещении негорючих веществ и материалов в холодном состоянии), что позволяет отнести его к категории Д.
А.98 Расчет критериев взрывопожарной и пожарной опасности и определение категории помещения хранения баллонов с кислородом
1 Исходные данные
1.1 Характеристика помещения.
Длина l = 12 м, ширина b = 12 м, высота h= 5,3 м.
1.2 Характеристика веществ и материалов, обращающихся (находящихся) в помещении, по справочным данным (приложение Г).
Негорючие вещества и материалы в холодном состоянии.
1.3 Характеристика технологического процесса и оборудования.
В помещении хранятся 300 баллонов с кислородом.
2 Расчет критериев пожарной опасности
Расчет не требуется, так как в помещении отсутствуют горючие вещества и материалы, поэтому оно не относится к категориям А, Б, В и Г.
3 Определение категории наружной установки
Для данного помещения выполняются необходимое и достаточное условия (наличие в помещении негорючих веществ и материалов в холодном состоянии), что позволяет отнести его к категории Д.
А.99 Расчет критериев взрывопожарной и пожарной опасности и определение категории помещения аппарата воздушного охлаждения воды
Расчет см. А.1.67, приложение А СТО Газпром 2-1.1-094.
А.100 Расчет критериев взрывопожарной и пожарной опасности и определение категории помещения приточной венткамеры
Расчет см. А.1.69, приложение А СТО Газпром 2-1.1-094.
А.101 Расчет критериев взрывопожарной и пожарной опасности и определение категории помещения вытяжной венткамеры
Расчет см. А.1.70, приложение А СТО Газпром 2-1.1-094.
А.102 Расчет критериев взрывопожарной и пожарной опасности и определение категории помещения газонаполнительного отделения ГНС
1 Исходные данные
1.1 Характеристика помещения.
Длина l = 12 м, ширина b= 9 м, высота h = 4,5 м.
Расчетная температура воздуха tр = 35 °C – абсолютная максимальная температура воздуха (для района г. Ухты) согласно таблице 2 СНиП 23-01-99* [6].
1.2 Характеристика веществ и материалов, обращающихся (находящихся) в помещении, по справочным данным (приложение Г).
Пропан-бутан: сжиженный углеводородный газ (СУГ).
1.3 Характеристика технологического процесса и оборудования.
В помещении, предназначенном для наполнения баллонов сжиженным газом, размещено следующее оборудование: 2 наполнительных поста производительностью 3 м3/ч (0,001 м3/с) с трубопроводом – диаметром 57 мм, длиной 5 м; стенд слива тяжелых остатков с трубопроводом – диаметром 57 мм, длиной 3 м; стенд пропарки баллонов.
Отключение ручное, расчетное время отключения согласно НПБ 105-03 [1] принимается равным 300 с.
2 Расчет критериев пожарной опасности
2.1 Определение необходимого условия.
В помещении обращается СУГ (ГГ), способный образовывать взрывоопасные газовоздушные смеси, что соответствует необходимому условию отнесения помещения к взрывопожароопасной категории А.
За расчетный вариант принимается аварийная разгерметизация вентиля на подающем трубопроводе при наполнении баллона, приводящая к выбросу горючей среды (СУГ) в помещение с возможностью возникновения пожара.
2.2 Определение достаточного условия отнесения помещения к категории А.
Рассчитывается избыточное давление взрыва DP, кПа, по формуле (1гу) для пропана:
,
| где Vп | = (12· 9 · 4,5) = 486 м3; |
| Vг | – объем СУГ, поступившего в результате аварийной ситуации, м3: |
Vг = V1т + V2т,
где V1т – объем газа, вышедшего из трубопровода до его отключения, м3;
V1т = q · T = 0,001 · 300 = 0,3 м3,
V2т – объем СУГ, вышедшего из трубопровода после его отключения, м3;
V2т = p · r2 · L= 3,14 · 0,0382 · 5 = 0,02 м3,
Vг = 0,3 + 0,02 = 0,32 м3.
Объем паров с 1 л сжиженного пропана составляет 0,269 м3, следовательно, с 0,32 м3 объем паров составит:
Vг = 320 · 0,269 = 86,08 м3.
кПа.
3. Определение категории помещения
Результаты расчетов критериев взрывопожарной опасности показывают, что при расчетном варианте аварии выполняются необходимое (наличие ГГ) и достаточное (расчета избыточное давление при сгорании паровоздушной смеси превышает 5 кПа) условия, что позволяет отнести данное помещение к категории A.
А.103 Расчет критериев взрывопожарной и пожарной опасности и определение категории помещения насосной резервуарного парка хранения ДФ и КФ
1 Исходные данные
1.1 Характеристика помещения.
Длина l = 30 м, ширина b=12 м, высота h= 6,6 м.
Расчетная температура воздуха tр = 34 °C – абсолютная максимальная температура воздуха (для района г. Сургута) согласно таблице 2 СНиП 23-01-99* [6].
1.2 Характеристика веществ и материалов, обращающихся (находящихся) в помещении, по справочным данным (приложение Г).
Дизельная фракция (ДФ) по дизтопливу «З»: легковоспламеняющаяся жидкость (ЛВЖ).
Керосиновая фракция (КФ) по керосину: легковоспламеняющаяся жидкость (ЛВЖ).
Масло марки ТП-22С: горючая жидкость (ГЖ).
1.3 Характеристика технологического процесса и оборудования.
В помещении насосной осуществляется перекачка дизельной фракции, керосина, дизельного топлива, масла с использованием следующего технологического оборудования: 2 насоса ДФ, производительностью 310 м3/ч (0,09 м3/с), с трубопроводами: входящим - диаметром 325 мм, длиной 4 м и выходящим – диаметром 219 мм, длиной 2 м + диаметром 325 мм, длиной 4 м; 2 насоса керосина внутрипарковой перекачки производительностью 200 м3/ч; насос дизельного топлива или керосина производительностью 585 м3/ч (0,16 м3/с), с трубопроводами: входящим – диаметром 325 мм, длиной 4 м и выходящим – диаметром 219 мм, длиной 2 м + диаметром 325 мм, длиной 4 м; насос перекачки уплотнительного масла; емкость 2 м3 с маслом.
Отключение ручное, расчетное время отключения принимается согласно п. 7 НПБ 105-03 [1] равным 300 с.
2 Расчет критериев взрывопожарной опасности
2.1 Определение необходимого условия.
В помещении находится ЛВЖ с температурой вспышки более 28 °C, способная образовывать взрывоопасную паровоздушную смесь, что соответствует необходимому условию отнесения помещения к взрывоопасной категории Б.
За расчетный вариант принимается аварийная разгерметизация выходящего трубопровода насоса с керосином (как наиболее взрывоопасное вещество согласно ряду ЛВЖ, см. 6.4.3), приводящая к разливу ЛВЖ (керосина) в помещение с возможностью возникновения пожара.
2.2 Определение достаточного условия отнесения помещения к категории Б.
Рассчитывается избыточное давление взрыва DP, кПа, по формуле (1у) для керосина:
,
где Vп = (30 · 12 · 6,6) = 2376 м3;
кг/м3;
m – масса паров керосина, поступивших в результате расчетной аварии в помещение, кг;
m = W · Fи · T,
где W – интенсивность испарения, кг/(с·м2), определяется по формуле:
W = 10-6 · h ·
· Pн,
где h = 2,4 по таблице 3 [1] для скорости движения воздуха, равном 0,2 м/с;
кПа,
W = 10-6 · 2,4 ·
· 6,98 = 2,08 · 10-4 кг/(с·м2),
Fи – площадь испарения, м2, определяется по п. 7г НПБ 105-03 [1] из расчета, что 1 л жидкости разливается на 1 м2.
Рассчитывается объем керосина, разлившегося в результате аварии, Vав, м3.
Vав = Vа + Vт,
где Vа – объем керосина, вышедшего из насоса до отключения, м3.
Vа = T · q = 300 · 0,16 = 48 м3,
Vт – объем керосина, вышедшего из насоса после отключения, м3;
Vт = p · (r21 ··L1 + r22 · L2 + r23 · L3) = 3,14 · (0,15352 · 4 + 0,10052 · 2 + 0,15352 · 4) = 0,66 м3,
Vав = 48 + 0,66 = 48,66 м3.
За площадь испарения принимается площадь помещения (360 м2), так как она меньше рассчитанной (48660 м2).
m = 2,08 · 10-4 · 360 · 3600 = 269,6 кг.
кПа.
3. Определение категории помещения
Результаты расчетов критериев взрывопожарной опасности показывают, что при расчетном варианте аварии выполняются необходимое (наличие ЛВЖ с температурой вспышки более 28°C) и достаточное (расчетное избыточное давление при сгорании паровоздушной смеси превышает 5 кПа) условия, что позволяет отнести данное помещение к категории Б.
А.104 Расчет критериев взрывопожарной и пожарной опасности и определение категории помещения манифольдной резервуарного парка хранения ДТ и керосина
1 Исходные данные
1.1 Характеристика помещения.
Длина l = 60 м, ширина b = 6 м, высота h = 6,6 м.
Расчетная температура воздуха tр – 34 °C – абсолютная максимальная температура воздуха (для района г. Сургута) согласно таблице 2 СНиП 23-01-99* [6].
1.2 Характеристика веществ и материалов, обращающихся (находящихся) в помещении, по справочным данным (приложение Г).
Дизельное топливо «зимнее»: легковоспламеняющаяся жидкость (ЛВЖ).
Керосин: легковоспламеняющаяся жидкость (ЛВЖ).
Масло марки ТП-22С: горючая жидкость (ГЖ).
1.3 Характеристика технологического процесса и оборудования.
В помещении манифольдной проходят: 6 трубопроводов с ДТ производительностью 310 м3/ч (0,09 м3/с), диаметром 325 мм, длиной 45 м; трубопровод с ДТ производительностью 310 м3/ч (0,09 м3/с), диаметром 219 мм, длиной 45 м; 2 трубопровода с ДТ или керосином производительностью 585 м3/ч (0,16 м3/с), диаметром 325 мм, длиной 50 м; 6 трубопроводов с керосином производительностью 585 м3/ч (0,16 м3/с), диаметром 325 мм, длиной 45 м; трубопровод с керосином производительностью 585 м3/ч (0,16 м3/с), диаметром 219 мм, длиной 45 м.
Отключение ручное, расчетное время отключения принимается согласно п. 7 НПБ 105-03 [1] равным 300 с.
2 Расчет критериев взрывопожарной опасности
2.1 Определение необходимого условия.
В помещении находится ЛВЖ с температурой вспышки более 28 °C, способная образовывать взрывоопасную паровоздушную смесь, что соответствует необходимому условию отнесения помещения к взрывоопасной категории Б.
За расчетный вариант принимается аварийная разгерметизация трубопровода с керосином (как наиболее взрывоопасное вещество согласно ряду ЛВЖ, см. 6.4.3), приводящая к поступлению горючей среды (ЛВЖ) в помещение с возможностью возникновения пожара.
2.2 Определение достаточного условия отнесения к категории Б.
Рассчитывается избыточное давление взрыва DP, кПа, по формуле (1у) для керосина:
,
где Vп = (60 · 6 · 6,6) = 2376 м3;
кг/м2;
m– масса паров керосина, поступивших в результате расчетной аварии в помещение, кг;
m = W · Fи · T,
где W – интенсивность испарения, кг/(с·м2), определяется по формуле:
W = 10-6 · h ·
· Pн,
где h =2,4 по таблице 3 НПБ 105-03 [1] для скорости движения воздуха, равном 0,2 м/с;
кПа,
W = 10-6 · 2,4 ·
· 6,98 = 2,0810-4 кг/(с·м2),
Fи – площадь испарения, м2, определяется по п. 7 г НПБ 105-03 [1] из расчета, что 1 л жидкости разливается на 1 м2.
Рассчитывается объем керосина, разлившегося в результате аварии, Vав, м3.
Vав = Vа + Vт,
где Vа – объем жидкости, вышедшей из насоса до отключения, м3.
Vа = T · q= 300 · 0,16 = 48 м3,
Vт – объем жидкости, вышедшей из насоса после отключения, м3;
Vт = p · r2 · L = 3,14 · 0,15352 · 50 = 3,7 м3,
Vав = 48 + 3,7 = 51,7 м3.
За площадь испарения принимается площадь помещения (360 м2), так как она меньше рассчитанной (51700 м2).
m = 2,08 · 10-4 · 360 · 3600 = 269,6 кг.
кПа.
3. Определение категории помещения
Результаты расчетов критериев взрывопожарной опасности показывают, что при расчетном варианте аварии выполняются необходимое (наличие ЛВЖ с температурой вспышки более 28 °C) и достаточное (расчетное избыточное давление при сгорании паровоздушной смеси превышает 5 кПа) условия, что позволяет отнести данное помещение К категории Б.
А.105 Расчет критериев взрывопожарной и пожарной опасности и определение категории помещения насосной резервуарного парка паспортизации моторных топлив
1 Исходные данные
1.1 Характеристика помещения.
Длина l = 36 м, ширина b=9 м, высота h= 6,6 м.
Расчетная температура воздуха tр = 34 °C – абсолютная максимальная температура воздуха (для района г. Сургута) согласно таблице 2 СНиП 23-01-99* [6].
1.2 Характеристика веществ и материалов, обращающихся (находящихся) в помещении, по справочным данным (приложение Г).
Бензин – легковоспламеняющаяся жидкость (ЛВЖ).
1.3 Характеристика технологического процесса и оборудования.
В помещении насосной осуществляется перекачка бензина и МТБЭ с использованием следующего технологического оборудования: 2 насоса производительностью 336 м3/ч (0,09 м3/с) с трубопроводами: входящим – диаметром 325 мм, длиной 4 м и выходящим – диаметром 219 мм, длиной 5 м; 2 насоса откачки МТБЭ.
Отключение ручное, расчетное время отключения принимается согласно п. 7 НПБ 105-03 [1], равным 300 с.
2 Расчет критериев взрывопожарной и пожарной опасности
2.1 Определение необходимого условия.
В помещении обращается ЛВЖ с температурой вспышки менее 28 °C, способная образовать взрывопожароопасную паровоздушную смесь, что соответствует необходимому условию отнесения помещения к взрывопожароопасной категории А.
За расчетный вариант принимается аварийная разгерметизация насоса, приводящая к истечению горючей среды в помещение с возможностью возникновения пожара.
2.2 Определение достаточного условия отнесения помещения к категории А.
Рассчитывается избыточное давление взрыва DP, кПа, по формуле (1у) для бензина:
,
где Vп = (36 · 9 · 6,6) = 2138,4 м3;
кг/м3;
m – масса паров бензина, поступивших в помещение в результате аварии, кг, рассчитывается по формуле (12) [1]:
m = W · Fи · T,
где W – интенсивность испарения, кг/(с·м2), определяется по формуле (13) НПБ 105-03 [1]
W = 10-6 · h ·
· Pн,
где h = 2,4 по таблице 3 НПБ 105-03 [1] для скорости воздушного потока 0,2 м/с;
кПа,
W = 10-6 · 2,4 ·
· 36,6 = 8,57 · 10-4, кг/(с·м2),
T– время испарения, принимается 3600 с по НПБ 105-03 [1];
Fи – площадь испарения, м2, определяется по п. 7 г НПБ 105-03 [1] из расчета, что 1 л жидкости разливается на 1 м2.
Рассчитывается объем разлившейся жидкости, Vав:
Vав = V1т + V2т,
где V1т – объем бензина, вышедшего из трубопровода до его отключения, м3;
V1т = q · T = 0,09 · 300 = 27 м3;
V2т – объем бензина, вышедшего из трубопровода после его отключения, м3.
V2т = p · (r21 · L1 + r22 · L2) = 3,14 · (0,15352 · 4 + 0,10052 · 5) = 1,9 м3,
Vав = 27 + 1,9 = 28,9 м3 (28900 л).
За площадь испарения принимается площадь помещения (324 м2), так как она меньше вычисленной (28900 м2):
m = 8,57 · 10-4 · 324 · 3600 = 999,6 кг.
кПа.
3 Определение категории помещения по взрывопожарной опасности
Результаты расчетов критериев взрывопожарной опасности показывают, что при расчетном варианте аварии достигаются необходимое (наличие в помещении ЛВЖ с температурой вспышки менее 28 °C) и достаточное (расчетное избыточное давление при сгорании паровоздушной смеси превышает 5 кПа) условия, что позволяет отнести данное помещение к категории А.
А.106 Расчет критериев взрывопожарной и пожарной опасности и определение категории помещения манифольдной резервуарного парка хранения пропана
1 Исходные данные
1.1 Характеристика помещения.
Длина l = 60 м, ширина b = 6 м, высота h = 6,6 м.
Расчетная температура воздуха tр = 34 °C – абсолютная максимальная температура воздуха (для района г. Сургута) согласно таблице 2 СНиП 23-01-99* [6].
1.2 Характеристика веществ и материалов, обращающихся (находящихся) в помещении, по справочным данным (приложение Г).
Пропан: сжиженный углеводородный газ (СУГ).
Объем газа с 1 л сжиженного пропана: 0,269 м3.
1.3 Характеристика технологического процесса и оборудования.
В помещении проходят трубопроводы с пропаном: диаметром 219 мм, длиной 4 м, производительностью 310 м3/ч; диаметром 325 мм, длиной 100 м, производительностью 460 м3/ч; 7 трубопроводов диаметром 325 мм, длиной 40 м, производительностью 310 м3/ч; 7 трубопроводов диаметром 325 мм, длиной 100 м, производительностью 310 м3/ч.
Отключение ручное, расчетное время отключения согласно НПБ 105-03 [1] принимается равным 300 с.
2 Расчет критериев взрывопожарной опасности
2.1 Определение необходимого условия.
В помещении обращается СУГ, переходящий при испарении в ГГ, способный образовывать взрывоопасные газовоздушные смеси, что отвечает необходимому условию отнесения помещения к взрывопожароопасной категории А.
За расчетный вариант принимается аварийная разгерметизация выходящего трубопровода, приводящая к выбросу горючей среды (ГГ) в помещение с возможностью возникновения пожара.
2.2 Определение достаточного условия отнесения помещения к категории А.
Рассчитывается избыточное давление взрыва DP, кПа, по формуле (1гу) для пропана:
,
| где Vп | = (60 · 6 · 6,6) = 2376 м3; |
| V | – объем СУГ, поступившего в помещение в результате расчетной аварии, м3; |
V = V1т + V2т,
где V1т – объем СУГ, вышедшего из трубопровода до его отключения, м3;
V1т = q · T = 0,13 · 300 = 39 м3,
V2т – объем СУГ, вышедшего из трубопровода после его отключения, м3;
V2т = p · r2 · L= 3,14 · 0,15352 · 100 = 7,4 м3,
V = 39 + 7,4 = 46,4 м3.
Объем газа с 1 л сжиженного пропана составляет 0,269 м3, следовательно, с 46,4 м3 СУГ объем газообразного пропана составит:
Vг = 46400 · 0,269 = 12481,6 м3.
кПа.
3 Определение категории помещения
Результаты расчетов критериев взрывопожарной опасности показывают, что при расчетном варианте аварии выполняются необходимое (наличие в помещении ГГ) и достаточное (расчетное избыточное давление при сгорании газовоздушной смеси превышает 5 кПа) условия, позволяющие отнести данное помещение к категории А.
А.107 Расчет критериев взрывопожарной и пожарной опасности и определение категории помещения насосной резервуарного парка хранения бензина и стабильного гидрогенизата
1 Исходные данные
1.1 Характеристика помещения.
Длина l = 30 м, ширина b = 12 м, высота h = 6,6 м.
Расчетная температура воздуха tр = 34 °C – абсолютная максимальная температура воздуха (для района г. Сургута) согласно таблице 2 СНиП 23-01-99* [6].
1.2 Характеристика веществ и материалов, обращающихся (находящихся) в помещении, по справочным данным (приложение Г).
Бензин, гидрогенизат: легковоспламеняющаяся жидкость (ЛВЖ).
1.3 Характеристика технологического процесса и оборудования.
В помещении происходит перекачка бензина или гидрогенизата с использованием следующего оборудования: 2 насоса подачи бензина производительностью 200 м3/ч с трубопроводами: входящий – длиной 2 м, диаметром 244,5 мм + длиной 2,5 м, диаметром 355,6 мм, выходящий – длиной 1,5 м, диаметром 219 мм + длиной 3 м, диаметром 355,6 мм; насос для внутренней перекачки бензина или гидрогенизата производительностью 560 м3/ч с трубопроводами: входящий – длиной 2 м, диаметром 244,5 мм + длиной 2,5 м, диаметром 355,6 мм, выходящий – длиной 1,5 м, диаметром 219 мм + длиной 3 м, диаметром 355,6 мм.
Отключение ручное, расчетное время отключения согласно НПБ 105-03 [1] принимается равным 300 с.
2 Расчет критериев взрывопожарной опасности
2.1 Определение необходимого условия.
В помещении обращается ЛВЖ с температурой вспышки менее 28 °C, способная образовывать взрывоопасные паровоздушные смеси, что отвечает необходимому условию отнесения помещения к взрывопожароопасной категории А.
За расчетный вариант принимается аварийная разгерметизация трубопровода, приводящая к выбросу горючей среды (ЛВЖ) в помещение с возможностью возникновения пожара.
2.2 Определение достаточного условия отнесения помещения к категории А.
Рассчитывается избыточное давление взрыва DP, кПа, по формуле (1у) для бензина:
,
где Vп = (30 · 12 · 6,6) = 2376 м3;
кг/м3;
m– масса паров бензина, поступивших в помещение в результате аварии, кг, рассчитывается по формуле (12) НПБ 105-03 [1]:
m= W · Fи · T,
где W – интенсивность испарения, кг/(с·м2).
W = 10-6 · h ·
· Pн,
кПа,
W= 10-6 · 1 ·
· 36,6 = 3,6 · 10-4 кг/(с·м2),
T – время испарения, принимается 3600 с по НПБ 105-03 [1];
Fи – площадь испарения, м2; определяется по п. 7 г НПБ 105-03 [1] из расчета, что 1 л жидкости разливается на 1 м2.
Рассчитывается объем бензина, разлившийся в результате расчетной аварии, Vав, м3:
Vав = Vа + Vт,
где Vа – объем бензина, вышедшего из насоса до его отключения, м3;
Vа = q · T = 0,16 · 300 = 48 м3;
Vт – объем бензина, вышедшего из трубопровода, м3;
Vт = p· (r21 · L1 + r22 · L2) = 3,14 · (0,113252 · 2 + 0,15352 · 2,5) = 0,3 м3;
Vав = 48 + 0,3 = 48,3 м3.
За площадь испарения принимается площадь помещения (360 м2), так как она меньшей рассчитанной площади разлива бензина (48300 м2).
m= 3,6 · 10-4 · 360 · 3600 = 466,6 кг.
кПа.
3 Определение категории помещения
Результаты расчетов критериев взрывопожарной опасности показывают, что при расcчетном варианте аварии выполняются необходимое (наличие в помещении ЛВЖ с температурой вспышки менее 28 °C) и достаточное (расчетное избыточное давление при сгорании паровоздушной смеси превышает 5 кПа) условия, позволяющие отнести данное помещение к категории А.
А.108 Расчет критериев взрывопожарной и пожарной опасности и определение категории помещения манифольдной резервуарного парка хранения БФ и стабильного гидрогенизата
1 Исходные данные
1.1 Характеристика помещения.
Длина l = 60 м, ширина b = 6 м, высота h= 6,6 м.
Расчетная температура воздуха tр = 34 °C – абсолютная максимальная температура воздуха (для района г. Сургута) согласно таблице 2 СНиП 23-01-99* [6].
1.2 Характеристика веществ и материалов, обращающихся (находящихся) в помещении, по справочным данным [10].
Бензин, гидрогенизат: легковоспламеняющаяся жидкость (ЛВЖ).
1.3 Характеристика технологического процесса и оборудования.
В помещении происходит распределение потоков бензина или гидрогенизата с использованием следующего оборудования: трубопровод бензина производительностью 200 м3/ч диаметром 325 мм, длиной 50 м; трубопровод бензина или гидрогенизата производительностью 200 м3/ч, диаметром 325 мм, длиной 100 м; 8 трубопроводов бензина производительностью 200 м3/ч, диаметром 325 мм, длиной 50 м; 7 трубопроводов бензина или гидрогенизата производительностью 200 м3/ч, диаметром 325 мм, длиной 110 м.
Отключение ручное, расчетное время отключения согласно НПБ 105-03 [1] принимается равным 300 с.
2 Расчет критериев взрывопожарной опасности
2.1 Определение необходимого условия.
В помещении обращается ЛВЖ с температурой вспышки менее 28 °C, способная образовывать взрывоопасные паровоздушные смеси, что отвечает необходимому условию отнесения помещения к взрывопожароопасной категории А.
За расчетный вариант принимается аварийная разгерметизация трубопровода, приводящая к выбросу горючей среды (ЛВЖ) в помещение с возможностью возникновения пожара. Расчет проводится по наиболее взрывоопасному компоненту – бензину.
2.2 Определение достаточного условия отнесения помещения к категории А.
Рассчитывается избыточное давление взрыва DP, кПа, по формуле (1у) для бензина:
,
где Vп = (60 · 6 · 6,6) = 2376 м3;
кг/м3;
m– масса паров бензина, поступивших в помещение в результате аварии, кг, рассчитывается по формуле (12) НПБ 105-03 [1]:
m = W · Fи · T.
где W – интенсивность испарения, кг/(с·м2).
W= 10-6 · h ·
· Pн,
кПа,
W= 10-6 · 1 ·
· 36,6 = 3,6 · 10-4 кг/(с·м2),
T – время испарения, принимается 3600 с по НПБ 105-03 [1];
Fи- площадь испарения, м2; определяется по п. 7 г НПБ 105-03 [1] из расчета, что 1 л жидкости разливается на 1 м2.
Рассчитывается объем бензина, разлившегося в результате расчетной аварии, Vав, м3:
Vав = Vа + Vт,
где Vа – объем бензина, вышедшего из насоса до его отключения, м3;
Vа = q · T = 0,06 · 300 = 18 м3,
Vт – объем бензина, вышедшего из трубопровода, м3;
Vт = p · r2 · L = 3,14 · (0,15352 · 110) = 8,1 м3;
Vав = 18 + 8,1 = 26,1 м3.
За площадь испарения принимается площадь помещения (360 м2), так как она меньше рассчитанной площади разлива бензина (26100 м2).
m= 3,6 · 10-4 · 360 · 3600 = 466,6 кг.
кПа.
3 Определение категории помещения
Результаты расчетов критериев взрывопожарной опасности показывают, что при расчетном варианте аварии выполняются необходимое (наличие в помещении ЛВЖ с температурой вспышки менее 28 °C) и достаточное (расчетное избыточное давление при сгорании паровоздушной смеси превышает 5 кПа) условия, позволяющие отнести данное помещение категории А.
А.109 Расчет критериев взрывопожарной и пожарной опасности и определение категории помещения насосной резервуарного парка хранения бутана технического, СПБТ
1 Исходные данные
1.1 Характеристика помещения.
Длина l = 30 м, ширина b= 12 м, высота h = 6,6 м.
Расчетная температура воздуха tр = 34 °C – абсолютная максимальная температура воздуха (для района г. Сургута) согласно таблице 2 СНиП 23-01-99* [6].
1.2 Характеристика веществ и материалов, обращающихся (находящихся) в помещении, по справочным данным (приложение Г).
Пропан: сжиженный углеводородный газ (СУГ).
Объем газа с 1 л сжиженного пропана: 0,269 м3,
Бутан: сжиженный углеводородный газ (СУГ).
1.3 Характеристика технологического процесса и оборудования.
В помещении происходит перекачка смеси бутана или бутана технического, или смеси пропан и бутан технический, или ШФЛУ с использованием следующего оборудования: 3 насоса откачки смеси бутанов или бутана технического, или смеси пропан и бутан технический, или ШФЛУ производительностью 310 м3/ч с трубопроводами: входящий – длиной 1,5 м, диаметром 244,5 мм + длиной 2,5 м, диаметром 325 мм, выходящий - длиной 1,5 м, диаметром 219 мм + длиной 3 м, диаметром 325 мм; 2 насоса откачки бутана или пропана производительностью 310 м3/ч с трубопроводами: входящий – длиной 1,5 м, диаметром 244,5 мм + длиной 2,5 м, диаметром 325 мм, выходящий – длиной 1,5 м, диаметром 219 мм + длиной 3 м, диаметром 325 мм; насос для внутрипарковой перекачки бутана или пропана производительностью 310 м3/час с трубопроводами: входящий – длиной 1,5 м, диаметром 244,5 мм + длиной 2,5 м, диаметром 325 мм, выходящий – длиной 1,5 м, диаметром 219 мм + длиной 3 м, диаметром 325 мм.
Отключение ручное, расчетное время отключения согласно НПБ 105-03 [1] принимается равным 300 с.
2 Расчет критериев взрывопожарной опасности
2.1 Определение необходимого условия.
В помещении обращается СУГ, переходящий при испарении в ГГ, способный образовывать взрывоопасные газовоздушные смеси, что отвечает необходимому условию отнесения помещения к взрывопожароопасной категории А.
За расчетный вариант принимается аварийная разгерметизация насоса, приводящая к выбросу горючей среды (ГГ) в помещение с возможностью возникновения пожара. Расчет проводится по наиболее взрывоопасному компоненту – пропану.
2.2 Определение достаточного условия отнесения помещения к категории А.
Рассчитывается избыточное давление взрыва DP, кПа, по формуле (1гу) для пропана:
,
| где Vп | = (30 · 12 · 6,6) = 2376 м3; |
| V | – объем СУГ, поступившего в помещение в результате расчетной аварии, м3, |
V= V1т + V2т,
где V1т – объем СУГ, вышедшего из трубопровода до его отключения, м3;
V1т =q · T= 0,09 · 300 = 27 м3,
V2т – объем СУГ, вышедшего из трубопровода после его отключения, м3;
V2т = p · (r21 · L1 + r22 · L2) = 3,14 (0,10052 · 1,5 + 0,15352 · 3) = 0,7 м3,
V = 27 + 0,7 = 27,7 м3.
Объем газа с 1 л сжиженного пропана составляет 0,269 м3, следовательно, с 27,7 м3 объем газообразного пропана составит:
Vг = 27700 · 0,269 = 7451,3 м3.
кПа.
3 Определение категории помещения
Результаты расчетов критериев взрывопожарной опасности показывают, что при расчетном варианте аварии выполняются необходимое (наличие в помещении ГГ) и достаточно (расчетное избыточное давление при сгорании газовоздушной смеси превышает 5 кПа) условия, позволяющие отнести данное помещение к категории А.
А.110 Расчет критериев взрывопожарной и пожарной опасности и определение категории помещения насосной резервуарного парка хранения изопентана, ПГФ
1 Исходные данные
1.1 Характеристика помещения.
Длина l = 30 м, ширина b = 12 м, высота h= 6,6 м.
Расчетная температура воздуха tр = 34 °C – абсолютная максимальная температура воздуха (для района г. Сургута) согласно таблице 2 СНиП 23-01-99* [6].
1.2 Характеристика веществ и материалов, обращающихся (находящихся) в помещении, по справочным данным (приложение Г).
ШФЛУ: (пропана - 30 %, бутана - 30 % и др.).
Пропан, бутан: сжиженные углеводородные газы (СУГ).
Объем газа с 1 л сжиженного пропана: 0,269 м3.
Пентан, гексан: легковоспламеняющиеся жидкости (ЛВЖ).
1.3 Характеристика технологического процесса и оборудования.
В помещении происходит перекачка ШФЛУ или бутана, изопентановой и пентан-гексановой фракции, с использованием следующего оборудования: 2 насоса откачки ШФЛУ или бутана производительностью 200 м3/ч с трубопроводами: входящий – диаметром 159 мм, длиной 2,5 м, выходящий – диаметром 108 мм, длиной 1,8 м; 2 насоса откачки ШФЛУ или бутана производительностью 200 м3/ч с трубопроводами: входящий – диаметром 219 мм, длиной 2,5 м, выходящий – диаметром 108 мм, длиной 2 м; насос внутрипарковой перекачки (все, что есть в парке) производительностью 460 м3/ч с трубопроводами: входящий - диаметром 325 мм, длиной 2 м + диаметром 219 мм, длиной 4 м, выходящий – диаметром 325 мм, длиной 2,5 м + диаметром 219 мм, длиной 1,5 м; насос подачи изопентановой фракции производительностью 283,7 м3/ч с трубопроводами: входящий – диаметром 325 мм, длиной 3 м + диаметром 219 мм, длиной 2 м, выходящий – диаметром 219 мм, длиной 3,5 м; насос подачи пентан-гексановой фракции производительностью 373,8 м3/ч с трубопроводами: входящий - диаметром 325 мм, длиной 3 м + диаметром 219 мм, длиной 2 м, выходящий – диаметром 219 мм, длиной 3,5 м; насос подачи изопентан-гексановой фракции производительностью 373,8 м3/ч с трубопроводами: входящий – диаметром 325 мм, длиной 3 м + диаметром 219 мм, длиной 2 м, выходящий – диаметром 219 мм, длиной 3,5 м.
Отключение ручное, расчетное время отключения согласно НПБ 105-03 [1] принимается равным 300 с.
2 Расчет критериев взрывопожарной опасности
2.1 Определение необходимого условия.
В помещении обращается СУГ, переходящий при испарении в ГГ, способный образовывать взрывоопасные газовоздушные смеси, что отвечает необходимому условию отнесения помещения к взрывопожароопасной категории А.
За расчетный вариант принимается аварийная разгерметизация трубопровода, приводящая к выбросу горючей среды (ГГ) в помещение с возможностью возникновения пожара.
Расчет проводится по наиболее взрывоопасному компоненту – пропану.
2.2 Определение достаточного условия отнесения помещения к категории А.
Рассчитывается избыточное давление взрыва DP, кПа, по формуле (1гу) для пропана:
,
| где Vп | = (30 · 12 · 6,6) = 2376 м3; |
| V | – объем СУГ, поступившего в помещение в результате расчетной аварии, м3; |
V= V1т + V2т,
где V1т – объем СУГ, вышедшего из трубопровода до его отключения, м3;
V1т = 0,06 · 300 = 18 м3,
V2т – объем СУГ, вышедшего из трубопровода после его отключения, м3;
V2т = p · (r21 · L1 + r22 · L2) = 3,14 (0,10052 · 2,5 + 0,04852 · 2) = 0,1 м3,
V = 18 + 0,1 = 18,1 м3.
Объем газа с 1 л сжиженного пропана составляет 0,269 м3, следовательно, с 18,1 м3 объем газообразного пропана составит:
Vг = 18100 · 0,269 = 4868,9 м3.
кПа.
3 Определение категории помещения
Результаты расчетов критериев взрывопожарной опасности показывают, что при расчетном варианте аварии выполняются необходимое (наличие в помещении ГГ) и достаточное (расчетное избыточное давление при сгорании газовоздушной смеси превышает 5 кПа) условия, позволяющие отнести данное помещение к категории А.
А.111 Расчет критериев взрывопожарной и пожарной опасности и определение категории помещения насосной резервуарного парка хранения реактивного топлива
1 Исходные данные
1.1 Характеристика помещения.
Длина l = 12 м, ширина b= 12 м, высота h = 6,6 м.
Расчетная температура воздуха tр = 34 °C – абсолютная максимальная температура воздуха (для района г. Сургута) согласно таблице 2 СНиП 23-01-99* [6].
Скорость движения воздушного потока в помещении в теплый период года составляет 0,2 м/с.
1.2 Характеристика веществ и материалов, обращающихся (находящихся) в помещении, по справочным данным (приложение Г).
Авиационный бензин: легковоспламеняющаяся жидкость (ЛВЖ).
1.3 Характеристика технологического процесса и оборудования.
В помещении происходит перекачка реактивного топлива с использованием следующего оборудования: 2 насоса подачи бензина авиационного производительностью 94,1 м3/ч (0,03 м3/с) с трубопроводами: входящий – диаметром 244,5 мм, длиной 4 м, выходящий - диаметром 159 мм, длиной 6 м; 2 насоса внутрипарковой перекачки керосиновой фракции производительностью 360 м3/ч с трубопроводами: входящий - диаметром 325 мм, длиной 4,5 м, выходящий – диаметром 244,5 мм, длиной 4 м.
Отключение ручное, расчетное время отключения согласно НПБ 105-03 [1] принимается равным 300 с.
2 Расчет критериев взрывопожарной опасности
2.1 Определение необходимого условия.
В помещении обращается ЛВЖ с температурой вспышки менее 28 °C, способная образовывать взрывоопасные паровоздушные смеси, что отвечает необходимому условию отнесения помещения к взрывопожароопасной категории А.
За расчетный вариант принимается аварийная разгерметизация насоса, приводящая к выбросу горючей среды (ЛВЖ) в помещение с возможностью возникновения пожара. Расчет проводится по наиболее взрывоопасному компоненту согласно ряду ЛВЖ (см. 6.4.3) – бензину.
2.2 Определение достаточного условия отнесения помещения к категории А.
Рассчитывается избыточное давление взрыва DP, кПа, по формуле (1у) для бензина:
,
где Vп = (12 · 12 · 6,6) = 950,4 м3;
кг/м3;
m– масса паров бензина, поступивших в помещение в результате аварии, кг:
m = W · Fи · T.
W = 10-6 · h ·
· Pн,
кПа,
W= 10-6 · 2,4 ·
· 18,03 = 4,4 · 10-4 кг/(с·м2),
Fи – площадь испарения, м2; определяется по п. 7 г НПБ 105-03 [1] из расчета, что 1 л жидкости разливается на 1 м2.
Рассчитывается объем бензина, разлившегося в результате расчетной аварии, Vав, м3:
Vав = Vа + Vт,
где Vа – объем бензина, вышедшего из насоса до его отключения, м3;
Vа = q · T = 0,03 · 300 = 9 м3,
Vт – объем бензина, вышедшего из трубопровода, м3;
Vт = p · (r21 · L1 + r22 · L2) = 3,14 · (0,15352 · 4,5 + 0,113252 · 4) = 0,5 м3;
Vав = 9 + 0,5 = 9,5 м3.
За площадь испарения принимается площадь помещения (144 м2), так как она меньше рассчитанной площади разлива бензина (9500 м2).
m= 4,4 · 10-4 · 144 · 3600 = 228,1 кг.
кПа.
3 Определение категории помещения
Результаты расчетов критериев взрывопожарной опасности показывают, что при расчетном варианте аварии выполняются необходимое (наличие в помещении ЛВЖ с температурой вспышки менее 28 °C) и достаточное (расчетное избыточное давление при сгорании паровоздушной смеси превышает 5 кПа) условия, позволяющие отнести данное помещение категории А.
А.112 Расчет критериев взрывопожарной и пожарной опасности и определение категории помещения насосной дизтоплива
1 Исходные данные
1.1 Характеристика помещения.
Длина l = 3 м, ширина b=2,7 м, высота h = 3,5 м.
Расчетная температура воздуха tр = 34 °C – абсолютная максимальная температура воздуха (для района г. Уренгоя) согласно таблице 2 СНиП 23-01-99* [6].
1.2 Характеристика веществ и материалов, обращающихся (находящихся) в помещении по справочным данным (приложение Г).
Дизельное топливо «зимнее»: легковоспламеняющаяся жидкость (ЛВЖ).
1.3 Характеристика технологического процесса.
В помещении насосной осуществляется перекачка дизтоплива центробежным насосом производительностью 2,8 м3/ч (0,0008 м3/с), с трубопроводами: входящим – диаметром 57 мм, длиной 0,6 м и выходящим – диаметром 57 мм, длиной 2 м.
Отключения ручное, расчетное время отключения принимается согласно п. 7 НПБ 105-03 [1] равным 300 с.
2 Расчет критериев взрывопожарной опасности
2.1 Определение необходимого условия.
В помещении находится ЛВЖ с температурой вспышки более 28 °C, способная образовывать взрывоопасную паровоздушную смесь, что соответствует необходимому условию отнесения помещения к взрывоопасной категории Б.
За расчетный вариант принимается аварийная разгерметизация насоса, приводящая к истечению ЛВЖ (дизтоплива) в помещение с возможностью возникновения пожара.
2.2 Определение достаточного условия отнесения помещения к категории Б.
Рассчитывается избыточное давление взрыва DP, кПа, по формуле (4у) для ДТ:
,
| где Vп | = (3 · 2,7 · 3,5) = 28,35 м3; |
| rв | = 1,15 кг/м3, по таблице 6.1, |
| m | – масса паров ДТ, поступивших в результате расчетной аварии в помещение, кг; |
m = W · Fи ·T,
W = 10-6 · h ·
· Pн,
где h = 2,4 по таблице 3 НПБ 105-03 [1] для скорости движения воздуха 0,2 м/с;
кПа,
W = 10-6 · 2,4 ·
· 3,77 = 1,2 · 10-4 кг/(с·м2);
T – время испарения, с, принимается равным 3600 с по НПБ 105-03 [1];
Fи – площадь испарения, м2, определяется по п. 7 г НПБ 105-03 [1] из расчета, что 1 л жидкости разливается на 1 м2.
Рассчитывается объем дизтоплива, разлившегося в результате аварии,Vав, м3.
Vав = Vа + Vт,
где Vа – объем жидкости, вышедшей из насоса до отключения, м3.
Vа= T · q = 300 · 0,0008 = 0,24 м3,
Vт – объем трубопровода, м3;
Vт = p · r2 · L= 3,14 · 0,02852 · 2 = 0,005 м3,
Vав = 0,24 + 0,005 = 0,245 м3.
За площадь испарения принимается площадь помещения (8,1 м2) так как она меньше рассчитанной (245 м2).
m = 1,2 · 10-4 · 8,1 · 3600 = 3,5 кг.
кПа.
3 Определение категории помещения
Результаты расчетов критериев взрывопожарной опасности показывают, что при расчетном варианте аварии выполняются необходимое (наличие ЛВЖ с температурой вспышки более 28°C) и достаточное (расчетное избыточное давление при сгорании паровоздушной смеси превышает 5 кПа) условия, что позволяет отнести данное помещение к категории Б.
А.113 Расчет критериев взрывопожарной и пожарной опасности и определение категории помещения насосной сжиженного пропана
Расчет см. А.1.91, приложение А СТО Газпром 2-1.1-094.
А.114 Расчет критериев взрывопожарной и пожарной опасности и определение категории помещения склада хранения технического углерода
1 Исходные данные
1.1 Характеристика помещения.
Длина l = 78 м, ширина b= 12 м, высота h= 3,6 м.
Минимальное расстояние от поверхности пожарной нагрузки до нижнего пояса ферм перекрытия H составляет 1,5 м.
1.2 Характеристика веществ и материалов, обращающихся (находящихся) в помещении, по справочным данным (приложение Г).
Техуглерод гранулированный. Массовая доля пыли техуглерода – 6 % (по ГОСТ 7885-86*). Твердые горючие не пылящие материалы:
| Наименование материала | Группа горючести | Удельная теплота сгорания, МДж/кг | Количество материала, кг |
| Бумага | Горючий материал | 17,6 | 2625 |
| Полиэтилен | Горючий материал | 47,14 | 200 |
| Древесина | Горючий материал | 13,8 | 6300 |
| Технический углерод | Горючий материал | 28,326 | 150000 |
1.3 Характеристика технологического процесса и оборудования.
В помещении склада осуществляется хранение на деревянных поддонах упакованного в бумажные мешки (по 25 кг) технического углерода. Мешки закрепляются полиэтиленовой пленкой (имеющей способность растягиваться до 300 %), что обеспечивает устойчивость груза на поддоне и препятствует разрыву бумажных мешков и просыпу техуглерода.
Пожарная нагрузка размещена равномерно по всей площади помещения, S = 936 м2.
2 Расчет критериев пожарной опасности
Учитывая условия хранения техуглерода на складе (обеспечение непросыпания техуглерода), поступление пыли техуглерода при аварии в помещение не рассматривается.
2.1 Определение необходимых условий.
а) В помещении обращаются твердые горючие материалы, что соответствует необходимому условию отнесения помещения к одной из пожароопасных категорий (от В1 до В4).
б) Для конкретизации категории рассчитываются: пожарная нагрузка Q, МДж, и удельная пожарная нагрузка g, МДж/м2.
,
Q = 2625 · 17,6 + 200 · 47,14 + 6300 · 13,8 + 150000 · 28,326 = 4391468 МДж,
МДж/м2.
Рассчитанная удельная пожарная нагрузка соответствует категории В1 (g> 2200 МДж/м2) по таблице 4 НПБ 105-03 [1]
3 Определение категории помещения
Результаты расчетов критериев пожарной опасности показывают, что выполняются необходимое и достаточное (рассчитанная удельная пожарная нагрузка соответствует категории В1) условия, позволяющие отнести данное помещение к категории В1.
А.115 Расчет критериев взрывопожарной и пожарной опасности и определение категории помещения насосной склада ГСМ
Расчет см. А.1.92, приложение А СТО Газпром 2-1.1-094.
А.116 Расчет критериев взрывопожарной и пожарной опасности и определение категории помещения маслонасосной склада масел
Расчет см. А.1.94, приложение А СТО Газпром 2-1.1-094.
А.117 Расчет критериев взрывопожарной и пожарной опасности и определение категории помещения насосной воды горячего цикла
1 Исходные данные
1.1 Характеристика помещения.
Длина l = 17,5 м, ширина b= 9,5 м, высота h= 6 м.
Минимальное расстояние от поверхности пожарной нагрузки до нижнего пояса ферм перекрытия Hсоставляет 4 м.
1.2 Характеристика веществ и материалов, обращающихся (находящихся) в помещении по справочным данным (приложение Г).
Масло компрессорное: горючая жидкость (ГЖ).
Карболит, ПВХ: твердые горючие не пылящие материалы (в составе изоляции щитов управления).
1.3 Характеристика технологического процесса и оборудования.
В помещении находятся: 3 насоса воды; компрессор воздуха; 2 щита управления.
Суммарная масса горючих веществ и материалов: карболит – 3 кг; ПВХ – 1,5 кг; масло компрессорное – 60 л.
2 Расчет критериев пожарной опасности
2.1 Определение необходимых условий.
а) В помещении обращаются горючие вещества и материалы (в т.ч. ГЖ, нагретая ниже температуры вспышки, без возможности образования аэрозоля), что соответствует необходимому условию отнесения помещения к одной из пожароопасных категорий (от В1 до В4).
б) Для конкретизации категории рассчитываются: пожарная нагрузка Q, МДж, и удельная пожарная нагрузка g, МДж/м2.
,
Gмасло = 0,06 м3 · 895 кг/м3 = 53,7 кг,
Q = 53,7 · 41,87 + 3 · 26,9 + 1,5 · 20,7 = 2360,2 МДж.
.
Площадь размещения пожарной нагрузки, м2, определяется по п. 7 НПБ 105-03 [1] из расчета, что 1 л жидкости разливается на 0,5 м2 и составляет (60 · 0,5 = 30 м2)
МДж/м2.
Рассчитанная удельная пожарная нагрузка соответствует категории В4 (g= 1 ¸ 180 МДж/м2) по таблице 4 НПБ 105-03 [1].
2.2 Определение достаточного условия отнесения помещения к категории В3.
Способ размещения пожарной нагрузки не соответствует нормируемому п. 23 НПБ 105-03 [1], так как в помещении нельзя выделить участки категории В4 площадью 10 м2 с расстоянием между ними более предельного.
3 Определение категории помещения
Результаты расчетов критериев пожарной опасности показывают, что выполняется необходимое условие (рассчитанная удельная пожарная нагрузка соответствует категории В4), однако достаточное условие (способ размещения пожарной нагрузки в помещении) не выполняется, поэтому данное помещение следует отнести к категории В3.
А.118 Расчет критериев взрывопожарной и пожарной опасности и определение категории помещения насосной воды холодного цикла
1 Исходные данные
1.1 Характеристика помещения.
Длина l = 12 м, ширина b= 3 м, высота h = 3 м.
1.2 Характеристика веществ и материалов, обращающихся (находящихся) в помещении, по справочным данным [10].
ПВХ: твердый горючий не пылящий материал (в составе электроизоляции).
1.3 Характеристика технологического процесса и оборудования.
В помещении насосной осуществляется перекачка воды насосами (3 шт.). Щитовая размещена в выгороженном помещении.
Масса горючих материалов: ПВХ – 0,45 кг.
Пожарная нагрузка размещена на площади 6 м2.
2 Расчет критериев пожарной опасности
2.1 Определение необходимых условий.
а) В помещении обращаются горючие вещества и материалы, что соответствует необходимому условию отнесения помещения к одной из пожароопасных категорий (от В1 до В4).
б) Для конкретизации категории рассчитываются: пожарная нагрузка Q, МДж, и удельная пожарная нагрузка g, МДж/м2.
,
Q = 0,45 · 20,7 = 9,32 МДж,
МДж/м2,
где S – площадь размещения пожарной нагрузки, м2, но не менее 10 м2.
Рассчитанная удельная пожарная нагрузка не превышает минимального нормируемого значения для отнесения к категории В4 (g= 1 ¸ 180 МДж/м2) по таблице 4 НПБ 105-03 [1].
3 Определение категории помещения
Результаты расчетов критериев пожарной опасности показывают, что данное помещение не относится к категориям А, Б, В1 - В4, Г, что позволяет отнести ее к категории Д.
А.119 Расчет критериев взрывопожарной и пожарной опасности и определение категории помещения станции оборотного водоснабжения СОГ
1 Исходные данные
1.1 Характеристика помещения.
Длина l= 6 м, ширина b = 3,5 м, высота h= 3,5 м.
Минимальное расстояние от поверхности пожарной нагрузки до нижнего пояса ферм перекрытия Hсоставляет 2 м.
1.2 Характеристика веществ и материалов, обращающихся (находящихся) в помещении, по справочным данным (приложение Г).
Карболит, ПВХ: твердые горючие не пылящие материалы (в составе щита управления).
1.3 Характеристика технологического процесса и оборудования.
В помещении находятся: 4 насоса перекачки воды; 2 щита управления высотой 1 м, площадью 0,2 м2; емкость с водой объемом 3 м3.
Суммарная масса горючих материалов: карболит – 2 кг; ПВХ – 1 кг.
Площадь размещения пожарной нагрузки в составе щитов управления S= 0,4 м2.
2 Расчет критериев пожарной опасности
2.1 Определение необходимых условий.
а) В помещении находятся твердые непылящие горючие материалы, что соответствует необходимому условию отнесения помещения к одной из пожароопасных категорий (от В1 до В4).
б) Для конкретизации категории рассчитываются: пожарная нагрузка Q, МДж, и удельная пожарная нагрузка g, МДж/м2.
,
Q = (2 · 26,9) + (1 · 20,7) = 74,5 МДж,
МДж/м2.
За площадь размещения пожарной нагрузки принимается участок 10 м2 (по п. 25 НПБ 105-03 [1]).
Рассчитанная удельная пожарная нагрузка соответствует категории В4 (g= 1 ¸ 180 МДж/м2) по таблице 4 НПБ 105-03 [1].
2.2 Определение достаточного условия отнесения помещения к категории В4.
Способ размещения пожарной нагрузки соответствует нормируемому п. 25 НПБ 105-03 [1].
3 Определение категории помещения
Результаты расчетов критериев пожарной опасности показывают, что выполняются необходимое (рассчитанная удельная пожарная нагрузка соответствует категории В4) и достаточное (способ размещения пожарной нагрузки в помещении соответствует нормируемому) условия, что позволяет отнести данное помещение к категории В4.
А.120 Расчет критериев взрывопожарной и пожарной опасности и определение категории помещения насосной промстоков
1 Исходные данные
1.1 Характеристика помещения.
Площадь S = 29,28 м2, высота h= 4,2 м.
Расчетная температура воздуха tр = 40 °C – абсолютная максимальная температура воздуха (для района г. Ставрополя) согласно таблице 2 СНиП 23-01-99* [6].
Скорость движения воздуха в помещении в теплый период года составляет 0,2 м/с.
1.2 Характеристика веществ и материалов, обращающихся (находящихся) в помещении, по справочным данным (приложение Г).
Промстоки, содержащие нефтепродукты (бензин). Усредненная концентрация – 2,4 г/дм3, максимально возможная при аварийной ситуации – 10 г/дм3.
1.3 Характеристика технологического процесса и оборудования.
В помещении насосной канализационной насосной станции (КНС) осуществляется перекачка промстоков с использованием следующего технологического оборудования: 3 насоса (один рабочий, два в резерве) производительностью 45 м3/ч (0,0125 м3/с) с трубопроводом диаметром 89 мм, длиной 2 м.
Отключение автоматическое без резервирования, расчетное время отключения принимается согласно п. 7 НПБ 105-03 [1] равным 120 с.
2 Расчет критериев взрывопожарной и пожарной опасности
2.1 Определение необходимого условия.
В помещении обращается горючая жидкость с температурой вспышки менее 28 °C, способная образовать взрывопожароопасную паровоздушную смесь, что соответствует необходимому условию отнесения помещения к взрывопожароопасной категории А.
За расчетный вариант принимается аварийная разгерметизация насоса, приводящая к истечению горючей среды (бензина) в помещение с возможностью возникновения пожара.
2.2 Определение достаточного условия отнесения помещения к категории А.
Рассчитывается избыточное давление взрыва DP, кПа, по формуле (1у) для бензина:
,
где Vп = (29,28 · 4,2) = 123 м3;
кг/м3;
m– масса паров бензина, поступивших в помещение в результате аварии, кг:
m = W · Fи · T.
W = 10-6 · h ·
· Pн,
кПа,
где h = 0,01, принимается по исходным данным;
W = 10-6 · 2,4 ·
· 0,45 = 1,05 · 10-5 кг/(с·м2),
| где h | = 2,4 по таблице 3 НПБ 105-03 [1] для исходных данных; |
| T | – время испарения, принимается 3600 с по НПБ 105-03 [1]; |
| Fи | – площадь испарения, м2 определяется по п. 7 г НПБ 105-03 [1] из расчета, что 1 л жидкости разливается на 1 м2. |
Рассчитывается объем разлившейся жидкости, Vав, м3:
Vав = V1т + V2т,
где V1т – объем промстоков, вышедших из насоса до его отключения, м3;
V1т = q · T = 0,0125 · 120 = 1,5 м3;
V2т – объем промстоков, вышедших из трубопровода после его отключения, м3.
V2т = p · r2 · L = 3,14 · 0,042 · 2 = 0,01 м3,
Vав= 1,5 + 0,01 = 1,51 м3 (1510 л).
За площадь испарения принимается площадь помещения (29,28 м2), так как она меньше рассчитанной площади разлива промстоков (1510 м2):
m = 1,05 · 10-5 · 29,28 · 3600 = 1,11 кг,
кПа.
3 Определение категории помещения по взрывопожарной опасности
Результаты расчетов критериев взрывопожарной опасности показывают, что при расчетном варианте аварии достигаются необходимое (наличие в помещении ЛВЖ с температурой вспышки менее 28 °C) и достаточное (расчетное избыточное давление при сгорании паровоздушной смеси превышает 5 кПа) условия, что позволяет отнести данное помещение к категории А.
А.121 Расчет критериев взрывопожарной и пожарной опасности и определение категории помещения мокрого отделения (решеток) хозбытовых стоков
1 Исходные данные
1.1 Характеристика помещения.
Длина l = 3 м, ширина b = 7,7 м, высота h = 10 м.
1.2 Характеристика веществ и материалов, обращающихся (находящихся) в помещении, по справочным данным (приложение Г).
Хозбытовые стоки: негорючая жидкость.
1.3 Характеристика технологического процесса и оборудования.
В помещении производится улавливание решетками крупных механических включений из хозбытовых стоков.
2 Расчет критериев пожарной опасности
Расчет не требуется.
3 Определение категории помещения
Для данного помещения выполняются необходимое и достаточное условия (в помещении находятся только негорючие вещества и материалы в холодном состоянии), что позволяет отнести его к категории Д.
А.122 Расчет критериев взрывопожарной и пожарной опасности и определение категории помещения водоумягчительной станции
1 Исходные данные
1.1 Характеристика помещения.
Длина l = 12 м, ширина b= 3 м, высота h = 3 м.
Минимальное расстояние от поверхности пожарной нагрузки до нижнего пояса ферм перекрытия Hсоставляет 2,3 м.
Расчетная температура воздуха tр – 40 °C – абсолютная максимальная температура воздуха (для района г. Ставрополя) согласно таблице 2 СНиП 23-01-99* [6].
1.2 Характеристика веществ и материалов, обращающихся (находящихся) в помещении, по справочным данным (приложение Г).
Карболит, ПВХ: твердые, горючие, не пылящие материалы (в составе щитов управления).
1.3 Характеристика технологического процесса и оборудования.
Оборудование: 2 емкости с водой объемом 2 м3; 2 емкости с водой объемом 1 м3; 2 насоса перекачки воды; 2 щита управления.
Суммарная масса горючих материалов: карболит – 2 кг; ПВХ – 1 кг.
2 Расчет критериев пожарной опасности
2.1 Определение необходимых условий.
а) В помещении находятся твердые не пылящие горючие материалы, что соответствует необходимому условию отнесения помещения к одной из пожароопасных категорий (от В1 до В4).
б) Для конкретизации категории рассчитываются: пожарная нагрузка Q, МДж, и удельная пожарная нагрузка g, МДж/м2.
,
Q = 2 · 26,9 + 1 · 20,7 = 74,5 МДж.
.
За площадь размещения пожарной нагрузки принимается участок 10 м2 по п. 25 НПБ 105-03 [1].
МДж/м2.
Рассчитанная удельная пожарная нагрузка соответствует категории В4 (1 ¸ 180 МДж/м2) по таблице 4 НПБ 105-03 [1].
2.2 Определение достаточного условия отнесения к категории В4.
Способ размещения пожарной нагрузки соответствует нормируемому п. 25 НПБ 105-03 [1].
3 Определение категории помещения
Результаты расчетов критериев пожарной опасности показывают, что выполняются необходимое (рассчитанная удельная пожарная нагрузка соответствует категории В4) и достаточное (способ размещения пожарной нагрузки в помещении) условия, позволяющие отнести данное помещение к категории В4.
А.123 Расчет критериев взрывопожарной и пожарной опасности и определение категории помещения химводоподготовки котельной
1 Исходные данные
1.1 Характеристика помещения.
Длина l = 3 м, ширина b= 3 м, высота h = 2,2 м.
Минимальное расстояние от поверхности пожарной нагрузки до нижнего пояса ферм перекрытия H составляет 1 м.
1.2 Характеристика веществ и материалов, обращающихся (находящихся) в помещении, по справочным данным (приложение Г).
ПВХ, карболит: твердые, горючие, не пылящие материалы.
Вода техническая: негорючая жидкость.
1.3 Характеристика технологического процесса и оборудования.
В помещении находятся: 4 фильтра химводоподготовки, солевой фильтр; насос солевой (NaCl); 6 насосов воды; щит управления.
Суммарная масса горючих материалов в составе изоляции щита управления: карболит – 2,5 кг; ПВХ – 1 кг. Площадь размещения пожарной нагрузки S= 0,25 м2.
2 Расчет критериев пожарной опасности
2.1 Определение необходимых условий.
а) В помещении находятся твердые не пылящие горючие материалы, что соответствует необходимому условию отнесения помещения к одной из пожароопасных категорий (от В1 до В4).
б) Для конкретизации категории рассчитываются: пожарная нагрузка Q, МДж, и удельная пожарная нагрузка g, МДж/м2.
,
Q = 1 · 20,7 + 2,5 · 26,9 = 87,95 МДж,
.
За площадь размещения пожарной нагрузки принимается участок 10 м2 по п. 25 НПБ 105-03 [1].
МДж/м2.
Рассчитанная удельная пожарная нагрузка соответствует категории В4 (1 ¸ 180 МДж/м2) по таблице 4 НПБ 105-03 [1].
2.2 Определение достаточного условия отнесения к категории В4.
Способ размещения пожарной нагрузки соответствует нормируемому п. 25 НПБ 105-03 [1].
3 Определение категории помещения
Результаты расчетов критериев пожарной опасности показывают, что выполняются необходимое (рассчитанная удельная пожарная нагрузка соответствует категории В4) и достаточное (способ размещения пожарной нагрузки в помещении) условия, позволяющие отнести данное помещение к категории В4.
А.124 Расчет критериев взрывопожарной и пожарной опасности и определение категории помещения ЦТП
1 Исходные данные 1
1.1 Характеристика помещения.
Длина l = 18 м, ширина b = 18 м, высота h = 6 м.
Минимальное расстояние от поверхности пожарной нагрузки до нижнего пояса ферм перекрытия H составляет 4,5 м.
1.2 Характеристика веществ и материалов, обращающихся (находящихся) в помещении, по справочным данным (приложение Г).
Карболит, ПВХ: твердые горючие не пылящие материалы (в составе шкафов управления).
1.3 Характеристика технологического процесса.
В помещении ЦТП размещено следующее оборудование: 3 сетевых насоса с водой, дренажный насос с водой; 4 конденсатных насоса с водой; 3 пары водяных теплообменников с водой; емкость конденсатного бака объемом 16 м3 с водой; 3 шкафа управления.
Площадь размещения пожарной нагрузки – 1,5 м2.
Суммарная масса горючих материалов: карболит – 4,5 кг; ПВХ –1,5 кг.
2 Расчет критериев пожарной опасности
2.1 Определение необходимых условий.
а) В помещении находятся твердые не пылящие горючие материалы, что соответствует необходимому условию отнесения помещения к одной из пожароопасных категорий (от В1 до В4).
б) Для конкретизации категории рассчитываются: пожарная нагрузка Q, МДж, и удельная пожарная нагрузка g, МДж/м2.
,
Q = (4,5 · 26,9) + (1,5 · 20,7) = 152,1 МДж,
МДж/м2.
За площадь размещения пожарной нагрузки принимается участок 10 м2 по п. 25 НПБ 105-03 [1].
Рассчитанная удельная пожарная нагрузка соответствует категории В4 (1 ¸ 180 МДж/м2) по таблице 4 НПБ 105-03 [1].
2.2 Определение достаточного условия отнесения к категории В4.
Способ размещения пожарной нагрузки соответствует нормируемому п. 25 НПБ 105-03 [1].
3 Определение категории помещения
Результаты расчетов критериев пожарной опасности показывают, что выполняется необходимое и достаточное условия для отнесения помещения к категории В4.
А.125 Расчет критериев взрывопожарной и пожарной опасности и определение категории помещения кустовой фильтрационной насосной станции
1 Исходные данные
1.1 Характеристика помещения.
Длина l = 15 м, ширина b = 12 м, высота h= 6,5 м.
Минимальное расстояние от поверхности пожарной нагрузки до нижнего пояса ферм перекрытия Hсоставляет 5 м.
1.2 Характеристика веществ и материалов, обращающихся (находящихся) в помещении, по справочным данным (приложение Г).
Карболит, ПВХ: твердые горючие не пылящие материалы (в составе щита управления).
1.3 Характеристика технологического процесса и оборудования.
В помещении находятся: 3 фильтра; 5 насосов перекачки воды; щит управления площадью 0,1 м2.
Суммарная масса горючих материалов: карболит - 1 кг; ПВХ – 0,5 кг.
Площадь размещения пожарной нагрузки S = 0,1 м2.
2 Расчет критериев пожарной опасности
2.1 Определение необходимых условий.
а) В помещении находятся твердые не пылящие горючие материалы, что соответствует необходимому условию отнесения помещения к одной из пожароопасных категорий (от В1 до В4).
б) Для конкретизации категории рассчитываются: пожарная нагрузка Q, МДж, и удельная пожарная нагрузка g, МДж/м2.
,
Q = (1 · 26,9) + (0,5 · 20,7) = 37,25 МДж,
МДж/м2.
За площадь размещения пожарной нагрузки принимается 10 м2 по п. 25 НПБ 105-03 [1].
Рассчитанная удельная пожарная нагрузка соответствует категории В4 (1 ¸ 180 МДж/м2) по таблице 4 НПБ 105-03 [1].
2.2 Определение достаточного условия отнесения помещения к категории В4.
Способ размещения пожарной нагрузки соответствует нормируемому п. 25 НПБ 105-03 [1].
3 Определение категории помещения
Результаты расчетов критериев пожарной опасности показывают, что выполняются необходимое (рассчитанная удельная пожарная нагрузка соответствует категории В4) и достаточное (способ размещения пожарной нагрузки в помещении) условия, позволяющие отнести данное помещение к категории В4.
А.126 Расчет критериев взрывопожарной и пожарной опасности и определение категории помещения насосной станции хозяйственно-питьевого и противопожарного водоснабжения
Расчет см. А.1.71, приложение А СТО Газпром 2-1.1-094.
А.127 Расчет критериев взрывопожарной и пожарной опасности и определение категории помещения аппаратной химводоочистки
Расчетом. А1.76, приложение А СТО Газпром 2-1.1-094.
А.128 Расчет критериев взрывопожарной и пожарной опасности и определение категории помещения насосной 2 водоподъема
Расчет см. А.1.2, приложение А СТО Газпром 2-1.1-094.
А.129 Расчет критериев взрывопожарной и пожарной опасности и определение категории помещения машзала электростанции собственных нужд
1 Исходные данные
1.1 Характеристика помещения.
Длина l= 12 м, ширина b = 12 м, высота h = 8 м.
Минимальное расстояние от поверхности пожарной нагрузки до нижнего пояса ферм перекрытия H составляет 6 м.
1.2 Характеристика веществ и материалов, обращающихся (находящихся) в помещении, по справочным данным (приложение Г).
Природный газ (по метану – CH4): горючий газ (ГГ).
Масло для двигателей МС-8П: горючая жидкость (ГЖ).
1.3 Характеристика технологического процесса и оборудования.
В помещении находится 3 турбоагрегата, в которых в качестве топлива используется природный газ. В маслосистеме двигателя каждого турбоагрегата находится маслобак на 1290 л.
2 Расчет критериев пожарной опасности
2.1 Определение необходимого условия.
а) В помещении обращается ГГ, но так как он используется в качестве топлива, далее рассматривается ГЖ (нагретая ниже температуры вспышки без возможности образования аэрозоля), что соответствует необходимому условию отнесения помещения к одной из пожароопасных категорий В1 - В4.
За расчетный вариант принимается аварийная разгерметизация маслобака с ГЖ, приводящая к истечению горючей среды в помещение с возможностью возникновения пожара.
б) Для конкретизации категории рассчитываются: пожарная нагрузка Q, МДж, и удельная пожарная нагрузка g, МДж/м2.
,
G= (3 · 1,29 м3) · 875 кг/м3 = 3386,25 кг,
Q = 3386,25 · 43,11 = 145981,2 МДж.
.
За площадь размещения пожарной нагрузки принимается площадь помещения (144 м2), так как она меньше вычисленной (645 м2) по п. 7 НПБ 105-03 [1] из расчета, что 1 л жидкости разливается на 0,5 м2.
МДж/м2.
Рассчитанная удельная пожарная нагрузка соответствует категории В3 (181 ¸ 1400 МДж/м2) по таблице 4 НПБ 105-03 [1].
2.2 Определение достаточных условий отнесения помещения к категории В3.
а) Способ размещения пожарной нагрузки соответствует нормируемому п. 25 НПБ 105-03 [1].
б) Проверяется выполнение неравенства по п. 25 НПБ 105-03 [1] для рассчитанного количества пожарной нагрузки Q:
Q³ 0,64 · gт · H2,
| где gт | = 1400 МДж/м2 при 181 МДж/м2£ g£ 1400 МДж/м2; |
| H | – минимальное расстояние от поверхности пожарной нагрузки до нижнего пояса ферм перекрытия, м, |
145981,2 ³ 0,64 · 1400 · 62 = 32256 МДж.
Неравенство выполняется
3 Определение категории помещения
Результаты расчетов критериев пожарной опасности показывают, что выполняется необходимое условие (рассчитанная удельная пожарная нагрузка соответствует категории В3), однако одно из достаточных условий не выполняется (неравенство верно), поэтому данное помещение следует отнести к категории В2.
А.130 Расчет критериев взрывопожарной и пожарной опасности и определение категории помещения выпрямительной
1 Исходные данные
1.1 Характеристика помещения.
Длина l = 6 м, ширина b= 2,8 м, высота h = 4,5 м.
Минимальное расстояние от поверхности пожарной нагрузки до нижнего пояса ферм перекрытия Hсоставляет 3 м.
1.2 Характеристика веществ и материалов, обращающихся (находящихся) в помещении, по справочным данным (приложение Г).
Карболит, ПВХ, текстолит, полистирол: твердые горючие не пылящие материалы (в составе электроизоляции, корпусов приборов).
1.3 Характеристика технологического процесса и оборудования.
В помещении находятся: 5 выпрямителей; электропитающее устройство; шкаф коммуникационный; 6 щитов батарейных.
Суммарная масса горючих материалов: карболит – 10 кг; ПВХ – 4 кг; текстолит – 2 кг; полистирол – 3 кг.
Пожарная нагрузка размещена равномерно по всей площади помещения.
2 Расчет критериев пожарной опасности
2.1 Определение необходимых условий.
а) В помещении находятся твердые не пылящие горючие материалы, что отвечает необходимому условию отнесения помещения к одной из пожароопасных категорий (от В1 до В4).
б) Для конкретизации категории рассчитываются: пожарная нагрузка Q, МДж, и удельная пожарная нагрузка g, МДж/м2.
,
Q= (10 · 26,9) + (4 · 20,7) + (2 · 22,43) + (3 · 39,8) = 516,06 МДж,
МДж/м2.
Рассчитанная удельная пожарная нагрузка соответствует категории В4 (1 ¸ 180 МДж/м2) по таблице 4 НПБ 105-03 [1].
2.2 Определение достаточного условия отнесения помещения к категории В4.
Способ размещения пожарной нагрузки не соответствует нормируемому п. 25 НПБ 105-03 [1], так как невозможно выделить участки категории В4 площадью 10 м2 с расстояниями между ними более предельных.
3 Определение категории помещения
Результаты расчетов критериев пожарной опасности показывают, что выполняется необходимое условие для отнесения помещения к категории В4, однако достаточное условие не выполняется (способ размещения пожарной нагрузки не соответствует нормируемому), поэтому помещение следует относить к категории В3.
А.131 Расчет критериев взрывопожарной и пожарной опасности и определение категории помещения газопоршневой электростанции
Расчет см. А.1.50, приложение А СТО Газпром 2-1.1-094.
А.132 Расчет критериев взрывопожарной и пожарной опасности и определение категории помещения для передвижной автоматизированной электростанции (ПАЭС)
Расчет см. А.1.51, приложение А СТО Газпром 2-1.1-094.
А.133 Расчет критериев взрывопожарной и пожарной опасности и определение категории помещения аварийных турбогенераторов
Расчет см. А.1.52, приложение А СТО Газпром 2-1.1-094.
А.134 Расчет критериев взрывопожарной и пожарной опасности и определение категории помещения ДЭС
Расчет см. А.1.53, приложение А СТО Газпром 2-1.1-094.
А.135 Расчет критериев взрывопожарной и пожарной опасности и определение категории помещения дистилляторной
Расчет см. А1.83, приложение А СТО Газпром 2-1.1-094.
А.136 Расчет критериев взрывопожарной и пожарной опасности и определение категории помещения аккумуляторной (гелевые аккумуляторы)
Расчет см. А.1.55, приложение А СТО Газпром 2-1.1-094.
А.137 Расчет критериев взрывопожарной и пожарной опасности и определение категории помещения аккумуляторной (кислотные аккумуляторы)
Расчет см. А.1.56, приложение А СТО Газпром 2-1.1-094.
А.138 Расчет критериев взрывопожарной и пожарной опасности и определение категории помещения аккумуляторной (щелочные аккумуляторы)
Расчет см. А.1.57, приложение А СТО Газпром 2-1.1-094.
А.139 Расчет критериев взрывопожарной и пожарной опасности и определение категории помещения блока автоматики бесперебойного питания
Расчет см. А.1.58, приложение А СТО Газпром 2-1.1-094.
А.140 Расчет критериев взрывопожарной и пожарной опасности и определение категории помещения ЗРУ
Расчет см. А.1.54, приложение А СТО Газпром 2-1.1-094.
А.141 Расчет критериев взрывопожарной и пожарной опасности и определение категории помещения КТП
Расчет см. А.1.59, приложение А СТО Газпром 2-1.1-094.
А.142 Расчет критериев взрывопожарной и пожарной опасности и определение категории помещения щитовых (ЩСУ, НКУ и т.п.)
Расчет см. А.1.60, приложение А СТО Газпром 2-1.1-094.
А.143 Расчет критериев взрывопожарной и пожарной опасности и определение категории помещения распределительного пункта ЭХЗ
Расчет см. А.1.62, приложение А СТО Газпром 2-1.1-094.
А.144 Расчет критериев взрывопожарной и пожарной опасности и определение категории помещения котлоагрегатов котельной
Расчет см. А.1.63, приложение А СТО Газпром 2-1.1-094.
А.145 Расчет критериев взрывопожарной и пожарной опасности и определение категории помещения теплового узла
Расчет см. А.1.68, приложение А СТО Газпром 2-1.1-094.
А.146 Расчет критериев взрывопожарной и пожарной опасности и определение категории помещения утилизационной насосной станции
Расчет см. А.1.65, приложение А СТО Газпром 2-1.1-094.
А.147 Расчет критериев взрывопожарной и пожарной опасности и определение категории помещения операторной ЦПУ
1 Исходные данные
1.1 Характеристика помещения.
Длина l = 5,5 м, ширина b= 5,5 м, высота h= 3,3 м.
Минимальное расстояние от поверхности пожарной нагрузки до нижнего пояса ферм перекрытия H составляет 1,8 м.
1.2 Характеристика веществ и материалов обращающихся (находящихся) в помещении, по справочным данным (приложение Г).
ДСП, карболит, ПВХ, полистирол: твердые горючие не пылящие материалы.
1.3 Характеристика технологического процесса и оборудования.
В помещении, предназначенном для оперативного контроля и управления техпроцессом, находятся: 5 столов (ДСП); стеллаж (металл); 4 компьютера, ЩУС (1,2 ´ 0,5 ´ 2,1 м), щит КИП (1 ´ 0,5 ´ 1,7 м).
Суммарная масса горючих материалов: ДСП – 150 кг; карболит – 5 кг; ПВХ - 6 кг, полистирол – 8 кг. Пожарная нагрузка (в составе щитов управления, корпусов приборов мебели) размещена равномерно по всей площади помещения.
2 Расчет критериев пожарной опасности
2.1 Определение необходимых условий.
а) В помещении находятся твердые не пылящие горючие материалы, что соответствует необходимому условию отнесения помещения к одной из пожароопасных категорий (от В1 до В4).
б) Для конкретизации категории рассчитываются: пожарная нагрузка Q, МДж, и удельная пожарная нагрузка g, МДж/м2.
,
Q = (150 · 13,8) + (5 · 26,9) + (6 · 20,7) + (8 · 39,8) = 2645,5 МДж,
МДж/м2.
Рассчитанная удельная пожарная нагрузка соответствует категории В4 (1 ¸ 180 МДж/м2) по таблице 4 НПБ 105-03 [1].
2.2 Определение достаточного условия отнесения помещения к категории В4.
Способ размещения пожарной нагрузки не соответствует нормируемому п. 25 НПБ 105-03 [1], так как невозможно выделить участки категории В4 площадью 10 м2 с расстояниями между ними более предельных.
3 Определение категории помещения
Результаты расчетов критериев пожарной опасности показывают, что выполняется необходимое условие для отнесения помещения к категории В4, однако достаточное условие не выполняется (способ размещения пожарной нагрузки не соответствует нормируемому), поэтому помещение следует относить к категории В3.
А.148 Расчет критериев взрывопожарной и пожарной опасности и определение категории помещения операторной
1 Исходные данные
1.1 Характеристика помещения.
Длина l = 6 м, ширина b = 12 м, высота h = 3 м.
Минимальное расстояние от поверхности пожарной нагрузки до нижнего пояса ферм перекрытия H составляет 1,3 м.
1.2 Характеристика веществ и материалов, обращающихся (находящихся) в помещении, по справочным данным (приложение Г).
Карболит, ПВХ, текстолит, полистирол, ДСП: твердые горючие не пылящие материалы (в составе щита управления).
1.3 Характеристика технологического процесса и оборудования.
В помещении операторной находятся 3 блока шкафов по 7 секций с автоматикой, 4 стола и 2 компьютера.
Суммарная масса горючих материалов: карболит – 5 кг; ПВХ – 4 кг; текстолит – 2 кг; полистирол – 3 кг; ДСП – 90 кг. Площадь размещения пожарной нагрузки S= 9 м2.
2 Расчет критериев пожарной опасности
2.1 Определение необходимых условий.
а) В помещении находятся твердые не пылящие горючие материалы, что соответствует необходимому условию отнесения помещения к одной из пожароопасных категорий (от В1 до В4).
б) Для конкретизации категории рассчитываются: пожарная нагрузка Q, МДж, и удельная пожарная нагрузка g, МДж/м2
,
Q = 4 · 20,7 + 5 · 26,9 + 2 · 23,983 + 3 · 39,8 + 90 · 13,8 = 1626,7 МДж,
МДж/м2.
Рассчитанная удельная пожарная нагрузка соответствует категории В4 (g= 1 ¸ 180 МДж/м2) по таблице 4 НПБ 105-03 [1].
2.2 Определение достаточного условия.
Способ размещения пожарной нагрузки соответствует нормируемому п. 25 НПБ 105-03 [1].
3 Определение категории помещения
Результаты расчетов критериев пожарной опасности показывают, что выполняются необходимое (рассчитанная удельная пожарная нагрузка соответствует категории В4) и достаточное (способ размещения пожарной нагрузки в помещении соответствует нормируемому) условия, что позволяет отнести данное помещение к категории В4.
А.149 Расчет критериев взрывопожарной и пожарной опасности и определение категории помещения аппаратной
1 Исходные данные
1.1 Характеристика помещения.
Длина l= 5 м, ширина b = 3 м, высота h= 3 м.
Минимальное расстояние от поверхности пожарной нагрузки до нижнего пояса ферм перекрытия H составляет 1 м.
1.2 Характеристика веществ и материалов, обращающихся (находящихся) в помещении, по справочным данным (приложение Г).
ПВХ, текстолит, полистирол, карболит: твердые горючие не пылящие материалы.
1.3 Характеристика технологического процесса и оборудования.
В помещении аппаратной размещается оборудование, предназначенное для передачи, потоков данных.
Суммарная масса горючих материалов: ПВХ – 8 кг; текстолит – 5 кг; полистирол - 4 кг; карболит – 6 кг. Пожарная нагрузка размещена равномерно по всей площади помещения.
2 Расчет критериев пожарной опасности
2.1 Определение необходимых условий.
а) В помещении находятся твердые не пылящие горючие материалы, что соответствует необходимому условию отнесения помещения к одной из пожароопасных категорий (от В1 до В4).
б) Для конкретизации категории рассчитываются: пожарная нагрузка Q, МДж, и удельная пожарная нагрузка g, МДж/м2.
,
Q = 8 · 20,7 + 5 · 23,983 + 4 · 39,8 + 6 · 26,9 = 606,1 МДж,
МДж/м2.
Рассчитанная удельная пожарная нагрузка соответствует категории В4 (g= 1 ¸ 180 МДж/м2) по таблице 4 НПБ 105-03 [1].
2.2 Определение достаточного условия.
Способ размещения пожарной нагрузки не соответствует нормируемому п. 25 НПБ 105-03 [1], так как в помещении нельзя выделить участки размещения пожарной нагрузки площадью 10 м2 с расстоянием между ними более предельного.
3 Определение категории помещения
Результаты расчетов критериев пожарной опасности показывают, что выполняется необходимое условие (рассчитанная удельная пожарная нагрузка соответствует категории В4), однако достаточное условие (способ размещения пожарной нагрузки в помещении) не выполняется, поэтому данное помещение следует отнести к категории В3.
А.150 Расчет критериев взрывопожарной и пожарной опасности и определение категории помещения аппаратной КИПиА
Расчет см. А.1.61, приложение А СТО Газпром 2-1.1-094.
А.151 Расчет критериев взрывопожарной и пожарной опасности и определение категории помещения мультиплексорной
1 Исходные данные
1.1 Характеристика помещения.
Длина l = 6 м, ширина b = 4 м, высота h= 3,5 м.
Минимальное расстояние от поверхности пожарной нагрузки до нижнего пояса ферм перекрытия Hсоставляет 1,5 м.
1.2 Характеристика веществ и материалов, обращающихся (находящихся) в помещении, по справочным данным (приложение Г).
ПВХ, текстолит, полистирол: твердые горючие не пылящие материалы.
1.3 Характеристика технологического процесса и оборудования.
В помещении мультиплексорной размещается оборудование, предназначенное для передачи потоков данных.
Суммарная масса горючих веществ и материалов: ПВХ – 10 кг; текстолит – 4 кг; полистирол – 5 кг. Пожарная нагрузка размещена равномерно по всей площади помещения.
2 Расчет критериев пожарной опасности
2.1 Определение необходимых условий.
а) В помещении находятся твердые не пылящие горючие материалы, что соответствует необходимому условию отнесения помещения к одной из пожароопасных категорий (от В1 до В4).
б) Для конкретизации категории рассчитываются: пожарная нагрузка Q, МДж, и удельная пожарная нагрузка g, МДж/м2.
,
Q = 10 · 20,7 + 4 · 23,983 + 5 · 39,8 = 501,9 МДж,
МДж/м2
Рассчитанная удельная пожарная нагрузка соответствует категории В4 (g= 1 ¸ 180 МДж/м2) по таблице 4 НПБ 105-03 [1].
2.2 Определение достаточного условия.
Способ размещения пожарной нагрузки не соответствует нормируемому п. 25 НПБ 105-03 [1], так как в помещении нельзя выделить участки размещения пожарной нагрузки площадью 10 м2 с расстоянием между ними более предельного.
3 Определение категории помещения
Результаты расчетов критериев пожарной опасности показывают, что выполняется необходимое условие (рассчитанная удельная пожарная нагрузка соответствует категории В4), однако достаточное условие (способ размещения пожарной нагрузки в помещении) не выполняется, поэтому данное помещение следует отнести к категории В3.
A.152 Расчет критериев взрывопожарной и пожарной опасности и определение категории помещения серверной
1 Исходные данные
1.1 Характеристика помещения.
Длина l = 6 м, ширина b = 3,5 м, высота h= 3 м.
Минимальное расстояние от поверхности пожарной нагрузки до нижнего пояса ферм перекрытия H составляет 1 м.
1.2 Характеристика веществ и материалов, обращающихся (находящихся) в помещении, по справочным данным (приложение Г).
ПВХ, текстолит, полистирол: твердые горючие не пылящие материалы (в составе оборудования).
1.3 Характеристика технологического процесса и оборудования.
В помещении серверной размещается оборудование, предназначенное для обработки, хранения, передачи данных.
Суммарная масса горючих веществ и материалов:
ПВХ – 15 кг; текстолит – 18 кг; полистирол – 10 кг.
Пожарная нагрузка размещена равномерно по всей площади помещения.
2 Расчет критериев пожарной опасности
2.1 Определение необходимых условий.
а) В помещении находятся твердые не пылящие горючие материалы, что соответствует необходимому условию отнесения помещения к одной из пожароопасных категорий (от В1 до В4).
б) Для конкретизации категории рассчитываются: пожарная нагрузка Q, МДж, и удельная пожарная нагрузка g, МДж/м2.
,
Q = 15 · 20,7 + 18 · 23,983 + 10 · 39,8 = 1140,2 МДж,
МДж/м2.
Рассчитанная удельная пожарная нагрузка соответствует категории В4 (g = 1 ¸ 180 МДж/м2) по таблице 4 НПБ 105-03 [1].
2.2 Определение достаточного условия.
Способ размещения пожарной нагрузки не соответствует нормируемому п. 25 НПБ 105-03 [1], так как в помещении нельзя выделить участки размещения пожарной нагрузки площадью 10 м2 с расстоянием между ними более предельного.
3 Определение категории помещения
Результаты расчетов критериев пожарной опасности показывают, что выполняется необходимое условие (рассчитанная удельная пожарная нагрузка соответствует категории В4), однако достаточное условие (способ размещения пожарной нагрузки в помещении) не выполняется, поэтому данное помещение следует отнести к категории В3.
А.153 Расчет критериев взрывопожарной и пожарной опасности и определение категории помещения микропроцессорной
1 Исходные данные
1.1 Характеристика помещения.
Длина l = 9,5 м, ширина b=6 м, высота h = 5 м.
Расчетная температура воздуха tр = 35 °C – абсолютная максимальная температура воздуха (для района г. Ухты) согласно таблице 2 СНиП 23-01-99* [6].
1.2 Характеристика веществ и материалов, обращающихся (находящихся) в помещении, по справочным данным.
Карболит, ПВХ: твердые горючие не пылящие материалы.
1.3 Характеристика технологического процесса и оборудования.
В помещении микропроцессорной размещено оборудование АСУТП, обеспечивающее автоматизацию техпроцессов, которое размещено рядами: 1 ряд: шкафы с контролерам 0,8 ´ 0,5 ´ 2 м (3 шт.) + 0,8 ´ 0,5 ´ 2,2 м (3 шт. с разводкой); 2 ряд: шкафы с контролерам 0,8 ´ 0,5 ´ 2 м (2 шт.) + 0,8 ´ 0,5 ´ 2,2 м (2 шт. с разводкой) + 1 шкаф релейный; 3 ряд: 1 шкаф релейный электрический 4 ´ 0,5 ´ 2,2 м; 4 ряд: щиты управления 7 ´ 2,2 м; 5 ряд: ЩР 0,8 ´ 0,6 ´ 2,2 м + 1 ´ 0,6 ´ 2,2 м.
Пожарная нагрузка распределена равномерно по всей площади помещения.
Суммарная масса горючих материалов: карболит - 100 кг; ПВХ - 300 кг.
2 Расчет критериев пожарной опасности
2.1 Определение необходимых условий.
а) В помещении находятся твердые не пылящие горючие материалы, что соответствует необходимому условию отнесения помещения к одной из пожароопасных категорий (от В1 до В4).
б) Для конкретизации категории рассчитываются: пожарная нагрузка Q, МДж, и удельная пожарная нагрузка g, МДж/м2.
,
Q= 100 · 26,9 + 300 · 20,7 = 8900 МДж,
МДж/м2.
Рассчитанная удельная пожарная нагрузка соответствует категории В4 (1 ¸ 180 МДж/м2) по таблице 4 НПБ 105-03 [1].
2.2 Определение достаточного условия отнесения помещения к категории В4.
Способ размещения пожарной нагрузки не соответствует нормируемому п. 25 НПБ 105-03 [1], так как невозможно выделить участки категории В4 площадью 10 м2 с расстояниями между ними более предельных.
3 Определение категории помещения
Результаты расчетов критериев пожарной опасности показывают, что выполняется необходимое условие для отнесения помещения к категории В4, однако достаточное условие не выполняется (способ размещения пожарной нагрузки не соответствует нормируемому), поэтому помещение следует относить к категории В3.
А.154 Расчет критериев взрывопожарной и пожарной опасности и определение категории помещения кроссовой
1 Исходные данные
1.1 Характеристика помещения.
Длина l = 8,7 м, ширина b = 5,8 м, высота h = 3,5 м.
Минимальное расстояние от поверхности пожарной нагрузки до нижнего пояса ферм перекрытия H составляет 2 м.
1.2 Характеристика веществ и материалов, обращающихся (находящихся) в помещении, по справочным данным (приложение Г).
ДСП, карболит, ПВХ, текстолит, полистирол: твердые горючие не пылящие материалы (в составе электроизоляции, корпусов приборов и мебели).
1.3 Характеристика технологического процесса и оборудования.
В помещении кроссовой осуществляется соединение (кроссирование) жил линейных и станционных кабелей между собой гибкими проводами (называемыми кроссовыми шнурами). В помещении размещены рабочие столы, компьютеры.
Суммарная масса горючих материалов: ДСП – 170 кг; карболит – 10 кг; ПВХ - 4 кг, текстолит – 3 кг; полистирол - 4 кг. Пожарная нагрузка размещена равномерно по всей площади помещения.
2 Расчет критериев пожарной опасности
2.1 Определение необходимых условий.
а) В помещении находятся твердые не пылящие горючие материалы, что отвечает необходимому условию отнесения помещения к одной из пожароопасных категорий (от В1 до В4).
б) Для конкретизации категории рассчитываются: пожарная нагрузка Q, МДж, и удельная пожарная нагрузка g, МДж/м2.
,
Q = (170 · 13,8) + (10 · 26,9) + (4 · 20,7) + (3 · 22,43) + (4 · 39,8) = 2924,3 МДж.
МДж/м2.
Рассчитанная удельная пожарная нагрузка соответствует категории В4 (1 ¸ 180 МДж/м2) по таблице 4 НПБ 105-03 [1].
2.2 Определение достаточного условия отнесения помещения к категории В4.
Способ размещения пожарной нагрузки не соответствует нормируемому п. 25 НПБ 105-03 [1], так как невозможно выделить участки категории В4 площадью 10 м2 с расстояниями между ними более предельных.
3 Определение категории помещения
Результаты расчетов критериев пожарной опасности показывают, что выполняется необходимое условие для отнесения помещения к категории В4, однако достаточное условие не выполняется (способ размещения пожарной нагрузки не соответствует нормируемому), поэтому помещение следует относить к категории В3.
А.155 Расчет критериев взрывопожарной и пожарной опасности и определение категории помещения радиомастерской
1 Исходные данные
1.1 Характеристика помещения.
Длина l = 3,5 м, ширина b = 6 м, высота h= 3,5 м.
Минимальное расстояние от поверхности пожарной нагрузки до нижнего пояса ферм перекрытия H составляет 2,5 м.
1.2 Характеристика веществ и материалов, обращающихся (находящихся) в помещении, по справочным данным (приложение Г).
Канифоль: горючее вещество, плавящееся при 100 °C.
ДСП, карболит, ПВХ, текстолит, полистирол: твердые горючие не пылящие материалы (в составе корпусов приборов и мебели).
1.3 Характеристика технологического процесса и оборудования.
В помещении находятся: 4 стола; 4 шкафа (ДСП); инструменты для ремонта р/оборудования; ЗИП.
Суммарная масса горючих веществ и материалов: канифоль – 0,2 кг, ДСП – 320 кг; ПВХ - 1 кг; текстолит – 1,5 кг; полистирол – 3 кг.
Пожарная нагрузка размещена равномерно по всей площади помещения.
2 Расчет критериев пожарной опасности
2.1 Определение необходимых условий.
а) В помещении находятся твердые не пылящие горючие материалы, что отвечает необходимому условию отнесения помещения к одной из пожароопасных категорий (от В1 до В4).
б) Для конкретизации категории рассчитываются: пожарная нагрузка Q, МДж, и удельная пожарная нагрузка g, МДж/м2.
,
Q = (0,2 · 30,4) + (320 · 13,8) + (1 · 20,7) + (1,5 · 22,43) + (3 · 39,8) = 4595,8 МДж,
,
МДж/м2.
Рассчитанная удельная пожарная нагрузка соответствует категории В3 (181 ¸ 1400 МДж/м2) по таблице 4 НПБ 105-03 [1].
2.2 Определение достаточных условий отнесения помещения к категории В3.
а) Способ размещения пожарной нагрузки соответствует нормируемому п. 25 НПБ 105-03 [1].
б) Проверяется выполнение неравенства по п. 25 НПБ 105-03 [1] для рассчитанного количества пожарной нагрузки Q:
Q³ 0,64 · gт · H2,
| где gт | = 1400 МДж/м2 при 181 МДж/м2£ g£ 1400 МДж/м2; |
| H | – минимальное расстояние от поверхности пожарной нагрузки до нижнего пояса ферм перекрытия, м, |
4595,8 ³ 0,64 · 1400 · 2,52 = 5600 МДж.
Неравенство не выполняется
3 Определение категории помещения
Результаты расчетов критериев пожарной опасности показывают, что выполняются необходимое (удельная пожарная нагрузка находящихся в помещении горючих веществ и материалов соответствует категории В3) и достаточные (неравенство не выполняется) условия, что позволяет отнести данное помещение к категории В3.
А.156 Расчет критериев взрывопожарной и пожарной опасности и определение категории помещения линейно-аппаратного зала
1 Исходные данные
1.1 Характеристика помещения.
Длина l = 8,5 м, ширина b = 3,7 м, высота h= 3,5 м.
Минимальное расстояние от поверхности пожарной нагрузки до нижнего пояса ферм перекрытия Hсоставляет 2 м.
1.2 Характеристика веществ и материалов, обращающихся (находящихся) в помещении, по справочным данным (приложение Г).
ДСП, карболит, ПВХ, текстолит, полистирол: твердые горючие не пылящие материалы.
1.3 Характеристика технологического процесса.
В помещении находятся: 4 радиорелейные станции; базовая станция тренкинговой связи; стойка автоматического регулирования напряжения; стойка промежуточных манипуляций; стойка магистральных связей совещаний (МСС); шкаф; 3 стола; компьютер.
Суммарная масса горючих материалов: ДСП – 140 кг; карболит – 6 кг; ПВХ – 7 кг; текстолит – 10 кг; полистирол – 4 кг. Пожарная нагрузка размещена равномерно по всей площади помещения.
2 Расчет критериев пожарной опасности
2.1 Определение необходимых условий.
а) В помещении находятся твердые не пылящие горючие материалы, что отвечает необходимому условию отнесения помещения к одной из пожароопасных категории (от В1 до В4).
б) Для конкретизации категории рассчитываются: пожарная нагрузка Q, МДж, и удельная пожарная нагрузка g, МДж/м2.
,
Q = (140 · 13,8) + (6 · 26,9) + (7 · 20,7) + (10 · 22,43) + (4 · 39,8) = 2621,8 МДж,
МДж/м2.
Рассчитанная удельная пожарная нагрузка соответствует категории В4 (1 ¸ 180 МДж/м2) по таблице 4 НПБ 105-03 [1].
2.2 Определение достаточного условия отнесения помещения к категории В4.
Способ размещения пожарной нагрузки не соответствует нормируемому п. 25 НПБ 105-03 [1], так как невозможно выделить участки категории В4 площадью 10 м2 с расстояниями между ними более предельных.
3 Определение категории помещения
Результаты расчетов критериев пожарной опасности показывают, что выполняется необходимое условие для отнесения помещения к категории В4, однако достаточное условие не выполняется (способ размещения пожарной нагрузки не соответствует нормируемому), поэтому помещение следует относить к категории В3.
А.157 Расчет критериев взрывопожарной и пожарной опасности и определение категории помещения АТС
1 Исходные данные
1.1 Характеристика помещения.
Длина l = 5,6 м, ширина b = 6,3 м, высота h= 3,5 м.
Минимальное расстояние от поверхности пожарной нагрузки до нижнего пояса ферм перекрытия H составляет 2 м.
1.2 Характеристика веществ и материалов, обращающихся (находящихся) в помещении, по справочным данным (приложение Г).
ДСП, карболит, ПВХ, текстолит, полистирол: твердые горючие не пылящие материалы (в составе АТС, корпусов приборов и мебели).
1.3 Характеристика технологического процесса.
В помещении находятся: АТС «Харесс»; 2 стола (ДСП); шкаф (ДСП); компьютер.
Суммарная масса горючих материалов: ДСП – 110 кг; карболит – 2 кг; ПВХ – 5 кг; текстолит – 6 кг; полистирол – 3 кг. Пожарная нагрузка размещена равномерно по всей площади помещения.
2 Расчет критериев пожарной опасности
2.1 Определение необходимых условий.
а) В помещении находятся твердые не пылящие горючие материалы, что отвечает необходимому условию отнесения помещения к одной из пожароопасных категорий (от В1 до В4).
б) Для конкретизации категории рассчитываются: пожарная нагрузка Q, МДж, и удельная пожарная нагрузка g, МДж/м2.
,
Q= (110 · 13,8) + (2 · 26,9) + (5 · 20,7) + (6 · 22,43) + (3 · 39,8) = 1929,3 МДж,
МДж/м2.
Рассчитанная удельная пожарная нагрузка соответствует категории В4 (1 ¸ 180 МДж/м2) по таблице 4 НПБ 105-03 [1].
2.2 Определение достаточного условия отнесения помещения к категории В4.
Способ размещения пожарной нагрузки не соответствует нормируемому п. 25 НПБ 105-03 [1], так как невозможно выделить участки категории В4 площадью 10 м2 с расстояниями между ними более предельных.
3 Определение категории помещения
Результаты расчетов критериев пожарной опасности показывают, что выполняется необходимое условие для отнесения помещения к категории В4, однако достаточное условие не выполняется (способ размещения пожарной нагрузки не соответствует нормируемому), поэтому помещение следует относить к категории В3.
А.158 Расчет критериев взрывопожарной и пожарной опасности и определение категории помещения мотопомпы
1 Исходные данные
1.1 Характеристика помещения.
Длина l = 3 м, ширина b= 3,5 м, высота h= 3 м.
Минимальное расстояние от поверхности пожарной нагрузки до нижнего пояса ферм перекрытия H составляет 1,5 м.
Расчетная температура воздуха tр = 40 °C – абсолютная максимальная температура воздуха (для района г. Ставрополя) согласно таблице 2 [6].
Скорость воздушного потока в помещении в теплый период года составляет 0,2 м/с.
1.2 Характеристика веществ и материалов, обращающихся (находящихся) в помещении, по справочным данным (приложение Г).
Масло: горючая жидкость (ГЖ).
Бензин: легковоспламеняющаяся жидкость (ЛВЖ).
Брезент, пластмасса: твердые горючие не пылящие материалы.
1.3 Характеристика технологического процесса и оборудования.
В помещении на металлическом стеллаже находятся 6 пожарных рукавов, 5 пожарных касок, мотопомпа с бензином 20 л, маслом 4,5 л.
Суммарная масса горючих веществ и материалов: брезент – 42 кг; пластмассы – 2,5 кг; бензин – 20 л; масло – 4,5 л.
2 Расчет критериев взрывопожарной опасности
2.1 Определение необходимого условия.
В помещении находятся горючие вещества и материалы, в т.ч. ЛВЖ с температурой вспышки менее 28 °C, способные образовывать взрывоопасную газовоздушную смесь, что соответствует необходимому условию отнесения помещения к взрывопожароопасной категории А. Расчет проводится на наиболее взрывоопасное вещество – бензин.
За расчетный вариант принимается аварийная разгерметизация мотопомпы с ЛВЖ, приводящая к поступлению горючей среды (бензина) в помещение с возможностью возникновения пожара.
2.2 Определение достаточного условия отнесения помещения к категории А.
Рассчитывается избыточное давление взрыва DP, кПа, по формуле (1у) для бензина:
,
где Vп = (3 · 3,5 · 3) = 31,5 м3;
кг/м3;
m– масса паров бензина, поступивших в результате расчетной аварии в помещение, кг;
m = W · Fи · T,
W = 10-6 · h ·
· Pн,
| где h | = 2,4 по таблице 3 НПБ 105-03 [1] для исходных данных, |
| Pн | – давление насыщенных паров при расчетной температуре tр, кПа; |
кПа,
W = 10-6 · 2,4 ·
· 42,14 = 9,8 · 10-4 кг/(с·м2).
T – время испарения, с, принимается равным 3600 с по НПБ 105-03 [1];
Fи – площадь испарения, м2; определяется по п. 7 г НПБ 105-03 [1] из расчета, что жидкости разливается на 1 м2 и составляет 20 м2.
m = 9,8 · 10-4 · 20 · 3600 = 70,56 кг.
кПа.
3 Определение категории помещения
Результаты расчетов критериев взрывопожарной опасности показывают, что при рассчетном варианте аварии достигаются необходимое (наличие в помещении ЛВЖ с температурой вспышки менее 28 °C) и достаточное (расчетное избыточное давление при сгорании газовоздушной смеси превышает 5 кПа) условия для отнесения данного помещения к категории А.
А.159 Расчет критериев взрывопожарной и пожарной опасности и определение категории помещения задвижек пенного пожаротушения
1 Исходные данные
1.1 Характеристика помещения.
Длина l = 4 м, ширина b = 3 м, высота h = 3 м.
1.2 Характеристика веществ и материалов, обращающихся (находящихся) в помещении, по справочным данным (приложение Г).
Негорючие вещества и материалы в холодном состоянии.
1.3 Характеристика технологического процесса и оборудования.
В помещении размещена трубопроводная обвязка с задвижками, предназначении для подачи воды на установку пенного пожаротушения.
2 Расчет критериев пожарной опасности
Расчет не требуется.
3 Определение категории наружной установки
Для данного помещения выполняется необходимое и достаточное условие (наличие в помещении негорючих веществ и материалов в холодном состоянии), что позволяет отнести его к категории Д.
А.160 Расчет критериев взрывопожарной и пожарной опасности и определение категории помещения узла пенопожаротушения
Расчет см. А.1.73, приложение А СТО Газпром 2-1.1-094.
А.161 Расчет критериев взрывопожарной и пожарной опасности и определение категории помещения узла газового пожаротушения
1 Исходные данные
1.1 Характеристика помещения.
Длина l = 2,5 м, ширина b = 2,7 м, высота h = 3 м.
1.2 Характеристика веществ и материалов, обращающихся (находящихся) в помещении, по справочным данным (приложение Г).
Углекислый газ: негорючий газ.
1.3 Характеристика технологического процесса и оборудования.
В помещении хранятся 10 баллонов с углекислым газом и 1 баллон с воздухом.
2 Расчет критериев пожарной опасности
Расчет не требуется.
3 Определение категории наружной установки
Для данного помещения выполняется необходимое и достаточное условие (наличие в помещении негорючих веществ и материалов в холодном состоянии), что позволяет отнести его к категории Д.
А.162 Расчет критериев взрывопожарной и пожарной опасности и определение категории помещения МИЖУ
1 Исходные данные
1.1 Характеристика помещения.
Длина l = 20 м, ширина b = 6 м, высота h= 5 м.
1.2 Характеристика веществ и материалов, обращающихся (находящихся) в помещении, по справочным данным (приложение Г).
Углекислый газ: негорючий газ.
1.3 Характеристика технологического процесса и оборудования.
В помещении находится изотермическая емкость объемом 25 м3 с жидкой углекислотой
2 Расчет критериев пожарной опасности
Расчет не требуется.
3 Определение категории наружной установки
Для данного помещения выполняются необходимое и достаточное условие (наличие в помещении негорючих веществ и материалов в холодном состоянии), что позволяет отнести его к категории Д.
А.163 Расчет критериев взрывопожарной и пожарной опасности и определение категории помещения узла управления задвижками ППВ
Расчет см. А.1.74, приложение А СТО Газпром 2-1.1-094.
А.164 Расчет критериев взрывопожарной и пожарной опасности и определение категории помещения задвижек ППВ
Расчет см. А.1.75, приложение А СТО Газпром 2-1.1-094.
А.165 Расчет критериев взрывопожарной и пожарной опасности и определение категории помещения токарной мастерской
Расчет см. А.1.97, приложение А СТО Газпром 2-1.1-094.
А.166 Расчет критериев взрывопожарной и пожарной опасности и определение категории помещения слесарной мастерской
Расчет см. А.1.98, приложение А СТО Газпром 2-1.1-094.
А.167 Расчет критериев взрывопожарной и пожарной опасности и определение категории помещения ремонта и тарировки предохранительных клапанов
Расчет см. А.1.99, приложение А СТО Газпром 2-1.1-094.
А.168 Расчет критериев взрывопожарной и пожарной опасности и определение категории помещения сварочного поста
Расчет см. А.1.100, приложение А СТО Газпром 2-1.1-094.
А.169 Расчет критериев взрывопожарной и пожарной опасности и определение категории помещения стеклодувной мастерской
1 Исходные данные
1.1 Характеристика помещения.
Длина l = 5,8 м, ширина b= 6 м, высота h= 3,2 м.
1.2 Характеристика веществ и материалов, обращающихся (находящихся) в помещении, по справочным данным (приложение Г).
Сжиженный газ (по пропану C3H8): горючий газ (ГГ) – используется в качестве топлива.
1.3 Характеристика технологического процесса и оборудования.
В помещении производится выполнение стеклодувных работ. В стеклодувной мастерской находятся: стеклодувный стол с местным отсосом; кислородо-пропановая горелка; стеклянные заготовки, готовые стеклянные изделия.
2 Расчет критериев пожарной опасности
Расчет не требуется.
3 Определение категории помещения
Для данного помещения выполняются необходимое и достаточное условие (наличие в помещении горючих веществ, которые сжигаются в качестве топлива при отсутствии других горючих веществ и материалов), что позволяет отнести его к категории Г.
А.170 Расчет критериев взрывопожарной и пожарной опасности и определение категории помещения кузнечного цеха
1 Исходные данные
1.1 Характеристика помещения.
Длина l = 10 м, ширина b= 14 м, высота h= 5,5 м.
1.2 Характеристика веществ и материалов, обращающихся (находящихся) в помещении, по справочным данным (приложение Г).
Природный газ (по метану CH4): горючий газ (ГГ) – используется в качестве топлива.
1.3 Характеристика технологического процесса и оборудования.
В помещении производятся кузнечные работы. В помещении кузнечного цеха находятся: кузнечный горн; молот; пресс; металлические заготовки и изделия.
2 Расчет критериев пожарной опасности
Расчет не требуется.
3 Определение категории помещения
Для данного помещения выполняются необходимое и достаточное условия (наличие в помещении горючих веществ и материалов, которые сжигаются в качестве топлива при отсутствии других горючих веществ и материалов), что позволяет отнести его к категории Г.
А.171 Расчет критериев взрывопожарной и пожарной опасности и определение категории помещения склада ЛКМ
1 Исходные данные
1.1 Характеристика помещения.
Длина l = 9,7 м, ширина b= 4,8 м, высота h = 3,5 м.
Расчетная температура воздуха tр = 35 °C – абсолютная максимальная температура воздуха (для района г. Ухты) согласно таблице 2 СНиП 23-01-99* [6].
1.2 Характеристика веществ и материалов, обращающихся (находящихся) в помещении, по справочным данным (приложение Г).
| Наименование ЛКМ и ЛВЖ | Расфасовка | Общее количество ЛКМ | в том числе, летучие компоненты ЛКМ | |||
| летучая часть | наименование | содержание в % | количество, кг | |||
| Эмаль МЛ-2 | В бочках 4 шт. по 50 кг | 200 кг | 80 % (160 кг) | бутилацетат | 6,4 | 12,8 |
| этилцеллозольв | 6,4 | 12,8 | ||||
| ацетон | 6,4 | 12,8 | ||||
| бутанол | 12 | 24 | ||||
| этанол | 16 | 16 | ||||
| толуол | 32,8 | 65,6 | ||||
| Лак ХВ | В бочках 12 шт. по 45 кг | 540 кг | 100 % (540 кг) | ацетон | 20,0 | 108,2 |
| бутанол | 12,6 | 68,04 | ||||
| ксилол | 67,4 | 363,7 | ||||
| Лак НЦ-218 | В бочках 9 шт. по 50 кг | 450 кг | 82,3 % (370,35 кг) | ацетон | 3,4 | 15,3 |
| бут. спирт | 16,6 | 74,7 | ||||
| бутилацетат | 12,5 | 56,25 | ||||
| этилацетат | 8,3 | 37,35 | ||||
| этил. спирт | 8,3 | 37,35 | ||||
| толуол | 3,2 | 149,4 | ||||
| Грунт ХС-010 | В бочках 20 шт. по 51 кг | 1020 кг | 67 % (682,6 кг) | ацетон | 17,4 | 177,5 |
| бутилацетат | 8,0 | 81,6 | ||||
| толуол | 41,6 | 424,3 | ||||
| Грунт ГФ-021 | В бочках 8 шт. по 61 кг | 488 кг | 51 % (248,9 кг) | ксилол | 51 | 248,9 |
| Эмаль НЦ-132 | В бочке 1 шт. по 50 кг | 50 кг | 80 % (40 кг) | ацетон | 6,4 | 3,2 |
| этилцеллозольв | 6,4 | 3,2 | ||||
| бутилацетат | 6,4 | 3,2 | ||||
| бутанол | 12 | 6,0 | ||||
| этанол | 16 | 8,0 | ||||
| толуол | 32,8 | 16,4 | ||||
| Растворитель Р-646 | В бочках 4 шт. по 200 л | 632,6 кг | 100 % (632,6 кг) | ацетон | 11,7 | 74,01 |
| бутилацетат | 5,8 | 36,7 | ||||
| этанол | 17,5 | 110,7 | ||||
| изобутанол | 15,0 | 94,9 | ||||
| толуол | 50,0 | 316,3 | ||||
| Эмаль ПФ-115 | Емкости 30 шт. по 60 кг | 1800 кг | 45 % (810 кг) | ксилол | 22,5 | 405 |
| уайт-спирит | 22,5 | 405 | ||||
Ацетон: легковоспламеняющаяся жидкость (ЛВЖ).
1.3 Характеристика технологического процесса и оборудования.
В помещении склада хранятся лакокрасочные материалы и легковоспламеняющиеся жидкости в составе растворителей.
2 Расчет критериев пожарной опасности
За расчетный вариант принимается аварийная разгерметизация бочки с растворителем Р-646 объемом 200 л, приводящая к истечению горючей среды (ЛВЖ) в помещение с возможностью пожара.
2.1 Определение необходимого условия.
В помещении находятся легковоспламеняющиеся жидкости (ЛВЖ) с температурой вспышки менее 28 °C, способные образовывать взрывоопасные паровоздушные смеси, что соответствует необходимому условию отнесения помещения к взрывопожароопасной категории А. Расчет проводится на наиболее взрывоопасное вещество согласно ряду ЛВЖ (см. 6.4.3) – ацетон.
2.2 Определение достаточного условия отнесения помещения к категории А.
Рассчитывается избыточное давление взрыва DP, кПа, по формуле (1у) для ацетона:
,
где Vп = (9,7 · 4,8 · 3,5) = 163 м3;
кг/м3;
m – масса паров ацетона, поступивших в помещение в результате аварии, кг:
m = W · Fи· T,
W = 10-6 · h ·
· Pн,
кПа,
c – объемная доля горючей жидкости в смеси (c = 0,117);
W= 10-6 · 1 ·
· 5,4 = 4,1 · 10-4 кг/(с·м2),
Fи – площадь испарения, определяется по п. 7 НПБ 105-03 [1] из расчета, что 1 л жидкости разливается на 1 м2. За площадь испарения принимается площадь помещения (46,56 м2), так как она меньше рассчитанной (200 м2).
m = 4,1 · 10-4 · 46,56 · 3600 = 68,98 кг.
Рассчитанная масса паров ацетона превышает фактическую массу разлившейся жидкости, поэтому в дальнейших расчетах за массу паров принимается фактическая масса:
mац = V · c · r = 0,2 · 0,117 · 790,8 = 18,5 кг.
кПа.
3 Определение категории помещения
Результаты расчетов критериев пожарной опасности показывают, что выполняются необходимое (наличие ЛВЖ с температурой вспышки менее 28 °C) и достаточное (расчетное избыточное давление превышает 5 кПа) условия, что позволяет отнести данное помещений категории А.
А.172 Расчет критериев взрывопожарной и пожарной опасности и определение категории помещения склада приборов
1 Исходные данные
1.1 Характеристика помещения.
Длина l = 15 м, ширина b = 3,5 м, высота h= 4,5 м.
Минимальное расстояние от поверхности пожарной нагрузки до нижнего пояса ферм перекрытия H составляет 2 м.
1.2 Характеристика веществ и материалов, обращающихся (находящихся) в помещении, по справочным данным (приложение Г).
| Наименование материала | Группа горючести | Количество материала |
| Бумага | Твердый горючий не пылящий материал | 1000 кг |
| ПВХ | Твердый горючий не пылящий материал | 100 кг |
| Древесина | Твердый горючий не пылящий материал | 430 кг |
1.3 Характеристика технологического процесса и оборудования.
В помещении склада приборов осуществляется хранение приборов и материалов на металлических стеллажах. В помещении находятся 3 стеллажа, площадь пожарной нагрузки каждого составляет 14,4 м2, каждый стеллаж имеет 3 яруса.
2 Расчет критериев пожарной опасности
2.1 Определение необходимых условий.
а) В помещении обращаются горючие вещества и материалы, что соответствует необходимому условию отнесения помещения к одной из пожароопасных категорий (от В1 до В4).
б) Для конкретизации категории рассчитываются: пожарная нагрузка Q, МДж, и удельная пожарная нагрузка g, МДж/м2.
,
Q= 1000 · 17,6 + 430 · 13,8 + 100 · 20,7 = 25604 МДж,
МДж/м2.
За площадь размещения пожарной нагрузки принимается площадь размещения стеллажей S=43,2 м2.
Рассчитанная удельная пожарная нагрузка соответствует категории В3 (g = 181 ¸ 1400 МДж/м2) по таблице 4 НПБ 105-03 [1].
2.2 Определение достаточных условий отнесения помещения к категории В3.
а) Способ размещения пожарной нагрузки соответствует нормируемому п. 25 НПБ 105-03 [1].
б) Проверяется выполнение неравенства по п. 25 НПБ 105-03 [1] для рассчитанного количества пожарной нагрузки Q:
Q ³ 0,64 · gт · H2,
| где gт | = 1400 МДж/м2 при 181 МДж/м2£ g£ 1400 МДж/м2; |
| H | – минимальное расстояние от поверхности пожарной нагрузки до нижнего пояса ферм перекрытия, м, |
25604 ³ 0,64 · 1400 · 22 = 3584 МДж.
Неравенство выполняется.
3 Определение категории помещения
Результаты расчетов критериев пожарной опасности показывают, что выполняется необходимое условие (удельная пожарная нагрузка соответствует категории В3), однако достаточное условие не выполняется (неравенство верно), поэтому данное помещение следует отнести к категории В2.
А.173 Расчет критериев взрывопожарной и пожарной опасности и определение категории помещения склада химической посуды
1 Исходные данные
1.1 Характеристика помещения.
Длина l = 5 м, ширина b = 7,7 м, высота h = 3,2 м.
Минимальное расстояние от поверхности пожарной нагрузки до нижнего пояса ферм перекрытия H составляет 1,2 м.
1.2 Характеристика веществ и материалов, обращающихся (находящихся) в помещении, по справочным данным (приложение Г).
| Наименование материала | Группа горючести | Количество материала |
| Картон | Твердый горючий не пылящий материал | 50 кг |
| Полиэтилен | Твердый горючий не пылящий материал | 20 кг |
| Древесина | Твердый горючий не пылящий материал | 210 кг |
1.3 Характеристика технологического процесса и оборудования.
В помещении склада приборов осуществляется хранение стеклянной, пластиковой посуды на металлических стеллажах с деревянными полками. Часть посуды затарена в картонные коробки. В помещении находятся 2 стеллажа по 3 полки в каждом.
2 Расчет критериев пожарной опасности
2.1 Определение необходимых условий.
а) В помещении обращаются горючие вещества и материалы, что соответствует необходимому условию отнесения помещения к одной из пожароопасных категорий (от В1 до В4).
б) Для конкретизации категории рассчитываются: пожарная нагрузка Q, МДж, и удельная пожарная нагрузка g, МДж/м2.
,
Q= 50 · 13,4 + 20 · 47,14 + 210 · 13,8 = 4510,8 МДж,
МДж/м2.
За площадь размещения пожарной нагрузки принимается площадь помещений S = 38,5 м2.
Рассчитанная удельная пожарная нагрузка соответствует категории В4 (g= 1 ¸ 180 МДж/м2) по таблице 4 НПБ 105-03 [1].
2.2 Определение достаточного условия отнесения помещения к категории В4.
Способ размещения пожарной нагрузки не соответствует нормируемому п. 25 НПБ 105-03 [1].
3 Определение категории помещения
Результаты расчетов критериев пожарной опасности показывают, что выполняется необходимое условие (рассчитанная удельная пожарная нагрузка соответствует категории В4), однако достаточное условие (способ размещения пожарной нагрузки) не выполняется, поэтому данное помещение следует отнести к категории В3.
А.174 Расчет критериев взрывопожарной и пожарной опасности и определение категории помещения склада хранения тары
1 Исходные данные
1.1 Характеристика помещения.
Длина l = 48 м, ширина b = 12 м, высота h= 5 м.
Минимальное расстояние от поверхности пожарной нагрузки до нижнего пояса ферм перекрытия Hсоставляет 2,5 м.
1.2 Характеристика веществ и материалов, обращающихся (находящихся) в помещении, по справочным данным (приложение Г).
Твердые горючие не пылящие материалы:
| Наименование материала | Группа горючести | Количество материала, кг |
| Бумага | Твердый горючий не пылящий материал | 34200 |
| Древесина | Твердый горючий не пылящий материал | 2030 |
| Полиэтилен | Твердый горючий не пылящий материал | 16800 |
1.3 Характеристика технологического процесса и оборудования.
В помещении осуществляемся хранение тары различного назначения на поддонах.
Пожарная нагрузка размещена равномерно по всей площади помещения.
2 Расчет критериев пожарной опасности
2.1 Определение необходимых условий.
а) В помещении обращаются твердые не пылящие горючие материалы, что соответствует необходимому условию отнесения помещения к одной из пожароопасных категорий (от В1 до В4).
б) Для конкретизации категории рассчитываются: пожарная нагрузка Q, МДж, и удельная пожарная нагрузка g, МДж/м2.
,
Q = 34200 · 17,6 + 2030 · 13,8 + 16800 · 47,14 = 1421886 МДж,
МДж/м2.
Рассчитанная удельная пожарная нагрузка соответствует категории В1 (g > 2200 МДж/м2) по таблице 4 НПБ 105-03 [1].
3 Определение категории помещения
Результаты расчетов критериев пожарной опасности показывают, что выполняются необходимое и достаточное (удельная пожарная нагрузка соответствует категории В1) условия, позволяющие отнести данное помещение к категории В1.
А.175 Расчет критериев взрывопожарной и пожарной опасности и определение категории помещения склада ЛВЖ и ГЖ
1 Исходные данные
1.1 Характеристика помещения.
Длина l = 7,5 м, ширина b = 3,5 м, высота h = 3,2 м.
Расчетная температура воздуха tр = 40 °C – абсолютная максимальная температура воздуха (для района г. Астрахани) согласно таблице 2 СНиП 23-01-99* [6].
1.2 Характеристика веществ и материалов, обращающихся (находящихся) в помещении, по справочным данным (приложение Г).
Гексан, ацетон и др.: легковоспламеняющаяся жидкость (ЛВЖ).
1.3 Характеристика технологического процесса и оборудования.
В помещении склада на металлических стеллажах хранятся легковоспламеняющиеся жидкости (ЛВЖ) и горючие жидкости (ГЖ) в стеклянной и полиэтиленовой таре: ацетон, изопропиловый спирт, диоксан, бензол, гексан, ксилол, бутилацетат, гексадекан (цетан), гептан, декалин, изооктан, октан, изобутиловый спирт, стирол, толуол, триэтиленгликоль, этиленгликоль, петролейный эфир, диэтиловый эфир, диклогексан, этилмеркаптан, бутанол, этиловый эфир и др.
2 Расчет критериев пожарной опасности
2.1 Определение необходимого условия.
В помещении находятся легковоспламеняющиеся жидкости (ЛВЖ) с температурой вспышки менее 28 °C, что соответствует необходимому условию отнесения помещения к взрывопожароопасной категории А.
За расчетный вариант принимается аварийная разгерметизация емкости с гексаном как наиболее взрывоопасного вещества согласно ряду ЛВЖ (см. 6.4.3), объемом 1 л, приводящая к поступлению паров гексана в помещение с возможностью пожара.
2.2 Определение достаточного условия отнесения помещения к категории А.
Рассчитывается избыточное давление взрыва DP, кПа, по формуле (1у) для гексана:
,
где Vп = (7,5 · 3,5 · 3,2) = 84 м3;
кг/м3;
m – масса паров гексана, поступивших в помещение при аварии, кг:
m = W · Fи · T,
W = 10-6 · h ·
· Pн,
кПа,
W = 10-6 · 1 ·
· 37,33 = 3,5 · 10-4 кг/(с·м2),
m = 3,5 · 10-4 · 1 · 3600 = 1,26 кг.
Рассчитанная масса паров гексана превышает фактическую массу разлившегося гексана, поэтому в дальнейших расчетах учитывается масса гексана в емкости:
mгексана = V · r = 0,001 · 654,81 = 0,655 кг,
кПа.
3 Определение категории помещения
Результаты расчетов критериев пожарной опасности показывают, что выполняются необходимое (наличие ЛВЖ с температурой вспышки менее 28 °C) и достаточное (расчетное избыточное давление превышает 5 кПа) условия, что позволяет отнести данное помещение к категории А.
А.176 Расчет критериев взрывопожарной и пожарной опасности и определение категории помещения склада аварийного запаса
1 Исходные данные
1.1 Характеристика помещения.
Длина l = 12 м, ширина b = 5,7 м, высота h= 4,8 м.
Минимальное расстояние от поверхности пожарной нагрузки до нижнего пояса ферм перекрытия H составляет 2 м.
1.2 Характеристика веществ и материалов, обращающихся (находящихся) в помещении, по справочным данным (приложение Г).
| Наименование материала | Группа горючести | Количество материала, кг |
| Древесина | Твердый горючий не пылящий материал | 630 |
| ПВХ | Твердый горючий не пылящий материал | 224 |
| Металл | Негорючий материал | |
1.3 Характеристика технологического процесса и оборудования.
В помещении склада аварийного запаса осуществляется хранение запчастей и материалов на случай аварии.
В помещении находятся поддоны и стеллажи с хранящимися на них запчастями материалами, размещенными равномерно по площади, равной 68,4 м2.
2 Расчет критериев пожарной опасности
2.1 Определение необходимых условий.
а) В помещении обращаются горючие материалы, что соответствует необходимому условию отнесения помещения к одной из пожароопасных категорий (от В1 до В4).
б) Для конкретизации категории рассчитываются: пожарная нагрузка Q, МДж, удельная пожарная нагрузка g, МДж/м2.
,
Q = 224 · 20,7 + 630 · 13,8 = 13330,8 МДж,
МДж/м2.
Рассчитанная удельная пожарная нагрузка соответствует категории В3 (g = 181 ¸ 1400 МДж/м2) по таблице 4 НПБ 105-03 [1].
2.2 Определение достаточных условий отнесения помещения к категории В3.
а) Способ размещения пожарной нагрузки соответствует нормируемому п. 25 НПБ 105-03 [1].
б) Проверяется выполнение неравенства по п. 25 НПБ 105-03 [1] для рассчитанного количества пожарной нагрузки Q:
Q³ 0,64 · gт · H2,
| где gт | = 1400 МДж/м2 при 181 МДж/м2£ g£ 1400 МДж/м2; |
| H | – минимальное расстояние от поверхности пожарной нагрузки до нижнего пояса ферм перекрытия, м, |
13330,8 ³ 0,64 · 1400 · 22 = 3584 МДж.
Неравенство выполняется.
3 Определение категории помещения
Результаты расчетов критериев пожарной опасности показывают, что выполняется необходимое условие (удельная пожарная нагрузка соответствует категории В3), однако достаточное условие не выполняется (неравенство верно), поэтому данное помещение следует отнести к категории В2.
А.177 Расчет критериев взрывопожарной и пожарной опасности и определение категории помещения склада ГО ЧС
1 Исходные данные
1.1 Характеристика помещения.
Длина l = 11,8 м, ширина b = 5 м, высота h = 3 м.
Минимальное расстояние от поверхности пожарной нагрузки до нижнего пояса ферм перекрытия H составляет 0,5 м.
1.2 Характеристика веществ и материалов, обращающихся (находящихся) в помещении, по справочным данным (приложение Г).
| Наименование материала | Группа горючести | Количество материала, кг |
| Древесина | Твердый горючий не пылящий материал | 1750 |
| Резиновые изделия | Твердый горючий не пылящий материал | 2890 |
| Ткань | Твердый горючий не пылящий материал | 480 |
| Пластмасса | Твердый горючий не пылящий материал | 37 |
1.3 Характеристика технологического процесса и оборудования.
В помещении склада аварийного запаса осуществляется хранение снаряжения и инвентаря службы ГО ЧС.
В помещении находятся стеллажи с хранящимися на них снаряжением и инвентарем, размещенные равномерно по площади помещения, равной 59 м2.
2 Расчет критериев пожарной опасности
2.1 Определение необходимых условий.
а) В помещении обращаются горючие материалы, что соответствует необходимом; условию отнесения помещения к одной из пожароопасных категорий (от В1 до В4).
б) Для конкретизации категории рассчитываются: пожарная нагрузка Q, МДж, и удельная пожарная нагрузка g, МДж/м2.
,
Q = 2890 · 33,5 + 1750 · 13,8 + 480 · 18,84 + 37 · 41,63 = 131548,5 МДж,
Рассчитанная удельная пожарная нагрузка соответствует категории В1 (g > 2200 МДж/м2) по таблице 4 НПБ 105-03 [1].
3 Определение категории помещения
Результаты расчетов критериев пожарной опасности показывают, что выполняются необходимое и достаточное (удельная пожарная нагрузка соответствует категории В1) условия, позволяющие отнести данное помещение к категории В1.
А.178 Расчет критериев взрывопожарной и пожарной опасности и определение категории помещения склада спецодежды
1 Исходные данные
1.1 Характеристика помещения.
Длина l = 8,7 м, ширина b = 5,9 м, высота h = 3,2 м.
Минимальное расстояние от поверхности пожарной нагрузки до нижнего пояса ферм перекрытия H составляет 0,5 м.
1.2 Характеристика веществ и материалов, обращающихся (находящихся) в помещении, по справочным данным [3].
| Наименование материала | Группа горючести | Количество материала, кг |
| Древесина | Твердый горючий не пылящий материал | 630 |
| Искусственная кожа | Твердый горючий не пылящий материал | 420 |
| Ткань | Твердый горючий не пылящий материал | 1068 |
| Картон | Твердый горючий не пылящий материал | 110 |
1.3 Характеристика технологического процесса и оборудования.
В помещении склада хранения спецодежды для рабочих размещены стеллажи с деревянными полками, на которых хранится спецодежда. Пожарная нагрузка распределена по всей площади помещения (S = 51,33 м2).
2 Расчет критериев пожарной опасности
2.1 Определение необходимых условий.
а) В помещении обращаются твердые не пылящие горючие вещества и материалы, что соответствует необходимому условию отнесения помещения к одной из пожароопасных категорий (от В1 до В4).
б) Для конкретизации категории рассчитываются: пожарная нагрузка Q, МДж, и удельная пожарная нагрузка g, МДж/м2.
,
Q = 420 · 17,76 + 630 · 13,8 + 1068 · 18,84 + 110 · 13,4 = 37748,3 МДж,
МДж/м2.
Рассчитанная удельная пожарная нагрузка соответствует категории В3 (g = 181 ¸ 1400 МДж/м2) по таблице 4 НПБ 105-03 [1].
2.2 Определение достаточных условий отнесения помещения к категории В3.
а) Способ размещения пожарной нагрузки соответствует нормируемому п. 25 НПБ 105-03 [1].
б) Проверяется выполнение неравенства по п. 25 НПБ 105-03 [1] для рассчитанного количества пожарной нагрузки Q:
Q³ 0,64 · gт · H2,
| где gт | = 1400 МДж/м2 при 181 МДж/м2£ g£ 1400 МДж/м2; |
| H | – минимальное расстояние от поверхности пожарной нагрузки до нижнего пояса ферм перекрытия, м, |
37748,3 ³ 0,64 · 1400 · 0,52 = 224 МДж.
Неравенство выполняется.
3 Определение категории помещения
Результаты расчетов критериев пожарной опасности показывают, что выполняются необходимое (удельная пожарная нагрузка соответствует категории В3) условие, однако достаточное условие не выполняется (неравенство верно), поэтому данное помещений следует отнести к категории В2.
А.179 Расчет критериев взрывопожарной и пожарной опасности и определение категории помещения инструментального склада
1 Исходные данные
1.1 Характеристика помещения.
Длина l = 9 м, ширина b = 3,8 м, высота h = 3,8 м.
Минимальное расстояние от поверхности пожарной нагрузки до нижнего пояса ферм перекрытия H составляет 1 м.
1.2 Характеристика веществ и материалов, обращающихся (находящихся) в помещении, по справочным данным (приложение Г).
| Наименование материала | Группа горючести | Количество материала, кг |
| Древесина | Твердый горючий не пылящий материал | 980 |
| Ткань | Твердый горючий не пылящий материал | 1068 |
| Бумага | Твердый горючий не пылящий материал | 140 |
| Картон | Твердый горючий не пылящий материал | 80 |
| ПВХ | Твердый горючий не пылящий материал | 42 |
| Оргстекло | Твердый горючий не пылящий материал | 50 |
| Металл в инструментах | Негорючий материал в холодном состоянии | - |
1.3 Характеристика технологического процесса и оборудования.
В помещении инструментального склада осуществляется хранение инструментов, инвентаря и расходных материалов.
Пожарная нагрузка распределена по всей площади помещения S = 34,2 м2.
2 Расчет критериев пожарной опасности
2.1 Определение необходимых условий.
а) В помещении обращаются горючие вещества и материалы (не относящиеся к категориям А или Б), что соответствует необходимому условию отнесения помещения к одной из пожароопасных категорий (от В1 до В4).
б) Для конкретизации категории рассчитываются: пожарная нагрузка Q, МДж, и удельная пожарная нагрузка g, МДж/м2.
,
Q = 140 · 17,76 + 980 · 13,8 + 1068 · 18,84 + 80 · 13,4 + 42 · 20,7 + 50 · 27,67 = 39456,4 МДж,
МДж/м2.
Рассчитанная удельная пожарная нагрузка соответствует категории В3 (g = 181 ¸ 1400 МДж/м2) по таблице 4 НПБ 105-03 [1].
2.2 Определение достаточных условий отнесения помещения к категории В3.
а) Способ размещения пожарной нагрузки соответствует нормируемому п. 25 НПБ 105-03 [1].
б) Проверяется выполнение неравенства по п. 25 НПБ 105-03 [1] для рассчитанного количества пожарной нагрузки Q:
Q³ 0,64 · gт · H2,
| где gт | = 1400 МДж/м2 при 181 МДж/м2£ g£ 1400 МДж/м2; |
| H | – минимальное расстояние от поверхности пожарной нагрузки до нижнего пояса ферм перекрытия, м, |
39456,4 ³ 0,64 · 1400 · 12 = 896 МДж.
Неравенство выполняется.
3 Определение категории помещения
Результаты расчетов критериев пожарной опасности показывают, что выполняется необходимое (рассчитанная удельная пожарная нагрузка соответствует категории В3) условие, однако достаточное условие не выполняется (неравенство верно), поэтому данное помещение следует отнести к категории В2.
А.180 Расчет критериев взрывопожарной и пожарной опасности и определение категории помещения склада хранения шин
1 Исходные данные
1.1 Характеристика помещения.
Длина l = 5,5 м, ширина b = 5,5 м, высота h = 3 м.
Минимальное расстояние от поверхности пожарной нагрузки до нижнего пояса ферм перекрытия H составляет 1,5 м.
1.2 Характеристика веществ и материалов, обращающихся (находящихся) в помещении, по справочным данным (приложение Г).
Резина: твердый горючий материал.
1.3 Характеристика технологического процесса и оборудования.
В помещении склада осуществляется хранение автомобильных шин с камерами. Суммарная масса – 5500 кг. Пожарная нагрузка распределена по площади помещения S = 30,25 м2.
2 Расчет критериев пожарной опасности
2.1 Определение необходимых условий.
а) В помещении обращаются горючие вещества и материалы, что соответствует необходимому условию отнесения помещения к одной из пожароопасных категории (В1 - В4).
б) Для конкретизации категории рассчитываются: пожарная нагрузка Q, МДж, удельная пожарная нагрузка g, МДж/м2.
МДж,
МДж/м2.
Рассчитанная удельная пожарная нагрузка соответствует категории В1 (g > 2200 МДж/м2) по таблице 4 НПБ 105-03 [1].
3 Определение категории помещения
Результаты расчетов критериев пожарной опасности показывают, что выполняются необходимое и достаточное (рассчитанная удельная пожарная нагрузка соответствует категории В1) условия, позволяющие отнести данное помещение к категории В1.
А.181 Расчет критериев взрывопожарной и пожарной опасности и определение категории помещения склада запасного оборудования
1 Исходные данные
1.1 Характеристика помещения.
Длина l = 6 м, ширина b = 6 м, высота h = 4 м.
1.2 Характеристика веществ и материалов, обращающихся (находящихся) в помещении, по справочным данным (приложение Г).
Негорючие вещества и материалы в холодном состоянии.
1.3 Характеристика технологического процесса и оборудования.
Хранение запасного оборудования (запорная арматура, трубы и т.п.).
2 Расчет критериев пожарной опасности и определение категории помещения
Для данного помещения выполняется необходимое и достаточное условия (в помещении находятся только негорючие вещества и материалы в холодном состоянии), что позволяет отнести его к категории Д.
А.182 Расчет критериев взрывопожарной и пожарной опасности и определение категории помещения склада КИПиА
Расчет см. А.1.102, приложение А СТО Газпром 2-1.1-094.
А.183 Расчет критериев взрывопожарной и пожарной опасности и определение категории помещения кладовой ЗИП
Расчет см. А.1.101, приложение А СТО Газпром 2-1.1-094.
А.184 Расчет критериев взрывопожарной и пожарной опасности и определение категории помещения склада хранения металла
Расчет см. А.1.103, приложение А СТО Газпром 2-1.1-094.
А.185 Расчет критериев взрывопожарной и пожарной опасности и определение категории помещения склада тарного хранения масла
Расчет см. А.1.104, приложение А СТО Газпром 2-1.1-094.
А.186 Расчет критериев взрывопожарной и пожарной опасности и определение категории помещения материально-технического склада
Расчет см. А.1.105, приложение А СТО Газпром 2-1.1-094.
А.187 Расчет критериев взрывопожарной и пожарной опасности и определение категории помещения хранения баллонов с пропаном
1 Исходные данные
1.1 Характеристика помещения.
Длина l = 9 м, ширина b = 2,5 м, высота h = 2,2 м.
Расчетная температура воздуха tр = 40 °C– абсолютная максимальная температура воздуха (для района г. Ставрополя) согласно таблице 2 СНиП 23-01-99* [6].
1.2 Характеристика веществ и материалов, обращающихся (находящихся) в помещений по справочным данным (приложение Г).
Пропан (C3H8): горючий газ (ГГ).
Объем паров с 1 л сжиженного пропана – 0,269 м3.
1.3 Характеристика технологического процесса и оборудования.
В помещении находятся: баллоны с пропаном 6 шт. (по 50 л каждый).
2 Расчет критериев взрывопожарной опасности
2.1 Определение необходимого условия.
В помещении находится СУГ, способный к образованию взрывопожароопасной газовоздушной смеси, что соответствует необходимому условию отнесения помещения к взрывопожароопасной категории А.
За расчетный вариант принимается аварийная разгерметизация баллона с пропаном приводящая к выбросу горючей среды (ГГ) в помещение с возможностью возникновения пожара.
2.2 Определение достаточного условия отнесения помещения к категории А.
Рассчитывается избыточное давление взрыва DP, кПа, по формуле (1гу) для пропана:
,
| где Vп | = (9 · 2,5 · 2,2) = 49,5 м3; |
| Vг | – объем газа, поступившего в результате расчетной аварии, м3: |
Vг = 50 · 0,269 = 13,45 м3,
кПа.
3 Определение категории помещения
Результаты расчетов критериев взрывопожарной опасности показывают, что при расчетном варианте аварии достигаются необходимое (наличие в помещении ГГ) и достаточное (расчетное избыточное давление при сгорании газовоздушной смеси превышает 5 кПа) условия для отнесения данного помещения к категории А.
А.188 Расчет критериев взрывопожарной и пожарной опасности и определение категории помещения гаража (помещение пожарной техники)
1 Исходные данные
1.1 Характеристика помещения:
Длина l = 16 м, ширина b = 12 м, высота h = 5 м.
Расчетная температура воздуха tр = 35 °C – абсолютная максимальная температура воздуха (для района г. Ухты) согласно таблице 2 СНиП 23-01-99* [6].
Минимальное расстояние от поверхности пожарной нагрузки до нижнего пояса ферм перекрытия составляет H = 2 м.
1.2 Характеристика веществ и материалов, обращающихся (находящихся) в помещении, по справочным данным (приложение Г).
| Наименование материала | Группа горючести | Низшая теплота сгорания, МДж/кг | Количество материала | ||
| Передвижная парильная установка (грузовой автомобиль «Урал»). Занимаемая площадь 20 м2 | Агрегат перекачки (грузовой автомобиль «Урал»). Занимаемая площадь 20 м2 | Трактор «Кировец». Занимаемая площадь 8 м2 | |||
| Резина | Твердый, горючий не пылящий материал | 33,5 | 220 кг | 220 кг | 140 кг |
| Смазочные масла | Горючая жидкость | 41,87 | 18 кг | 18 кг | 15 кг |
| Дизтопливо «З» | ЛВЖ, tвс = 48 °C, r = 804 кг/м3 | 43,59 | 150 л | 150 л | 72 л |
| Пенополиуретан | Твердый, горючий не пылящий материал | 24,3 | 4 кг | 4 кг | 3 кг |
| Полиэтилен | Твердый, горючий не пылящий материал | 47,14 | 1,8 кг | 1,8 кг | 1,5 кг |
| ПВХ | Твердый, горючий не пылящий материал | 20,7 | 2,6 кг | 2,6 кг | 2,5 кг |
| Картон | Твердый, горючий не пылящий материал | 13,4 | 2,5 кг | 2,5 кг | 2 кг |
| Искусственная кожа | Твердый, горючий не пылящий материал | 17,76 | 9 кг | 9 кг | 5 кг |
1.3 Характеристика технологического процесса и оборудования.
Стоянка транспортных средств: двух грузовых автомобилей и трактора.
2 Расчет критериев взрывопожарной и пожарной опасности
2.1 Определение необходимого условия.
а) В помещении обращаются горючие вещества и материалы (в т.ч. ЛВЖ, но так как она нагрета ниже температуры вспышки и отсутствуют условия образования аэрозоля, коэффициент участия во взрыве Z = 0, следовательно, не выполняется необходимое условие отнесения к взрывопожароопасной категории Б). Выполняется необходимое условие отнесения помещения к одной из пожароопасных категорий (от В1 до В4).
б) Для конкретизации категории рассчитываются: пожарная нагрузка Q, МДж, и удельная пожарная нагрузка g, МДж/м2.
,
Q1, Q2, Q3 – пожарная нагрузка каждой машины;
Q1 = Q2 = 220 · 33,5 + 18 · 41,87 + 120,6 · 43,59 + 4 · 24,3 + 1,8 · 47,14 + 2,6 · 20,7 +
+ 2,5 · 13,4 + 9 · 17,76 = 13793,2 МДж,
Q3 = 140 · 33,5 + 15 · 41,87 + 57,9 · 43,59 + 3 · 24,3 + 1,5 · 47,14 + 2,5 · 20,7 +
+ 2 · 13,4 + 5 · 17,76 = 8136,9 МДж,
Q = 13793,2 + 13793,2 + 8136,9 = 35723,3 МДж,
МДж/м2.
Рассчитанная удельная пожарная нагрузка соответствует категории В3 (181 < g < 1400 МДж/м2) по таблице 4 НПБ 105-03 [1].
2.2 Определение достаточных условий отнесения помещения к категории В3.
В соответствии с таблицей 4 НПБ помещение с данной удельной пожарной нагрузкой следует относить к категории В3 (g = 181 ¸ 1400 МДж/м2), если не выполняется неравенство
Q³ 0,64 · gт · H2,
| где gт | = 1400 МДж/м2 при 181 МДж/м2£ g£ 1400 МДж /м2; |
| H | - минимальное расстояние от поверхности пожарной нагрузки до нижнего пояса ферм перекрытия, м; |
35723,3 ³ 0,64 · 1400 · 22 = 3584 МДж.
Неравенство выполняется.
3 Определение категории помещения по пожарной опасности
Результаты расчетов показали, что выполняются необходимые условия отнесения помещения к категории В3, однако достаточное условие не выполняется (неравенство верно), поэтому помещение следует относить к категории В2.
А.189 Расчет критериев взрывопожарной и пожарной опасности и определение категории помещения стоянки погрузчика
1 Исходные данные
1.1 Характеристика помещения.
Длина l = 5,5 м, ширина b = 5,5 м, высота h = 3 м.
Расчетная температура воздуха tр = 35 °C – абсолютная максимальная температура воздуха (для района г. Ухты) согласно таблице 2 СНиП 23-01-99* [6].
1.2 Характеристика веществ и материалов, обращающихся (находящихся) в помещении, по справочным данным (приложение Г).
Дизтопливо «З»: легковоспламеняющаяся жидкость (ЛВЖ).
Масло минеральное: горючая жидкость (ГЖ).
1.3 Характеристика технологического процесса.
В помещении находится погрузчик (дизтопливо – 30 л, масло в гидравлике – 30 л).
2 Расчет критериев взрывопожарной опасности
2.1 Определение необходимых условий.
а) В помещении находится ЛВЖ и ГЖ, нагретые ниже температуры вспышки без возможности образования аэрозоля (Z = 0), т.е. выполняется необходимое условие отнесении помещения к одной из пожароопасных категорий (от В1 до В4).
б) Для конкретизации категории рассчитываются: пожарная нагрузка Q, МДж, и удельная пожарная нагрузка g, МДж/м2.
,
Gдизтоп = V · r = 0,03 · 804 = 24,12 кг, Gмасло = 0,03 · 875 = 26,25 кг,
Q = 24,12 · 43,59 + 26,25 · 43,11 = 2183 МДж,
МДж/м2.
где S – площадь размещения пожарной нагрузки, м2, принимается по п. 7 НПБ 105-03 [1] из расчета, что 1 л жидкости разливается на 1 м2 (30 м2).
Рассчитанная удельная пожарная нагрузка соответствует категории B4 (g = 1 ¸ 180 МДж/м2) по таблице 4 НПБ 105-03 [1].
2.2 Определение достаточного условия.
Способ размещения пожарной нагрузки не соответствует нормируемому п. 25 НПБ 105-03 [1], так как в помещении нельзя выделить участки размещения пожарной нагрузки площадью 10 м2 с расстоянием между ними более предельных.
3 Определение категории помещения
Результаты расчетов критериев пожарной опасности показывают, что выполняется необходимое условие (рассчитанная удельная пожарная нагрузка соответствует категории В4), однако достаточное условие (способ размещения пожарной нагрузки в помещении) не выполняется, поэтому данное помещение следует отнести к категории В3.
А.190 Расчет критериев взрывопожарной и пожарной опасности и определение категории помещения зарядки аккумуляторных батарей электропогрузчика
1 Исходные данные
1.1 Характеристика помещения.
Длина l = 6 м, ширина b = 6 м, высота h = 7,7 м.
Расчетная температура воздуха tр = 42 °C – абсолютная максимальная температура воздуха (для района г. Оренбурга) согласно таблице 2 СНиП 23-01-99* [6].
1.2 Характеристика веществ и материалов, обращающихся (находящихся) в помещении, по справочным данным (приложение Г).
Водород: горючий газ (ГГ).
Серная кислота: негорючая жидкость.
1.3 Характеристика технологического процесса.
В помещении аккумуляторной происходит зарядка аккумуляторной батареи в каре: батарея (кислотная) состоит из 40 элементов, максимальный ток зарядки – 50А/эл.
При зарядке аккумуляторов происходит выделение водорода.
2 Расчет критериев взрывопожарной и пожарной опасности
2.1 Определение необходимого условия.
В помещении обращается ГГ (водород), способный образовывать взрывоопасную газовоздушную смесь, что соответствует необходимому условию отнесения помещения к категории А.
За расчетную аварийную ситуацию принимается отключение вытяжной вентиляции и скопление выделившегося водорода в помещении за 1 час.
2.2 Определение достаточного условия отнесения помещения к категории А.
Рассчитывается избыточное давление взрыва DP, кПа, по формуле (1гу) для водорода:
,
| где Vп | = (6 · 6 · 7,7) = 277,2 м3; |
| rг | – плотность водорода, кг/м3, при расчетной температуре tр: |
кг/м3;
m – масса водорода, поступившего в результате аварии в помещение, кг:
m= mв · 3600;
mв – масса водорода, образующаяся в единицу времени при зарядке нескольких батарей, рассчитывается по формуле
кг/с,
| где Tр | – расчетная температура, К; |
| Ii | – максимальный зарядный ток i-й батареи, А; |
| Ni | – количество аккумуляторных элементов в i-й батареи; |
| к | – число аккумуляторов; |
кг/с,
m= 4,48 · 10-5 · 3600 = 0,161 кг,
Vг = 0,161 / 0,078 = 2,06 м3,
кПа.
3 Определение категории помещения по взрывопожарной опасности
Расчеты критериев взрывопожарной опасности показывают, что при расчетной аварийной ситуации выполняются необходимое (наличие в помещении ГГ) и достаточное (расчетное избыточное давление взрыва DP превышает 5 кПа) условия, что позволяет отнести данное помещение к категории А.
Приложение Б
(справочное)
Расчеты критериев пожарной опасности и определение категорий типопредставителей наружных установок объектов транспортировки, подземного хранения и переработки газа ОАО «Газпром»
Б.1 Расчет критериев пожарной опасности и определение категории скважины
Расчет см. Б.1, приложение Б СТО Газпром 2-1.1-094.
Б.2 Расчет критериев пожарной опасности и определение категории кранового узла
1 Исходные данные
1.1 Характеристика наружной установки.
На площадке в укрытии размещен крановый узел в составе: кран производительностью 2470000 м3/ч (686,1 м3/с), давлением 6,374 · 103 кПа, с объемом трубопровода 0,022 м3.
1.2 Характеристика веществ и материалов, обращающихся (находящихся) в наружной установке, по справочным данным (приложение Г).
Природный газ (по метану CH4): горючий газ (ГГ).
1.3 Характеристика технологического процесса и оборудования.
На площадке кранового укрытия расположена запорная арматура.
Отключение автоматическое без резервирования, расчетное время отключения принимается согласно п. 7 НПБ 105-03 [1] равным 120 с.
2 Расчет критериев пожарной опасности
2.1 Определение необходимого условия.
В наружной установке обращается ГГ, способный образовывать взрывоопасную газовоздушную смесь, что соответствует необходимому условию отнесения установки к категории Ан.
2.2 Определение достаточных условий отнесения установки к категории Ан.
Рассчитывается индивидуальный риск Rв при возможном сгорании газовоздушной смеси по формуле (63) НПБ 105-03 [1]:
,
| где Qвi | – годовая частота возникновения i-й аварии с горением газовоздушной смеси на рассматриваемой установке, 1/год; |
| Qвпi | – условная вероятность поражения человека, находящегося на заданном расстоянии (30 м) от наружной установки, избыточным давлением при реализации указанной аварии i-го типа; |
| n | – количество типов рассматриваемых аварий. |
Вероятность аварии, Qвi, связанной с разгерметизацией и выбросом газа составляет 2,7 · 10-5 в год, при этом известно, что вероятность взрыва составляет 1,5 · 10-5 в год.
Наиболее вероятными сценариями развития аварии на наружной установке данного типа являются:
- разгерметизация трубопровода с мгновенным воспламенением выброса природного газа (наиболее опасный вариант, приводящий к диффузионному горению – «огненному шару»);
- взрыв природного газа с развитием избыточного давления от воздействия внешнего источника зажигания.
Составляется логическая схема развития аварии (рисунок Б.1). Символами A1 - A3 обозначены следующие варианты развития аварии:

A1 – выброс природного газа с образованием «огненного шара» в результате разгерметизации трубопровода; A2 – произошло возгорание смеси природного газа с воздухом от внешнего источника зажигания с образованием избыточного давления; A3 – воспламенения не произошло, прошел аварийный сброс газа.
Рисунок Б.1 – Схема развития аварии на установке кранового узла
Принимается, что статистическая вероятность мгновенного воспламенения газа при разрыве трубопровода не будет ниже 75 %, тогда вероятность мгновенного воспламенения с образованием диффузионного пламенного горения «огненного шара» (A1) составляет:
Q (A1) = Qав · Qмг · Qош = Qав · Qстат (A1) = 2,7 · 10-5 · 0,75 = 2,0 · 10-5.
Вероятность взрыва (воспламенения газовоздушной смеси) с образованием избыточного давления (A2) известно из исходных данных и составляет
Q(A2) = 1,5 · 10-5.
Определяется условная вероятность QвпA2 поражения человека, находящегося на расстоянии 30 м от наружной установки (кранового узла), избыточным давлением при аварии на установке кранового узла с образованием диффузионного горения «огненного шара» исходя из величины «пробит»-функции Pr, которую определяют по формуле (65) НПБ 105-03 [1]:
Pr = 5 - 0,26 · ln (V),
| где V |
|
| где i | – импульс волны давления, Па·с. |
| DP | – избыточное давление, Па, |
,
| где P0 | – атмосферное давление, кПа (допускается принимать равным 101 кПа); |
| r | – расстояние от геометрического центра газовоздушного облака, м; |
| m | – приведенная масса газа, кг: |
,
| где Qсг | – удельная теплота сгорания, Дж/кг; |
| Z | – коэффициент участия горючих газов в горении, который допускается принимать равным 0,1; |
| Q0 | – константа, равная 4,52 · 106 Дж/кг; |
| m | – масса горючих газов, поступивших в результате расчетной аварии в окружающее пространство, кг: |
m = Vав · rг,
где Vав – объем газа, поступившего в результате расчетной аварийной ситуации, м3;
Vав = Vт,
где Vт – объем газа, поступившего из трубопровода, м3;
Vт = V1т + V2т,
где V1т – объем газа, поступившего из трубопровода до его отключения, м3;
V1т = q · T= V1т = 686,1 · 120 = 82332 м3,
где V2т – объем газа, поступившего из трубопровода после его отключения, м3;
V2т = 0,01 · P · V = 0,01 · 6,374 · 103 · 0,022 = 1,4 м3,
Vав = Vт = 82332 + 1,4 = 82333,4 м3;
rг – плотность газа при расчетной температуре, кг/м3:
кг/м3,
m = 82333,4 · 0,632 = 52034,7 кг,
кг,
кПа = 1645300 Па
Величина импульса волны давления i, Па·с, определяется по формуле
,
i= 123 · 1645,30,66 / 30 = 544,07 Па·с,
,
Pr = 5 - 0,26 · ln (0,0028) = 5 + 1,53 = 6,53.
При Pr = 6,53 по таблице 9 НПБ 105-03 [1] условная вероятность равна 94 %, или 0,94.
Rв1 = 1,5 · 10-5 · 0,94 = 14 · 10-6.
Определяется условная вероятность QвпA1 поражения человека, находящегося на расстоянии 30 м от наружной установки (кранового узла), тепловым излучением при аварии на установке кранового узла исходя из величины «пробит»-функции Pr, по формуле (67) НПБ 105-03 [1]:
Pr = -14,9 + 2,56 · ln (t · q1,33),
| где t | – время существования «огненного шара», с; |
| q | – интенсивность теплового излучения, кВт/м2. |
Интенсивность теплового излучения q, кВт/м2, для «огненного шара» определяется по формуле
q = Ef · Fq · t,
| где Ef | – среднеповерхностная плотность теплового излучения пламени, кВт/м2; принимается за 450 кВт/м2; |
| Fq | – угловой коэффициент облученности, определяется по формуле |
;
t – коэффициент пропускания атмосферы, определяется по формуле
;
где Ds – эффективный диаметр «огненного шара», м, определяется по формуле
Ds = 5,33 · 5,33 · m0,327,
| где m | – масса горючего вещества, кг; |
| H | – высота центра «огненного шара», м, определяется по формуле |
Время существования «огненного шара», ts, с, определяется по формуле
ts = 0,92 · m0,303,
где m – масса горючего вещества, кг (см. выше).
Ds = 5,33 · 52034,70,327 = 185,8 м,
м,
ts = 0,92 · 52034,70,303 = 24,7 с,
,
,
q = 450 · 0,24 · 0,88 = 95,04 кВт/м2,
Pr = -14,9 + 2,56 · ln (24,7 · 95,041,33) = 8,9.
Для рассчитанного значения функции «пробит» значение условной вероятности равно 99 %, или 0,99.
Определяется значение индивидуального риска при техногенной аварии на площадке кранового узла. Учитывая расчетные значения вероятностей возникновения различных сценариев развития аварии на площадке кранового узла и расчетные значения вероятностей поражения человека, находящегося на заданном расстоянии от нее, при возможном развитии аварии по этим сценариям, имеем:
= 0,99 · 2,0 ·10-5 + 0,94 · 1,5 · 10-5 = 1,4 · 10-5.
3 Определение категории наружной установки по взрывопожарной и пожарной опасности
Расчеты критериев пожарной опасности показали, что выполняется необходимое (наличие ГГ) и достаточные (величина индивидуального риска при расчетном варианте аварии для человека, находящегося на расстоянии 30 м от наружной установки превышает установленную нормами пожарной безопасности величину 10-6, и расчетное избыточное давление при сгорании газовоздушной смеси на расстоянии 30 м от наружной установки превышает 5 кПа) условия, что позволяет отнести данную установку к категории Ан.
Б.3 Расчет критериев пожарной опасности и определение категории пункта переключающей арматуры
Расчет см. Б.2, приложение Б СТО Газпром 2-1.1-094.
Б.4 Расчет критериев пожарной опасности и определение категории абсорберов
1 Исходные данные
1.1 Характеристика наружной установки.
Абсорберы, предназначенные для осушки газа, размещены на одной площадке в составе: 6 абсорберов объемом 28 м3, производительностью 6,5 млн м3/сут (каждый), давлением 48 кг/см2, с трубопроводами: входящими – диаметром 325 мм, длиной 7 м; выходящими – диаметром 400 мм, длиной 40 м; 2 абсорбера объемом 60 м3, производительностью 10 млн м3/сут (каждый), давлением 50 кг/см2, с трубопроводами входящим диаметром 325 мм, длиной 37 м.
Расчетная температура воздуха tр = 40 °C – абсолютная максимальная температура воздуха (для района г. Ставрополя) согласно таблице 2 СНиП 23-01-99* [6].
Отключение ручное, расчетное время отключения принимается согласно п. 7 НПБ 105-03 [1] равным 300 с.
1.2 Характеристика веществ и материалов, обращающихся (находящихся) в наружной установке, по справочным данным (приложение Г).
Природный газ (по метану CH4): горючий газ (ГГ).
2 Расчет критериев пожарной опасности
2.1 Определяется необходимое условие.
В наружной установке обращается ГГ, способный образовывать взрывоопасную газовоздушную смесь, что соответствуем необходимому условию отнесения наружной установки к, категории Ан.
За расчетный вариант принимается аварийная разгерметизация абсорбера, приводящая к выбросу горючей среды (ГГ) в окружающее пространство с возможностью возникновения пожара.
2.2 Определяются достаточные условия отнесения установки к категории Ан.
а) Рассчитывается горизонтальный размер зоны, ограничивающей область концентраций, превышающих нижний концентрационный предел распространения пламени, м:
,
где rг – плотность газа при расчетной температуре, кг/м3:
кг/м3;
mг – масса газа, поступившего в окружающее пространство при аварии, кг:
mг = rг · Vав,
где Vав – объем газа, поступившего в окружающее пространство в результате расчетной аварии, м3:
Vав = Vа + Vт,
где Vа – объем газа, вышедшего из аппарата, м3:
Vа = 0,01 · P · V = 0,01 · 4902 · 60 = 2941,2 м3;
Vт – объем газа, вышедшего из трубопровода, м3:
Vт = V1т + V2т,
где V1т – объем газа, вышедшего из трубопровода до его отключения, м3:
V1т = q · T= 115,7 · 300 = 34710 м3;
V2т – объем газа, вышедшего из трубопровода после отключения, м3:
V2т = 0,01 p Pr2L = 0,01 · 3,14 · 4902 · 0,1562 · 37 = 138,6 м3,
Vт = 34710 + 138,6 = 34848,6 м3,
Vав = 2941,2 + 34848,6 = 37789,8 м3,
m = 37789,8 · 0,624 = 23580,8 кг,
м.
б) Рассчитывается величина избыточного давления DP, кПа, развиваемого при сгорании газовоздушной смеси:
,
кг,
кПа.
3 Определение категории наружной установки
Результаты расчетов критериев взрывопожарной опасности показывают, что при расчетном варианте аварии достигаются необходимые и достаточные условия (горизонтальный размер зоны, ограничивающей газовоздушные смеси с концентрацией горючего выше НКПР, превышает 30 м и расчетное избыточное давление при сгорании газовоздушной смеси на расстоянии 30 м от наружной установки превышает 5 кПа), что позволяет отнести данную наружную установку к категории Ан.
Б.5 Расчет критериев пожарной опасности и определение категории пылеуловителей мехочистки газа
1 Исходные данные
1.1 Характеристика наружной установки.
Пылеуловители предназначены для очистки газа от механических примесей. На площадке расположены 3 фильтра-сепаратора и 2 пылеуловителя объемом 25 м3, производительностью 155 тыс. м3/с (43 м3/с) (каждого), давлением 55 кг/см2.
Расчетная температура воздуха tр = 40 °C – абсолютная максимальная температура воздуха (для района г. Ставрополя) согласно таблице 2 СНиП 23-01-99* [6].
Отключение автоматическое, без резервирования, расчетное время отключения принимается согласно НПБ 105-03 [1] равным 120 с.
1.2 Характеристика веществ и материалов, обращающихся (находящихся) в наружной установке, по справочным данным (приложение Г).
Природный газ (по метану CH4): горючий газ (ГГ).
2 Расчет критериев пожарной опасности
2.1 Определение необходимого условия.
В наружной установке обращается горючий газ, способный образовывать взрывоопасную газовоздушную смесь, что соответствует необходимому условию отнесения наружной установки к категории Ан.
За расчетную аварийную ситуацию принимается аварийная разгерметизация пылеуловителя, приводящая к выбросу газа в окружающее пространство с возможностью пожара.
2.2 Определение достаточных условий отнесения к категории Ан.
а) Рассчитывается горизонтальный размер зоны, ограничивающей область концентраций, превышающих нижний концентрационный предел распространения пламени, Rнкпр, м:
,
где m – масса горючих газов, поступивших в результате аварии в окружающее пространство, кг:
m = Vав · rг,
где Vав – объем газа, выделившегося в результате расчетной аварии, м3:
Vав = Vа + Vт,
| где Vа | – объем газа, вышедшего из аппарата, м3; |
| Vт | – объем газа, вышедшего из трубопровода, м3; |
Vа = 0,01 · P1 · V = 0,01 · 5394 · 25 = 1348,5 м3,
Vт = q · T= 43 · 120 = 5160 м3,
Vав = 1348,5 + 5160 = 6508,5 м3;
rг – плотность газа при расчетной температуре, кг/м3:
кг/м3,
m = 6508,5 · 0,62 = 4035,3 кг,
м.
б) Рассчитывается избыточное давление, кПа:
,
,
кг,
кПа.
3 Определение наружной установки по пожарной опасности
Результаты расчетов критериев пожарной опасности показывают, что при расчетном варианте аварии достигаются необходимые (наличие горючего газа) и достаточные (горизонтальный размер зоны, ограничивающей газовоздушную смесь с концентрацией горючего выше НКПР, превышает 30 м и расчетное избыточное давление при сгорании газовоздушной смеси на расстоянии 30 м от наружной установки превышает 5 кПа) условия, позволяющие отнести данную наружную установку к категории Ан.
Б.6 Расчет критериев пожарной опасности и определение категории пробкоуловителя
Расчет см. Б.17, приложение Б СТО Газпром 2-1.1-094.
Б.7 Расчет критериев пожарной опасности и определение категории сепараторов газа
1 Исходные данные
1.1 Характеристика наружной установки.
Групповая установка включает:
- горизонтальный сепаратор объемом 3 м3;
- вертикальный сепаратор объемом 3,3 м3, с объемом трубопроводов 0,04 м3,
- центробежный регулирующий сепаратор объемом 2,5 м3.
Производительность установки – 50 млн м3/год (1,58 м3/с), рабочее давление – 3 МПа.
Расчетная температура воздуха tр = 42 °C – абсолютная максимальная температура воздуха (для района г. Оренбурга) согласно таблице 2 СНиП 23-01-99* [6].
Отключение автоматическое, без резервирования, расчетное время отключения принимается согласно НПБ 105-03 [1] равным 120 с.
1.2 Характеристика веществ и материалов, обращающихся (находящихся) в наружной установке, по справочным данным (приложение Г).
Природный газ (по метану CH4): горючий газ (ГГ).
2 Расчет критериев пожарной опасности
2.1 Определение необходимого условия.
В наружной установке обращается ГГ, способный образовывать взрывопожароопасную газовоздушную смесь, что соответствует необходимому условию отнесения наружной установки к категории Ан.
За расчетный вариант принимается аварийная разгерметизация вертикального сепаратора, приводящая к выбросу горючего газа в окружающее пространство с возможностью возникновения пожара.
2.2 Определение достаточного условия отнесения установки к категории Ан.
а) Рассчитывается горизонтальный размер зоны, ограничивающей область концентраций, превышающих нижний концентрационный предел распространения пламени, м:
,
где mг – масса выделившегося при расчетной аварии газа, кг:
mг = Vав · rг,
где rг – плотность газа при расчетной температуре, кг/м3:
кг/м3;
Vав – объем газа, поступившего в результате аварийной ситуации, м3;
Vав = Vа + Vт,
где Vа – объем газа, вышедшего из аппарата, м3:
Vа = 0,01 · P · V = 0,01 · 3000 · 3,3 = 99 м3,
где Vт – объем газа, вышедшего из трубопровода, м3:
Vт = V1т + V2т,
где V1т – объем газа, вышедшего из трубопровода до его отключения, м3:
V1т = 1,58 · 120 = 190,26 м3,
V2т – объем газа, вышедшего из трубопровода после его отключения, м3:
V2т = 0,01 · V · P = 0,01 · 0,04 · 3000 = 1,2 м3,
Vт = 190,26 + 1,2 = 191,46 м3,
Vав = 99 + 191,46 = 290,46 м3,
mг = 290,46 · 0,62 = 180,085 кг,
м.
б) Рассчитывается избыточное давление, развиваемое при сгорании газовоздушных смесей, кПа:
,
,
кг,
кПа.
3 Определение категории наружной установки
Расчеты критериев пожарной опасности показали, что выполняются необходимое (наличие ГГ) и достаточные (горизонтальный размер зоны, ограничивающей газовоздушные смеси с концентрацией горючего выше НКПР, превышает 30 м и расчетное избыточное давление при сгорании газовоздушной смеси на расстоянии 30 м от наружной установки превышает 5 кПа) условия, что позволяет отнести наружную установку к категории Ан.
Б.8 Расчет критериев пожарной опасности и определение категории узла замера газа
1 Исходные данные
1.1 Характеристика наружной установки.
Узел замера газа предназначен для хозрасчетного замера газа и состоит из 4 трубопроводов производительностью 155 тыс. м3/с (43 м3/с) (каждого), давлением 55 кг/см2.
Расчетная температура воздуха tр = 40 °C – абсолютная максимальная температура воздуха (для района г. Ставрополя) согласно таблице 2 СНиП 23-01-99* [6].
Отключение автоматическое, без резервирования, расчетное время отключения принимается согласно НПБ 105-03 [1] равным 120 с.
1.2 Характеристика веществ и материалов, обращающихся (находящихся) в наружной установке, по справочным данным (приложение Г).
Природный газ (по метану CH4): горючий газ (ГГ).
2 Расчет критериев пожарной опасности
2.1 Определяется необходимое условие.
В наружной установке обращается ГГ, способный образовывать взрывоопасную газовоздушную смесь, что соответствует необходимому условию отнесения наружной установи категории Ан.
За расчетный вариант принимается аварийная разгерметизация трубопровода с газом, приводящая к выбросу горючей среды (ГГ) в окружающее пространство с возможностью возникновения пожара.
2.2 Определяются достаточные условия отнесения установки к категории Ан.
а) Рассчитывается горизонтальный размер зоны, ограничивающей область концентрации, превышающий нижний концентрационный предел распространения пламени, м:
,
где m– масса горючих газов, поступивших в результате аварии в окружающее пространство, кг:
m = Vав · rг,
где Vав – объем газа, выделившегося в результате расчетной аварии, м3:
Vав = q · T = 43 · 120 = 5160 м3;
rг – плотность газа при расчетной температуре, кг/м3:
кг/м3,
m = 5160 · 0,62 = 3199,2 кг,
м.
б) Рассчитывается величина избыточного давления DP, кПа, развиваемого при сгорании газовоздушной смеси:
,
,
кг,
кПа.
3 Определение категории наружной установки
Результаты расчетов критериев взрывопожарной опасности показывают, что при расчетном варианте аварии достигаются необходимые и достаточные условия (горизонтальный размер зоны, ограничивающей газовоздушные смеси с концентрацией горючего выше НКПР, превышает 30 м и расчетное избыточное давление при сгорании газовоздушной смеси на расстоянии 30 м от наружной установки превышает 5 кПа), что позволяет отнести данную наружную установку к категории Ан.
Б.9 Расчет критериев пожарной опасности и определение категории узла редуцирования газа
1 Исходные данные
1.1 Характеристика наружной установки.
Узел редуцирования газа предназначен для снижения давления газа и поддержания его с заданной точностью и состоит из трубопроводной обвязки и редуктора. Топливный газ с трубопроводами: входа – диаметром 114 мм, длиной 1 м, давлением 50 кг/см2; выхода – диаметром 114 мм, длиной 1 м, давлением 25 кг/см2, производительность 25 тыс. м3/ч (6,94 м3/с); пусковой газ с трубопроводами: входа – диаметром 114 мм, длиной 1 м, давлением 50 кг/см2; выхода – диаметром 114 мм, длиной 1 м, давлением 5 кг/см2.
Отключение ручное, расчетное время отключения принимается согласно НПБ 105-03 [1] равным 300 с.
Расчетная температура воздуха tр = 40 °C – абсолютная максимальная температура воздуха (для района г Ставрополя) согласно таблице 2 СНиП 23-01-99* [6].
1.2 Характеристика веществ и материалов, обращающихся (находящихся) в наружной установке, по справочным данным (приложение Г).
Природный газ (по метану CH4: горючий газ (ГГ).
2 Расчет критериев пожарной опасности
2.1 Определяется необходимое условие.
В наружной установке обращается ГГ, способный образовывать взрывоопасную газовоздушную смесь, что соответствует необходимому условию отнесения наружной установки к категории Ан.
За расчетный вариант принимается аварийная разгерметизация трубопровода с газом, приводящая к выбросу горючей среды (ГГ) в окружающее пространство с возможностью возникновения пожара.
2.2 Определяются достаточные условия отнесения установки к категории Ан.
а) Рассчитывается горизонтальный размер зоны, ограничивающей область концентраций, превышающих нижний концентрационный предел распространения пламени, м:
,
где rг – плотность газа при расчетной температуре, кг/м3:
кг/м3;
mг – масса выделившегося при аварии газа, кг:
mг = Vав · rг,
где Vав – объем газа, поступившего в результате расчетной аварии, м3:
Vав = Vт,
где Vт – объем газа, вышедшего из трубопровода, м3:
Vт = V1т + V2т,
где V1т – объем газа, вышедшего из трубопровода до его отключения, м3:
V1т = q · T = 6,94 · 300 = 2082 м3;
V2т – объем газа, вышедшего из трубопровода после его отключения, м3;
V2т = 0,01 · p · P · r2 · L = 0,01 · 3,14 · (4902 · 0,0532 · 1) = 0,43 м3,
Vав = Vт = 2082 + 0,43 = 2082,43 м3,
mг = 2082,43 · 0,62 = 1291,1 кг,
м.
б) Рассчитывается величина избыточного давления DP, кПа, развиваемого при сгорании газовоздушной смеси:
,
,
кг,
кПа.
3 Определение категории наружной установки
Результаты расчетов критериев взрывопожарной опасности показывают, что при расчетном варианте аварии достигаются необходимые и достаточные условия (горизонтальный размер зоны, ограничивающей газовоздушные смеси с концентрацией горючего выше НКПР, превышает 30 м и расчетное избыточное давление при сгорании газовоздушной смеси на расстоянии 30 м от наружной установки превышает 5 кПа), что позволяет отнести данную наружную установку к категории Ан.
Б.10 Расчет критериев пожарной опасности и определение категории АВО газа
Расчет см. Б.22, приложение Б СТО Газпром 2-1.1-094.
Б.11 Расчет критериев пожарной опасности и определение категории аппаратного двора СОГ
1 Исходные данные
1.1 Характеристика наружной установки.
Станция охлаждения газа (СОГ) расположена на одной площадке и включает следующие установки, находящиеся на расстоянии менее 15 м друг от друга:
- сепаратор (C-02) среднего давления (пропан) объемом 12 м3, давлением 5,5 кг/см2, производительностью 10 тыс. м3/ч, с трубопроводом входным диаметром 500 мм, длиной 30 м;
- сепаратор (C-01) низкого давления объемом 16 м3, давлением 3,5 кг/см2, производительностью 5 тыс. м3/ч, с трубопроводами: входной – диаметром 300 мм, длиной 15 м; выходной - диаметром 500 мм, длиной 25 м;
- АВО (12 вентиляторов):
1) трубопровод: входной – диаметром 250 мм, длиной 18 м; диаметром 200 мм, длиной 36 м; трубопровод: выходной (жидкий пропан) - диаметром 200 мм, длиной 10 м (6 труб); диаметром 25,4 мм, длиной 11 м (пучки в количестве 233 шт.), производительностью 199 т/ч;
2) общий коллектор диаметром 300 мм, длиной 10 м (до буферной емкости);
3) буферная емкость (Б-01) объемом 60 м3, давлением 4 кг/см2;
4) трубопровод выходной – диаметром 250 мм, длиной 3 м;
- экономайзер (S-03) объемом 27 м3, давлением 4 кг/см2, трубопроводы: входной - диаметром 300 мм, длиной 7 м; выходной – диаметром 300 мм, длиной 5 м;
- испаритель (Е-01) объемом 60 м3 (пропан); трубопроводы: выходной – диаметром 300 мм, длиной 25 м (газ пропан); входной – диаметром 300 мм, длиной 8 м (жидкий пропан); входной – диаметром 400 мм, длиной 16 м (метан), давлением 50 кг/см2; выходной – диаметром 400 мм, длиной 8 м (метан).
Отключение автоматическое, без резервирования, расчетное время отключения принимается согласно НПБ 105-03 [1] равным 120 с.
Расчетная температура воздуха tр = 34 °C – абсолютная максимальная температура воздуха (для района г. Уренгоя) согласно таблице 2 СНиП 23-01-99* [6].
1.2 Характеристика веществ и материалов, обращающихся (находящихся) в наружной установке, по справочным данным (приложение Г).
Природный газ (по метану – CH4): горючий газ (ГГ).
Пропан (C3H8): горючий газ (ГГ).
2 Расчет критериев пожарной опасности
2.1 Определение необходимого условия.
В наружной установке обращается ГГ, способный образовывать взрывопожароопасную газовоздушную смесь, что соответствует необходимому условию отнесения наружной установки к категории Ан.
За расчетный вариант принимается аварийная разгерметизация трубопровода между сепараторами, приводящая к выбросу горючего газа в окружающее пространство с возможностью возникновения пожара.
2.2 Определение достаточного условия отнесения к категории Ан
а) Рассчитывается горизонтальный размер зоны, ограничивающей область концентраций, превышающих нижний концентрационный предел распространения пламени, м:
,
где mг – масса горючих газов, поступивших в результате аварии в окружающее пространство, кг:
mг = Vав · rг,
где Vав- объем газа, выделившегося в результате расчетной аварии, м3:
Vав = Vа + Vт,
где Vа- объем газа, поступившего из аппарата, м3:
Vа = 0,01 · P · V = 0,01 · 539,4 · 12 = 64,728 м3;
Vт – объем газа, поступившего из трубопровода, м3:
Vт = V1т + V2т,
где V1т – объем газа, поступившего из трубопровода до его отключения, м3:
V1т = q · T = 2,778 · 120 = 333,33 м3;
V2т – объем газа, поступившего из трубопровода после его отключения, м3:
V2т = 0,01 · p · P · r2 · L = 0,01 · 3,14 · 539,4 · 0,252 · 30 = 31,77 м3,
Vт = 333,33 + 31,77 = 365,1 м3,
Vав = 64,728 + 365,1 = 429,828 м3;
rг – плотность газа при расчетной температуре, кг/м3:
кг/м3,
m = 429,828 · 1,75 = 752,2 кг,
м.
б) Избыточное давление, развиваемое при сгорании газовоздушных смесей, кПа, определяется по формуле
,
,
,
кПа.
3 Определение наружной установки по пожарной опасности
Результаты расчетов критериев пожарной опасности показывают, что при расчетном варианте аварии достигаются необходимые (наличие горючего газа) и достаточные (горизонтальный размер зоны, ограничивающей газовоздушную смесь с концентрацией горючего выше НКПР, превышает 30 м и расчетное избыточное давление при сгорании газовоздушной смеси на расстоянии 30 м от наружной установки превышает 5 кПа) условия, позволяющие отнести данную наружную установку к категории Ан.
Б.12 Расчет критериев пожарной опасности и определение категории резервуарного парка общецеховой системы маслоснабжения КЦ
Расчет см. Б.51, приложение Б СТО Газпром 2-1.1-094.
Б.13 Расчет критериев пожарной опасности и определение категории АВО ДЭГ
1 Исходные данные
1.1 Характеристика наружной установки.
Аппарат воздушного охлаждения (АВО) предназначен для охлаждения ДЭГ и состоит из вентилятора и трубного пучка объемом 0,1 м3, трубопроводы: входа – диаметром 89 мм, длиной 2 м; выхода - диаметром 89 м, длиной 2 м, производительностью 10 м3/ч (0,003 м3/с).
Расчетная температура воздуха tр = 40 °C – абсолютная максимальная температура воздуха (для района г Ставрополя) согласно таблице 2 СНиП 23-01-99* [6].
1.2 Характеристика веществ и материалов, обращающихся (находящихся) в наружной установке, по справочным данным (приложение Г).
Диэтиленгликоль (ДЭГ): горючая жидкость (ГЖ).
2 Расчет критериев пожарной опасности
2.1 Определение необходимого условия.
В наружной установке обращается ГЖ (ДЭГ), нагретая ниже температуры вспышки (Z = 0), что соответствует необходимому условию отнесения установки к категории Вн.
За расчетный вариант принимается аварийная разгерметизация аппарата с ДЭГ, приводящая к выбросу горючей среды (ГЖ) в окружающее пространство с возможностью возникновения пожара.
2.1 Определение достаточных условий отнесения установки к категории Вн.
Интенсивность теплового излучения q, кВт/м2, для пожара пролива жидкости вычисляется по формуле (48) НПБ 105-03 [1]:
q = Ef · Fq · t,
| где Ef | – среднеповерхностная плотность теплового излучения пламени, кВт/м2; для ДЭГ принимается за 40 кВт/м2 (по п. 57 НПБ 105-03 [1]); |
| Fq | – угловой коэффициент облученности: |
;
где Fv, FH – факторы облученности для вертикальной и горизонтальной площадок, соответственно определяемые по формулам (52, 53) НПБ 105-03 [1]:
;
;
;
;
;
;
| где r | – расстояние от геометрического центра пролива до облучаемого объекта, принимается за 30 м; |
| d | - эффективный диаметр пролива, м, определяется по формуле |
,
где F- площадь пролива, м2, определяется согласно п. 38 НПБ 105-03 [1] из расчета, что 1 л смесей и растворов, содержащих 70 % и менее растворителей, разливается на площади 0,10 м2, следовательно, площадь пролива 0,1 м3 (100 л) составит 10 м2.
м;
;
;
;
;
;
;
H– высота пламени, м, определяется по формуле
,
где M – удельная массовая скорость выгорания топлива, кг/(м2·с), для ДЭГ равна 0,016 кг/(м2·с);
м;
rв – плотность окружающего воздуха, кг/м3:
кг/м3;
g – ускорение свободного падения, равно 9,81 м/с2:
;
t – коэффициент пропускания атмосферы, определяется по формуле
t = ехр [- 7 · 10-4 (r- 0,5d)];
t = ехр [- 7 · 10-4 · (30 - 0,5 · 12,7)] = 1,02.
Величина интенсивности теплового излучения:
q = 40 · 2,68 · 1,02 = 109,3 > 4 кВт.
3 Определение категории наружной установки
Результаты расчетов критериев пожарной опасности показывают, что при расчетном варианте аварии достигаются необходимое (наличие ГЖ, нагретая ниже температуры вспышки) и достаточное условие (величина интенсивности теплового излучения превышает 4 кВт), что позволяет отнести данную наружную установку к категории Вн.
Б.14 Расчет критериев пожарной опасности и определение категории блока УПТПИГ
1 Исходные данные
1.1 Характеристика наружной установки.
Блок подготовки топливного, импульсного и пускового газа (БПТИПГ) размещен на одной площадке в составе:
- блок подготовки импульсного газа: ресивер импульсного газа объемами 2,5 и 1 м3, давлением 55 кг/см2, с трубопроводами: входа – диаметром 57 мм, длиной 1,5 м; выхода – диаметром 57 мм, длиной 1,5 м; 2 абсорбера: объемом 1 м3, давлением 55 кг/см2, с трубопроводами: входа – диаметром 57 мм, длиной 0,3 м; выхода – диаметром 57 мм, длиной 0,5 м;
- фильтр сепаратора топливного газа: фильтр-сепаратор объемом 3,1 м3, производительностью 360 тыс. м3/сут, давлением 55 кг/см2, с трубопроводами: входа – диаметром - 159 мм, длиной 4 м; выхода – диаметром 159 мм, длиной 0,6 м;
- узел замера газа: трубопровод топливного газа производительностью 360 тыс. м3/сут, давлением 55 кг/см2, с трубопроводами диаметром 89 мм, длиной 4 м, диаметром 159 мм, длиной 15 м;
- узел редуцирования топливного газа: 2 узла редуцирования топливного газа производительностью 360 тыс. м3/сут, с трубопроводами диаметром 89 мм, длиной 1,5 м, давлением 55 кг/см2, диаметром 89 мм, длиной 1 м + диаметром 200 мм, длиной 1 м, давлением 25 кг/см2, диаметром 89 мм, длиной 1 м + диаметром 200 мм, длиной 1 м, давлением 5 кг/см2.
Отключение ручное, расчетное время отключения принимается согласно п. 7 НПБ 105-03 [1] равным 300 с.
Расчетная температура воздуха tр = 40 °C – абсолютная максимальная температура воздуха (для района г. Ставрополя) согласно таблице 2 СНиП 23-01-99* [6].
1.2 Характеристика веществ и материалов, обращающихся (находящихся) в наружной установке, по справочным данным (приложение Г).
Природный газ (по метану CH4): горючий газ (ГГ).
2 Расчет критериев пожарной опасности
2.1 Определение необходимого условия.
В наружной установке обращается ГГ, способный образовывать взрывопожароопасную газовоздушную смесь, что соответствует необходимому условию отнесения наружной установки к категории Ан.
За расчетный вариант принимается аварийная разгерметизация фильтра сепаратора, приводящая к выбросу горючего газа в окружающее пространство с возможностью возникновени пожара.
2.2 Определение достаточного условия отнесения к категории Ан.
а) Рассчитывается горизонтальный размер зоны, ограничивающей область концентраций, превышающих нижний концентрационный предел распространения пламени, м:
,
где mг – масса горючих газов, поступивших в результате аварии в окружающее пространство, кг:
mг = Vав · rг,
где Vав – объем газа, выделившегося в результате расчетной аварии, м3:
Vав = Vа + Vт,
где Vа – объем газа, вышедшего из аппарата, м3:
Vа = 0,01 · P · V= 0,01 · 5392,2 · 3,1 = 167,2 м3;
Vт – объем газа, вышедшего из трубопровода, м3:
Vт = V1т + V2т,
где V1т – объем газа, вышедшего из трубопровода до его отключения, м3:
V1т = q · T = 4,17 · 300 = 1250 м3;
V2т – объем газа, вышедшего из трубопровода после отключения, м3:
V2т = 0,01 · p · P · r2 · L = 0,01 · 3,14 · 5392,2 · 0,07352 · (4 + 0,6) = 4,2 м3,
Vт = 1250 + 4,2 = 1254,2 м3,
Vав = 167,2 + 1254,2 = 1421,4 м3;
rг – плотность газа при расчетной температуре, кг/м3:
кг/м3,
m = 1421,4 · 0,624 = 887 кг,
м.
б) Рассчитывается избыточное давление DP, кПа, развиваемое при сгорании газовоздушной смеси:
,
кг,
кПа.
3 Определение категории наружной установки
Результаты расчетов критериев пожарной опасности показывают, что при расчетном варианте аварии достигаются необходимые (наличие горючего газа) и достаточные (горизонтальный размер зоны, ограничивающей газовоздушную смесь с концентрацией горючего выше НКПР, превышает 30 м и расчетное избыточное давление при сгорании газовоздушной смеси на расстоянии 30 м от наружной установки превышает 5 кПа) условия, позволяющие отнести данную наружную установку к категории Ан.
Б.15 Расчет критериев пожарной опасности и определение категории аккумуляторов импульсного газа
1 Исходные данные
1.1 Характеристика наружной установки.
На площадке аккумуляторов импульсного газа находятся 2 емкости с природным газом, использующимся в качестве импульсного, объем – 2 м3, давление – 70 кг/см2.
Расчетная температура воздуха tр = 34 °C – абсолютная максимальная температура воздуха (для района г. Уренгоя) согласно таблице 2 СНиП 23-01-99* [6].
1.2 Характеристика веществ и материалов, обращающихся (находящихся) в наружной установке, по справочным данным (приложение Г).
Природный газ (по метану CH4): горючий газ (ГГ).
2 Расчет критериев пожарной опасности
2.1 Определяется необходимое условие.
В наружной установке обращается ГГ, способный образовывать взрывоопасную газовоздушную смесь, что соответствует необходимому условию отнесения наружной установки к категории Ан.
За расчетный вариант принимается аварийная разгерметизация аккумулятора импульсного газа, приводящая к выбросу горючей среды (ГГ) в окружающее пространстве с возможностью возникновения пожара.
2.2 Определяются достаточные условия отнесения установки к категории Ан.
а) Рассчитывается горизонтальный размер зоны, ограничивающей область концентраций, превышающих нижний концентрационный предел распространения пламени, м:
,
где m– масса горючих газов, поступивших в результате аварии в окружающее пространство, кг:
m = Vав · rг,
где Vав – объем газа, выделившегося в результате расчетной аварии, м3:
Vав = Vа,
где Vа – объем газа, вышедшего из аппарата, м3:
Vа = 0,01 · P · V = 0,01 · 6864,7 · 2 = 137,3 м3,
кг/м3,
m = 137,3 · 0,62 = 85,1 кг,
м.
б) Рассчитывается избыточное давление DP, кПа, развиваемое при сгорании газовоздушной смеси:
,
,
кг,
кПа.
3 Определение категории наружной установки
Результаты расчетов критериев взрывопожарной опасности показывают, что при расчетном варианте аварии достигаются необходимые и достаточные условия (горизонтальный размер зоны, ограничивающей газовоздушные смеси с концентрацией горючего выше НКПР, превышает 30 м и расчетное избыточное давление при сгорании газовоздушной смеси на расстоянии 30 м от наружной установки превышает 5 кПа), что позволяет отнести данную наружную установку к категории Ан.
Б.16 Расчет критериев пожарной опасности и определение категории испарителей дренажной системы
1 Исходные данные
1.1 Характеристика наружной установки.
Испарители дренажной системы предназначены для отделения газа от жидкости и представляют собой емкость объемом 8 м3 с заполнением газообразным пропаном на 50 %.
Расчетная температура воздуха tр = 35 °C – абсолютная максимальная температура воздуха (для района г. Ухты) согласно таблице 2 СНиП 23-01-99* [6].
1.2 Характеристика веществ и материалов, обращающихся (находящихся) в наружной установке, по справочным данным (приложение Г).
Пропан (C3H8): горючий газ (ГГ).
2 Расчет критериев пожарной опасности
2.1 Определение необходимого условия.
В наружной установке обращается горючий газ, способный образовывать взрывоопасную газовоздушную смесь, что соответствует необходимому условию отнесения наружной установки к категории Ан.
За расчетный вариант принимается аварийная разгерметизация испарителя, приводящая к выбросу горючей среды (ГГ) в окружающее пространство с возможностью возникновения пожара.
2.2 Определение достаточных условий отнесения к категории Ан.
а) Рассчитывается горизонтальный размер зоны, ограничивающей область концентраций, превышающих нижний концентрационный предел распространения пламени, м:
,
где m – масса горючих газов, поступивших в результате аварии в окружающее пространство, кг:
m= Vав · rг,
где rг – плотность газа при расчетной температуре, кг/м3:
кг/м3;
Vав – объем газа, поступившего в результате аварийной ситуации, м3:
Vав = Vа,
где Vа – объем газа, вышедшего из аппарата, м3:
Vа = 8 · 0,5 = 4 м3,
m = 4 · 1,74 = 6,96 кг,
м.
б) Рассчитывается избыточное давление, развиваемое при сгорании газовоздушных смесей, кПа:
,
,
кг,
кПа.
3 Определение категории наружной установки
Результаты расчетов критериев взрывопожарной опасности показывают, что при расчетном варианте аварии достигаются необходимые и одно из достаточных условий (расчетное избыточное давление при сгорании газовоздушной смеси на расстоянии 30 м от наружной установки превышает 5 кПа), позволяющие отнести данную наружную установку к категории Ан.
Б.17-18 Расчет критериев пожарной опасности и определение категории установки запуска (приема) очистного устройства (УЗОУ, УПОУ)
1 Исходные данные
1.1 Характеристика наружной установки.
Установка УПОУ в составе: камера приема очистного устройства объемом 27 м3 (газ с рабочим давлением 5,4 МПа, производительностью 101 м3/с) с трубопроводами до отсечных клапанов объемами 5 и 1,9 м3; коллектор-сборник объемом 50 м3, емкость импульсного газа объемом 2,5 м3.
Расчетная температура воздуха tр = 38 °C – абсолютная максимальная температура воздуха (для района г. Воронежа) согласно таблице 2 СНиП 23-01-99* [6].
Отключение оборудования автоматическое без резервирования, расчетное время отключения принимается согласно НПБ 105-03 [1] равным 120 с.
1.2 Характеристика веществ и материалов, обращающихся (находящихся) в наружной установке, по справочным данным (приложение Г).
Природный газ (по метану CH4): горючий газ (ГГ).
2 Расчет критериев пожарной опасности
2.1 Определение необходимого условия.
В наружной установке обращается горючий газ, способный образовывать взрывоопасную газовоздушную смесь, что соответствует необходимому условию отнесения наружной установки к категории Ан.
За расчетную аварийную ситуацию принимается разгерметизация камеры, приводящая к выбросу газа в окружающее пространство с возможностью пожара.
2.2 Определение достаточных условий отнесения к категории Ан.
а) Рассчитывается горизонтальный размер зоны, ограничивающей область концентраций, превышающих нижний концентрационный предел распространения пламени, Rнкпр, м:
,
где mг – масса горючих газов, поступивших в результате аварии в окружающее пространство, кг:
mг = Vав · rг,
где Vав – объем газа, поступившего в окружающее пространство в результате аварийной ситуации, м3:
Vав = Vа + Vт,
где Vа – объем газа, вышедшего из аппарата, м3:
Vа = 0,01 · P1 · V = 0,01 · 5400 · 27 = 1458 м3;
Vт – объем газа, вышедшего из трубопровода, м3:
Vт = V1т + V2т,
где V1т – объем газа, вышедшего из трубопровода до его отключения, м3:
V1т = q · T= 101 · 120 = 12120 м3;
V2т – объем газа, вышедшего из трубопровода после его отключения, м3:
V2т = 0,01 · P (V1 + V2) = 0,01 · 5400 · (5 + 1,9) = 372,6 м3;
Vт = 12120 + 372,6 = 12492,6 м3,
Vав = 1458 + 12492,6 = 13950,6 м3;
rг – плотность газа при расчетной температуре, кг/м3:
кг/м3;
m= 13950,6 · 0,63 = 8788,9 кг,
м.
б) Рассчитывается значение избыточного давления DP, развиваемого при сгорании газовоздушной смеси, кПа:
,
,
кг,
кПа.
3 Определение категории наружной установки
Результаты расчетов критериев взрывопожарной опасности показывают, что при расчетном варианте аварии достигаются необходимые и достаточные условия (горизонтальный размер зоны, ограничивающей область концентраций, превышающих НКПР, превышает 30 м и расчетное избыточное давление при сгорании газовоздушной смеси на расстоянии 30 м от наружной установки превышает 5 кПа), позволяющие отнести данную наружную установку к категории Ан.
Б.19 Расчет критериев пожарной опасности и определение категории блока сепарации УСК
1 Исходные данные
1.1 Характеристика наружной установки.
Блок сепарации в составе: сепаратор газа диэтанизации С-1 объемом 80 м3, давлением 19,2 кг/см2, производительностью 1300 м3/ч (0,36 м3/с); трубопроводы: входа – диаметром 89 мм, длиной 7 м; выхода – диаметром 89 мм, длиной 20 м; емкость с газом (буферная); сепаратор низконапорных газов.
Расчетная температура воздуха tр = 35 °C – абсолютная максимальная температура воздуха (для района г. Ухты) согласно таблице 2 СНиП 23-01-99* [6].
Отключение автоматическое, без резервирования, расчетное время отключения принимается согласно НПБ 105-03 [1] равным 120 с.
1.2 Характеристика веществ и материалов, обращающихся (находящихся) в наружной установке, по справочным данным (приложение Г).
Природный газ (по метану CH4): горючий газ (ГГ).
2 Расчет критериев пожарной опасности
2.1 Определение необходимого условия.
В наружной установке обращается горючий газ, способный образовывать взрывоопасную газовоздушную смесь, что соответствует необходимому условию отнесения наружной установки к категории Ан.
За расчетную аварийную ситуацию принимается аварийная разгерметизация сепаратора, приводящая к выбросу газа в окружающее пространство с возможностью пожара.
2.2 Определение достаточных условий отнесения установки к категории Ан.
а) Рассчитывается горизонтальный размер зоны, ограничивающей область концентраций, превышающих нижний концентрационный предел распространения пламени, Rнкпр, м:
,
где m– масса горючих газов, поступивших в результате аварии в окружающее пространство, кг:
m = Vав · rг,
где Vав – объем газа, выделившегося в результате расчетной аварии, м3:
Vав =Vа + Vт,
где Vа – объем газа, вышедшего из аппарата, м3:
Vа = 0,01 · P1 · V= 0,01 · 1882,7 · 80 = 1506,2 м3;
Vт – объем газа, вышедшего из трубопровода, м3:
Vт = V1т + V2т,
где V1т – объем газа, вышедшего из трубопровода до его отключения, м3:
V1т = q · T = 0,36 · 120 = 43,3 м3;
V2т – объем газа, вышедшего из трубопровода после его отключения, м3;
V2т = 0,01 · p · P · (r12L1 + r22 L2),
V2т = 0,01 · 3,14 · 1882 · (0,0452 · 7 + 0,0452 · 20) = 3,23 м3,
Vт = 43,3 + 3,23 = 46,53 м3,
Vав = 1506,2 + 46,53 = 1552,73 м3;
rг – плотность газа при расчетной температуре, кг/м3:
кг/м3;
m= 1552,73 · 0,63 = 978,2 кг,
м.
б) Рассчитывается значение избыточного давления DP, развиваемого при сгорании газовоздушной смеси, кПа:
,
,
кг,
кПа.
3 Определение категории наружной установки
Результаты расчетов критериев взрывопожарной опасности показывают, что при расчетном варианте аварии достигаются необходимые и одно из достаточных условий (расчетное избыточное давление при сгорании газовоздушной смеси на расстоянии 30 м от наружной установки превышает 5 кПа), позволяющие отнести данную наружную установку к категории Ан.
Б.20 Расчет критериев пожарной опасности и определение категории печи подогрева УСК
1 Исходные данные
1.1 Характеристика наружной установки.
Наружная установка в составе: 3 печи (в работе 2) диаметром 108 мм, длиной 5 м; трубопроводы с конденсатом: входа – диаметром 150 мм, длиной 20 м; выхода – диаметром 150 мм, длиной 5 м; производительностью 300 м3/ч (0,08 м3/с). Площадь обваловки – 40 ´ 30 м. Время ручного отключения оборудования принимается равным 300 с по НПБ 105-03 [1].
Расчетная температура воздуха tр = 34 °C – абсолютная максимальная температура воздуха (для района г. Сургута) согласно таблице 2 СНиП 23-01-99* [6].
1.2 Характеристика веществ и материалов, обращающихся (находящихся) в наружной установке, по справочным данным (приложение Г).
Природный газ (по метану CH4): горючий газ (ГГ) используется в качестве топлива.
Конденсат (по н-октану): легковоспламеняющаяся жидкость (ЛВЖ).
2 Расчет критериев пожарной опасности
2.1 Определение необходимого условия.
В наружной установке обращается ЛВЖ с температурой вспышки менее 28 °C, способная образовывать взрывоопасную паровоздушную смесь, что отвечает необходимому условию отнесения наружной установки к категории Ан.
За расчетный вариант принимается аварийная разгерметизация трубопровода с конденсатом, приводящая к выбросу горючей среды (ЛВЖ) в окружающее пространство с возможностью возникновения пожара.
2.2 Определение достаточных условий отнесения установки к категории Ан.
а) Рассчитывается горизонтальный размер зоны, ограничивающий область концентраций, превышающих нижний концентрационный предел распространения пламени, м:
,
где Рн – давление насыщенных паров при расчетной температуре, кПа:
кПа;
mп- масса паров, поступивших в открытое пространство за время полного испарения, но не более чем за 3600 с, кг:
mп = mр,
где mр – масса жидкости, испарившейся с поверхности разлива, кг:
mр = W · Fи · T,
W= 10-6 ·
· Pн,
W = 10-6 ·
· 3,05 = 3,25 · 10-5, кг/с·м2;
Fи – площадь испарения, м2, определяется по п. 38 НПБ 105-03 [1] из расчета, что 1 л смесей и растворов, содержащих 70 % и менее растворителей, разливается на площади 0,10 м2.
Рассчитывается объем газа, вышедшего из трубопровода при аварии, Vт, м3:
Vт = V1т + V2т,
где V1т – объем конденсата, вышедшего из трубопровода до его отключения, м3:
V1т = q · T= 0,08 · 300 = 24 м3;
V2т – объем конденсата, вышедшего из трубопровода после его отключения, м3:
V2т = 0,01 · p · (r2L) = 0,01 · 3,14 · 0,0752 · 20 = 0,035 м3,
Vт = 24 + 0,035 = 24,035 м3.
Площадь испарения принимается равной площади обваловки (1200 м2), так как она меньше рассчитанной (2403,5 м2).
m= 3,25 · 10-5 · 1200 · 3600 = 140,4 кг;
rп – плотность паров при расчетной температуре и атмосферном давлении, кг/м3:
кг/м3,
м.
б) Рассчитывается избыточное давление, развиваемое при сгорании паровоздушных смесей, DP, кПа:
,
,
кг,
кПа.
3 Определение категории наружной установки
Результаты расчетов критериев взрывопожарной опасности показывают, что при расчетном варианте аварии достигаются необходимые и одно из достаточных условий (расчетное избыточное давление при сгорании газовоздушной смеси на расстоянии 30 м от наружной установки превышает 5 кПа), позволяющие отнести данную наружную установку к категории Ан.
Б.21 Расчет критериев пожарной опасности и определение категории АВО сжиженного пропана
1 Исходные данные
1.1 Характеристика наружной установки.
АВО пропана предназначен для охлаждения пропана. АВО можно рассматривать как участки технологических трубопроводов, длина которых соответствует суммарной длине труб в пучках теплообменника. АВО состоит из 3-х секций по 3 вентилятора с ШФЛУ и 3-х секций по 3 вентилятора с пропаном объемом 1,2 м3, производительностью 200 м3/ч (0,06 м3/с) (по газу), давлением 12 кг/см2.
Расчетная температура воздуха tр = 34 °C – абсолютная максимальная температура воздуха (для района г. Сургута) согласно таблице 2 СНиП 23-01-99* [6].
Отключение ручное, расчетное время отключения принимается согласно НПБ 105-03 [1] равным 300 с.
1.2 Характеристика веществ и материалов, обращающихся (находящихся) в наружной установке, по справочным данным (приложение Г).
Пропан сжиженный C3H8: СУГ, горючий газ (ГГ).
ШФЛУ (по пентану – C5H12): легковоспламеняющаяся жидкость (ЛВЖ).
2 Расчет критериев пожарной опасности
2.1 Определяется необходимое условие.
В наружной установке обращается ГГ, способный образовывать взрывоопасную газовоздушную смесь, что соответствует необходимому условию отнесения наружной установки к категории Ан.
За расчетный вариант принимается аварийная разгерметизация выходящего трубопровода, приводящая к выбросу горючей среды (ГГ) в окружающее пространство с возможностью возникновения пожара.
2.2 Определяются достаточные условия отнесения установки к категории Ан.
а) Рассчитывается горизонтальный размер зоны, ограничивающей область концентраций, превышающих нижний концентрационный предел распространения пламени, м:
,
где rг – плотность газа при расчетной температуре, кг/м3:
кг/м3;
mг – масса газа, поступившего в окружающее пространство при расчетной аварии, кг:
mг = rг · Vав,
где Vав – объем газа, поступившего в окружающее пространство в результате расчетной аварии, м3:
Vав = Vа + Vт,
где Vа – объем газа, вышедшего из аппарата, м3:
Vа = 0,01 · P · V = 0,01 · 1177 · 1,2 = 14,1 м3;
Vт – объем газа, вышедшего из трубопровода до его отключения, м3:
Vт = q · T= 0,06 · 300 = 18 м3,
Vав = 14,1 + 18 = 32,1 м3,
m = 32,1 · 1,75 = 56,2 кг,
м.
б) Рассчитывается величина избыточного давления DP, кПа, развиваемого при сгорании газовоздушной смеси:
,
,
кг,
кПа.
3 Определение категории наружной установки
Результаты расчетов критериев взрывопожарной опасности показывают, что при расчетном варианте аварии достигаются необходимые и достаточные условия (горизонтальный размер зоны, ограничивающей газовоздушные смеси с концентрацией горючего выше НКПР, превышает 30 м и расчетное избыточное давление при сгорании газовоздушной смеси на расстоянии 30 м от наружной установки превышает 5 кПа), что позволяет отнести данную наружную установку к категории Ан.
Б.22 Расчет критериев пожарной опасности и определение категории циклонов участка термического производства техуглерода (УТПУ)
1 Исходные данные
1.1 Характеристика наружной установки.
Циклоны входят в состав системы улавливания техуглерода и являются ее конечной стадией, остаточный техуглерод с пиролизными газами направляется в печь дожига. Объем циклонов – 30 м3, производительность отходящих газов – 13000 м3/ч (3,6 м3/с), давление – 15 кПа.
Расчетная температура воздуха tр = 35 °C – абсолютная максимальная температура воздуха (для района г. Ухты) согласно таблице 2 СНиП 23-01-99* [6].
Отключение автоматическое без резервирования, расчетное время отключения принимается согласно НПБ 105-03 [1] равным 120 с.
1.2 Характеристика веществ и материалов, обращающихся (находящихся) в наружной установке, по справочным данным (приложение Г).
Отходящий газ: горючий газ (ГГ).
H2- 85,3 % об., CO- 1,0 % об., CH4- 9,9 % об., CnH2n- 1,3 % об., N2- 2,5 % об.
Водород H2: горючий газ (ГГ).
2 Расчет критериев пожарной опасности
2.1 Определение необходимого условия.
В наружной установке обращается горючий газ, способный образовывать взрывоопасную газовоздушную смесь, что соответствует необходимому условию отнесения наружной установки к категории Ан.
За расчетный вариант принимается аварийная разгерметизация циклона, приводящая к выбросу горючей среды (ГГ) в окружающее пространство с возможностью возникновения пожара.
2.2 Определение достаточных условий отнесения установки к категории Ан.
а) Рассчитывается горизонтальный размер зоны, ограничивающей область концентраций, превышающих нижний концентрационный предел распространения пламени, Rнкпр, м:
,
где m– масса горючих газов, поступивших в результате аварии в окружающее пространство, кг:
m= Vав · rг,
где Vав – объем газа, выделившегося в результате расчетной аварии, м3:
Vав = Vа + q · T;
Vа – объем газа, вышедшего из аппарата, м3:
Vа= 0,01 · P · V,
Vав = 0,01 · 15 · 30 + 3,6 · 120 = 436,5 м3;
rг – плотность газа при расчетной температуре, кг/м3:
кг/м3,
m = 436,5 · 0,08 = 35 кг,
м.
б) Величина избыточного давления DP, кПа, развиваемого при сгорании газовоздушной смеси, определяется по формуле
,
,
кг,
кПа.
3 Определение категории наружной установки
Результаты расчетов критериев взрывопожарной опасности показывают, что при расчетном варианте аварии достигаются необходимые и достаточные условия (горизонтальный размер зоны, ограничивающей газовоздушные смеси с концентрацией горючего выше НКПР, превышает 30 м и расчетное избыточное давление при сгорании газовоздушной смеси на расстоянии 30 м от наружной установки превышает 5 кПа), что позволяет отнести данную наружную установку к категории Ан.
Б.23 Расчет критериев пожарной опасности и определение категории газовых генераторов УТПУ
1 Исходные данные
1.1 Характеристика наружной установки.
Наружная установка состоит из 5 газогенераторов, предназначенных для получения технического углерода путем сжигания природного газа.
1.2 Характеристика веществ и материалов, обращающихся (находящихся) в наружной установке, по справочным данным (приложение Г).
Природный газ (по метану CH4): горючий газ (ГГ).
2 Расчет критериев пожарной опасности
Расчет критериев не требуется.
3 Определение категории наружной установки
Для данной наружной установки выполняются необходимое и достаточное условия (наличие ГГ, которые сжигаются или утилизируются в качестве топлива, при этом установка не относится к категориям Ан, Бн или Вн), что позволяет отнести ее к категории Гн.
Б.24 Расчет критериев пожарной опасности и определение категории углеродоосадителей УТПУ
1 Исходные данные
1.1 Характеристика наружной установки:
Углеродоосадители входят в состав системы улавливания техуглерода, остаточный техуглерод с пиролизными газами направляется на доочистку в циклон. Объем углеродоосадителя – 100 м3, производительность отходящих газов – 13000 м3/ч (3,6 м3/с), давление – 15 кПа.
Расчетная температура воздуха tр = 35 °C – абсолютная максимальная температура воздуха (для района г. Ухты) согласно таблице 2 СНиП 23-01-99* [6].
Отключение автоматическое без резервирования, расчетное время отключения принимается согласно НПБ 105-03 [1] равным 120 с.
1.2 Характеристика веществ и материалов, обращающихся (находящихся) в наружной установке, по справочным данным (приложение Г).
Отходящий газ: горючий газ (ГГ): H2- 85,3 % об., CO- 1,0 % об., CH4- 9,9 % об.,. CnH2n- 1,3 % об., N2- 2,5 % об.
Водород H2: горючий газ (ГГ).
2 Расчет критериев пожарной опасности
2.1 Определение необходимого условия.
В наружной установке обращается горючий газ, способный образовывать взрывоопасную газовоздушную смесь, что соответствует необходимому условию отнесения наружной установки к категории Ан.
За расчетный вариант принимается аварийная разгерметизация углеродоосадителя, приводящая к выбросу горючей среды (ГГ) в окружающее пространство с возможностью возникновения пожара.
2.2 Определение достаточных условий отнесения установки к категории Ан.
а) Рассчитывается горизонтальный размер зоны, ограничивающей область концентраций, превышающих нижний концентрационный предел распространения пламени, Rнкпр, м:
,
где m– масса горючих газов, поступивших в результате аварии в окружающее пространство, кг:
m = Vав · rг,
где Vав – объем газа, выделившегося в результате расчетной аварии, м3:
Vав = Vа + q · T;
Vа – объем газа, вышедшего из аппарата, м3:
Vа = 0,01 · P · V,
Vав = 0,01 · 15 · 100 + 3,6 · 120 = 447 м3;
rг – плотность газа при расчетной температуре, кг/м3:
кг/м3,
m= 447 · 0,08 = 35,76 кг,
м.
б) Величина избыточного давления DP, кПа, развиваемого при сгорании газовоздушной смеси, определяется по формуле
,
,
кг,
кПа.
3 Определение категории наружной установки
Результаты расчетов критериев взрывопожарной опасности показывают, что при расчетном варианте аварии достигаются необходимые и достаточные условия (горизонтальный размер зоны, ограничивающей газовоздушные смеси с концентрацией горючего выше НКПР, превышает 30 м и расчетное избыточное давление при сгорании газовоздушной смеси на расстоянии 30 м от наружной установки превышает 5 кПа), что позволяет отнести данную наружную установку к категории Ан.
Б.25 Расчет критериев пожарной опасности и определение категории узла одоризации цеха налива сжиженного газа и конденсата
1 Исходные данные
1.1 Характеристика наружной установки.
Узел одоризации предназначен для одоризации сжиженного газа и состоит из емкости с одорантом объемом 10 м3 и трубопровода для подачи одоранта. Площадь обваловки составляет 60 м2.
Расчетная температура воздуха tр = 35 °C – абсолютная максимальная температура воздуха (для района г. Ухты) согласно таблице 2 СНиП 23-01-99* [6].
1.2 Характеристика веществ и материалов, обращающихся (находящихся) в наружной установке, по справочным данным (приложение Г).
Одорант (этилмеркаптан): легковоспламеняющаяся жидкость (ЛВЖ) [13].
2 Расчет критериев пожарной опасности
2.1 Определение необходимого условия.
В наружной установке обращается ЛВЖ с температурой вспышки менее 28 °C, способная образовывать взрывоопасную паровоздушную смесь, что отвечает необходимому условию отнесения наружной установки к категории Ан.
За расчетный вариант принимается аварийная разгерметизация емкости одоранта, приводящая к выбросу горючей среды (ЛВЖ – этилмеркаптан) в окружающее пространство с возможностью возникновения пожара.
2.2 Определение достаточных условий отнесения установки к категории Ан.
а) Рассчитывается горизонтальный размер зоны, ограничивающий область концентраций, превышающих нижний концентрационный предел распространения пламени, м:
,
где mп – масса паров, поступивших в открытое пространство за время полного испарения, но не более чем за 3600 с, кг:
mп = mр,
где mр – масса жидкости, испарившейся с поверхности разлива, кг:
mр= W · Fи · T,
W = 10-6 ·
· Pн,
W = 10-6 · 1 ·
· 66,7 = 5,3 · 10-4, кг/с·м2;
Fи – площадь испарения, м2, принимается равной площади обваловки (60 м2), так как она меньше площади, вычисленной по п. 38 НПБ 105-03 [1] из расчета, что 1 л смесей и растворов, содержащих 70 % и менее растворителей, разливается на площади 0,10 м2,
m = 5,3 · 10-4 · 60 · 3600 = 114,5 кг;
rп- плотность паров при расчетной температуре и атмосферном давлении, кг/м3:
кг/м3,
м.
б) Рассчитывается избыточное давление, развиваемое при сгорании паровоздушных смесей, кПа:
,
,
кг,
кПа.
3 Определение категории наружной установки
Результаты расчетов критериев взрывопожарной опасности показывают, что при расчетном варианте аварии достигаются необходимые и достаточные условия (горизонтальный размер зоны, ограничивающей паровоздушные смеси с концентрацией горючего выше НКПР, превышает 30 м и расчетное избыточное давление при сгорании паровоздушной смеси на расстоянии 30 м от наружной установки превышает 5 кПа), что позволяет отнести данную наружную установку к категории Ан.
Б.26 Расчет критериев пожарной опасности и определение категории аппаратного двора установки сепарации пластового газа высокого давления
1 Исходные данные
1.1 Характеристика наружной установки.
Аппаратный двор предназначен для сепарации пластового газа высокого давления и включает следующее оборудование, размещенное на одной площадке:
- сепаратор 3-фазный объемом 74,8 м3, производительностью 185 тыс. м3/ч (51,4 м3/с), давлением 66 кг/см2, с трубопроводами: входящий – диаметр 250 мм, длина 10 м; выходящий – диаметр 250 мм, длина 12 м;
- сепаратор 2-фазный, производительностью 185 тыс. м3/ч (51,4 м3/с), давлением 66 кг/см2;
- сепарационная колонна объемом 103 м3, производительностью 185 тыс. м3/ч (51,4 м3/с), давлением 66 кг/см2, с трубопроводом выхода – диаметром 250 мм, длиной 25 м;
- фильтр производительностью 185 тыс. м3/ч (51,4 м3/с), давлением 66 кг/см2;
- теплообменник производительностью 185 тыс. м3/ч (51,4 м3/с), давлением 66 кг/см2;
- сепарационная колонна объемом 34 м3, производительностью 185 тыс. м3/ч (51,4 м3/с), давлением 66 кг/см2;
- 2 теплообменника;
- 2 емкости с сырьевым газом объемом 18,3 м3, производительностью 300 тыс. м3/ч (83,3 м3/с), давлением 22 кг/см2.
Расчетная температура воздуха tр = 40 °C – абсолютная максимальная температура воздуха (для района г. Астрахани) согласно таблице 2 СНиП 23-01-99* [6].
Отключение автоматическое, без резервирования, расчетное время отключения принимается согласно НПБ 105-03 [1] равным 120 с.
1.2 Характеристика веществ и материалов, обращающихся (находящихся) в наружной установке, по справочным данным (приложение Г).
Природный газ (по метану CH4): горючий газ (ГГ).
Конденсат (по н-октану): легковоспламеняющаяся жидкость (ЛВЖ).
2 Расчет критериев пожарной опасности
2.1 Определение необходимого условия.
В наружной установке обращается горючий газ, способный образовывать взрывоопасную газовоздушную смесь, что соответствует необходимому условию отнесения наружной установки к категории Ан.
За расчетный вариант аварии принимается разгерметизация сепаратора и поступление содержимого емкости (ГГ и ЛВЖ) в окружающую среду. Расчет проводится по наиболее взрывоопасному компоненту – природному газу.
2.2 Определение достаточных условий отнесения установки к категории Ан.
а) Рассчитывается горизонтальный размер зоны, ограничивающей область концентраций, превышающих нижний концентрационный предел распространения пламени, Rнкпр, м:
,
где m– масса горючих газов, поступивших в результате аварии в окружающее пространство, кг:
m = Vав · rг,
где Vав – объем газа, выделившегося в результате расчетной аварии, м3:
Vав = Vа + Vт,
| где Vа | – объем газа, вышедшего из аппарата, м3; |
| Vт | – объем газа, вышедшего из трубопровода, м3: |
Vа = 0,01 · P1 · V = 0,01 · 6472 · 74,8 = 4841 м3,
Vт = V1т + V2т,
где V1т – объем газа, вышедшего из трубопровода до его отключения, м3:
V1т = q · T= 51,4 · 120 = 6168 м3;
V2т – объем газа, вышедшего из трубопровода после его отключения, м3:
V2т = 0,01 · p · P · (r21 L1 + r22 L2),
V2т = 0,01 · 3,14 · 6472 · (0,1252 · 10 + 0,1252 · 12) = 71,53 м3,
Vт = 6168 + 71,53 = 6239,53 м3,
Vав = 4841 + 6239,53 = 11080,53 м3;
rг – плотность газа при расчетной температуре, кг/м3:
кг/м3,
m = 11080,53 · 0,62 = 6869,9 кг,
м.
б) Рассчитывается величина избыточного давления DP, кПа, развиваемого при сгорании газовоздушной смеси:
,
,
кг,
кПа.
3 Определение категории наружной установки
Результаты расчетов критериев взрывопожарной опасности показывают, что при расчетном варианте аварии достигаются необходимые и достаточные условия (горизонтальный размер зоны, ограничивающей газовоздушные смеси с концентрацией горючего выше НКПР, превышает 30 м и расчетное избыточное давление при сгорании газовоздушной смеси на расстоянии 30 м от наружной установки превышает 5 кПа), что позволяет отнести данную наружную установку к категории Ан.
Б.27 Расчет критериев пожарной опасности и определение категории метанольного узла установки сепарации пластового газа высокого давления
1 Исходные данные
1.1 Характеристика наружной установки.
Метанольный узел, предназначенный для хранения и подачи метанола, состоит из надземной емкости с метанолом объемом 50 м3, подземной емкости с метанолом и насоса перекачки метанола, расположенных на одной площадке с обваловкой 12 ´ 12 м.
Расчетная температура воздуха tр = 40 °C – абсолютная максимальная температура воздуха (для района г. Астрахани) согласно таблице 2 СНиП 23-01-99* [6].
1.2 Характеристика веществ и материалов, обращающихся (находящихся) в наружной установке, по справочным данным (приложение Г).
Метанол: легковоспламеняющаяся жидкость (ЛВЖ).
2 Расчет критериев пожарной опасности
2.1 Определение необходимого условия.
В наружной установке обращается ЛВЖ с температурой вспышки менее 28 °C, способная образовывать взрывоопасную паровоздушную смесь, что отвечает необходимому условию отнесения наружной установки к категории Ан.
За расчетный вариант принимается аварийная разгерметизация надземной емкости с метанолом, приводящая к выбросу горючей среды (ЛВЖ) в окружающее пространство с возможностью возникновения пожара.
2.2 Определение достаточных условий отнесения установки к категории Ан.
а) Рассчитывается горизонтальный размер зоны, ограничивающий область концентраций, превышающих нижний концентрационный предел распространения пламени, м:
,
где mп – масса паров, поступивших в открытое пространство за время полного испарения, но не более чем за 3600 с, кг:
m= mр,
где m– масса жидкости, испарившейся с поверхности разлива, кг:
mр= W · Fи · T;
Fи – площадь испарения, м2, определяется по п. 38 НПБ 105-03 [1] из расчета, что 1 л смесей и растворов, содержащих 70 % и менее растворителей, разливается на площади 0,10 м2, следовательно, площадь пролива 50 м3 метанола составит 5000 м2, что превышает площадь обваловки. За площадь испарения принимается площадь обваловки – 144 м2.
W = 10-6 ·
· Pн,
кПа,
W= 10-6 · 1 ·
· 34,9 = 1,98 · 10-4 кг/с·м2,
m= 1,98 · 10-4 · 144 · 3600 = 102,6 кг.
Определяется плотность паров метанола при расчетной температуре, кг/м3:
кг/м3,
м.
б) Рассчитывается величина избыточного давления DP, кПа, развиваемого при сгорании паровоздушной смеси:
,
кг,
кПа.
3 Определение категории наружной установки
Результаты расчетов критериев взрывопожарной опасности показывают, что при расчетном варианте аварии достигаются необходимые и одно из достаточных условий (расчетное избыточное давление при сгорании газовоздушной смеси на расстоянии 30 м от наружной установки превышает 5 кПа), позволяющие отнести данную наружную установку к категории Ан.
Б.28 Расчет критериев пожарной опасности и определение категории аппаратного двора установки очистки газа от сероводорода и углекислоты
1 Исходные данные
1.1 Характеристика наружной установки.
Аппаратный двор предназначен для очистки газа от сероводорода и углекислоты и включает следующее оборудование, размещенное на одной площадке: емкости расширения богатого амина; емкости рефлюксной воды; емкость конденсата пара низкого давления; ребойлеры регенератора; емкость конденсата парообогрева; АВО газа; сепаратор сырого газа; регенератор; абсорбер объемом 359 м3, производительностью 120 тыс. м3/ч (33,3 м3/с), давлением 65 кг/см2 (6374,3 кПа), трубопроводами: входной – диаметром 300 мм, длиной 10 м; выходной – диаметром 400 мм, длиной 15 м.
Расчетная температура воздуха tр = 40 °C – абсолютная максимальная температура воздуха (для района г. Астрахани) согласно таблице 2 СНиП 23-01-99* [6].
Отключение автоматическое, без резервирования, расчетное время отключения принимается согласно НПБ 105-03 [1] равным 120 с.
1.2 Характеристика веществ и материалов, обращающихся (находящихся) в наружной установке, по справочным данным (приложение Г).
Природный газ (по метану CH4): горючий газ (ГГ).
Диэтаноламин: горючая жидкость (ГЖ).
2 Расчет критериев пожарной опасности
2.1 Определение необходимого условия.
В наружной установке обращается горючий газ, способный образовывать взрывоопасную газовоздушную смесь, что соответствует необходимому условию отнесения наружной установки к категории Ан.
За расчетный вариант аварии принимается разгерметизация абсорбера и поступление содержимого (ГГ) в окружающую среду. Расчет проводится по наиболее взрывоопасному компоненту – природному газу.
2.2 Определение достаточных условий отнесения установки к категории Ан.
а) Рассчитывается горизонтальный размер зоны, ограничивающей область концентраций, превышающих нижний концентрационный предел распространения пламени, Rнкпр, м:
,
где m– масса горючих газов, поступивших в результате аварии в окружающее пространство, кг:
m = Vав · rг,
где Vав – объем газа, выделившегося в результате расчетной аварии, м3:
Vав = Vа + Vт,
где Vа – объем газа, вышедшего из аппарата, м3:
Vа = 0,01 · P1 · V= 0,01 · 6374,3 · 359 = 22883,7 м3;
Vт – объем газа, вышедшего из трубопровода, м3:
Vт = V1т + V2т,
| где V1т | – объем газа, вышедшего из трубопровода до его отключения, м3; |
| V2т | – объем газа, вышедшего из трубопровода после его отключения, м3: |
V1т = q · T = 33,3 · 120 = 3996 м3,
V2т = 0,01 · p · P · (r21 L1 + r22 L2),
V2т = 0,01 · 3,14 · 6374,3 · (0,152 · 10 + 0,22 · 15) = 165,1 м3,
Vт = 3996 + 165,1 = 4161,1 м3,
Vав = 22883,7 + 4161,1 = 27044,8 м3;
rг – плотность газа при расчетной температуре, кг/м3:
кг/м3,
m= 27044,8 · 0,62 = 16767,8 кг,
м.
б) Рассчитывается величина избыточного давления DP, кПа, развиваемого при сгорании газовоздушной смеси:
,
кг,
кПа.
3 Определение категории наружной установки
Результаты расчетов критериев взрывопожарной опасности показывают, что при расчетном варианте аварии достигаются необходимые и достаточные условия (горизонтальный размер зоны, ограничивающей газовоздушные смеси с концентрацией горючего выше НКПР, превышает 30 м и расчетное избыточное давление при сгорании газовоздушной смеси на расстоянии 30 м от наружной установки превышает 5 кПа), что позволяет отнести данную наружную установку к категории Ан.
Б.29 Расчет критериев пожарной опасности и определение категории аппаратного двора установки получения серы
1 Исходные данные
1.1 Характеристика наружной установки.
Аппаратный двор, предназначенный для получения серы, состоит из емкости питательной воды, сборника парового конденсата, емкости воздуха КИПиА, емкости расширения, конденсатора паров, печей, котлов утилизаторов, реакторов Клауса, подогревателя, экономайзера, коагулятора, реактора сульфрин и сепаратора кислого газа, размещенных на одной площадке.
Объем сепаратора кислого газа равен 265,8 м3, производительность – 120 тыс. м3/ч (33,3 м3/с), давление – 0,7 кг/см2 с трубопроводами: входящим – диаметром 1320 мм, длиной 15 м; выходящим – диаметром 1320 мм, длиной 60 м.
Содержание сероводорода в кислом газе, обращающемся в сепараторе, – 73,83 % об.
Расчетная температура воздуха tр = 40 °C – абсолютная максимальная температура воздуха (для района г. Астрахани) согласно таблице 2 СНиП 23-01-99* [6].
Отключение автоматическое, без резервирования, расчетное время отключения принимается согласно НПБ 105-03 [1] равным 120 с.
1.2 Характеристика веществ и материалов, обращающихся (находящихся) в наружной установке, по справочным данным (приложение Г).
Кислый газ (по сероводороду H2S): горючий газ (ГГ).
2 Расчет критериев пожарной опасности
2.1 Определение необходимого условия.
В наружной установке обращается горючий газ, способный образовывать взрывоопасную газовоздушную смесь, что соответствует необходимому условию отнесения наружной установки к категории Ан.
За расчетный вариант принимается аварийная разгерметизация сепаратора кислого газа, приводящая к выбросу горючей среды (ГГ) в окружающее пространство с возможностью возникновения пожара.
2.2 Определение достаточных условий отнесения установки к категории Ан.
а) Рассчитывается горизонтальный размер зоны, ограничивающей область концентраций, превышающих нижний концентрационный предел распространения пламени, Rнкпр, м:
,
где m– масса горючих газов, поступивших в результате аварии в окружающее пространство, кг:
m = Vав · rг,
где Vав – объем газа, выделившегося в результате расчетной аварии, м3:
Vав = Vа + Vт,
где Vа – объем газа, вышедшего из аппарата, с учетом содержания газа, м3:
Vа = 0,01 · P · V = 0,01 · 68,6 · 265,8 · 0,7383 = 134,6 м3,
Vт – объем газа, вышедшего из трубопровода, м3:
Vт = V1т + V2т,
| где V1т | – объем газа, вышедшего из трубопровода до его отключения, м3; |
| V2т | – объем газа, вышедшего из трубопровода после его отключения, м3; |
V1т = q · T= 33,3 · 120 = 3996 м3,
V2т = 0,01 · p · P · (r21 L1 + r22 L2),
V2т = 0,01 · 3,14 · 68,6 · (0,662 · 15 + 0,662 · 60) = 71,08 м3,
Vт = 3996 + 71,08 = 4067,08 м3,
Vав = 134,6 + 4067,08 = 4201,68 м3;
rг – плотность газа при расчетной температуре, кг/м3:
кг/м3,
m= 4201,68 · 1,33 = 5588,2 кг,
м.
б) Рассчитывается величина избыточного давления DP, кПа, развиваемого при сгорании газовоздушной смеси:
,
,
кг,
кПа.
3 Определение категории наружной установки
Результаты расчетов критериев взрывопожарной опасности показывают, что при расчетном варианте аварии достигаются необходимые и достаточные условия (горизонтальный размер зоны, ограничивающей газовоздушные смеси с концентрацией горючего выше НКПР, превышает 30 м и расчетное избыточное давление при сгорании газовоздушной смеси на расстоянии 30 м от наружной установки превышает 5 кПа), что позволяет отнести данную наружную установку к категории Ан.
Б.30 Расчет критериев пожарной опасности и определение категории аппаратного двора установки стабилизации газового конденсата и обработки сточных вод
1 Исходные данные
1.1 Характеристика наружной установки.
Аппаратный двор, предназначенный для стабилизации газового конденсата, состоит из электродегидратора, стабилизационной колонны, фильтра, теплообменников, АВО, заглубленной емкости, насосов, емкости стабилизации конденсата объемом 74 м3 и 131 м3, производительностью 350 м3/ч (0,1 м3/с) с трубопроводами: входящим – диаметром 350 мм, длиной 16 м и выходящим – диаметром 250 мм, длиной 4 м, заполнение емкости – 70 % объема). Перечисленное оборудование размещено на одной площадке. Емкость стабилизации конденсата находится в обваловке 20 ´ 30 м.
Расчетная температура воздуха tр = 40 °C – абсолютная максимальная температура воздуха (для района г. Астрахани) согласно таблице 2 СНиП 23-01-99* [6].
Отключение автоматическое, без резервирования, расчетное время отключения принимается согласно НПБ 105-03 [1] равным 120 с.
1.2 Характеристика веществ и материалов, обращающихся (находящихся) в наружной установке, по справочным данным (приложение Г).
Конденсат (по н-октану): легковоспламеняющаяся жидкость (ЛВЖ).
2 Расчет критериев пожарной опасности
2.1 Определение необходимого условия.
В наружной установке обращается ЛВЖ с температурой вспышки менее 28 °C, способная образовывать взрывоопасную паровоздушную смесь, что отвечает необходимому условию отнесения наружной установки к категории Ан.
За расчетный вариант принимается аварийная разгерметизация емкости стабилизации конденсата, приводящая к выбросу горючей среды (ЛВЖ) в окружающее пространство с возможностью возникновения пожара.
2.2 Определение достаточных условий отнесения установки к категории Ан.
а) Рассчитывается горизонтальный размер зоны, ограничивающий область концентраций, превышающих нижний концентрационный предел распространения пламени, м, по формуле (для паров ненагретых легковоспламеняющихся жидкостей):
,
| где K | – коэффициент, принимаемый равным K = T/3600; |
| mп | – масса паров, поступивших в открытое пространство за время полного испарения, но не более чем за 3600 с, кг: |
mп = mр,
где mр – масса жидкости, испарившейся с поверхности разлива, кг:
mр = W · Fи · T,
где W – интенсивность испарения, кг/(с·м2);
W = 10-6 ·
· P;
Pн – давление насыщенных паров при расчетной температуре, кПа:
кПа,
W = 10-6 · 1 ·
· 4,14 = 4,42 · 10-5 кг/(с·м2);
Fи – площадь испарения, м2, определяется из расчета по п. 38 НПБ 105-03 [1], что 1 л смесей и растворов, содержащих 70 % и менее растворителей, разливается на площади 0,10 м2.
Определяется объем конденсата, поступившего в результате аварийной ситуации, кг:
Vав = Vа + Vт,
где Vа – объем конденсата, вышедшего из аппарата, м3 (с учетом заполнения 70 %):
Vа = V · 0,7 = 131 · 0,7 = 91,7 м3;
Vт – объем конденсата, вышедшего из трубопровода, м3:
Vт = V1т + V2т,
где V1т – объем конденсата, вышедшего из трубопровода до его отключения, м3:
V1т = q · T= 0,1 · 120 = 12 м3;
V2т – объем конденсата, вышедшего из трубопровода после его отключения, м3;
V2т = p · (r21L1 + r22 L2),
V2т = 3,14 · (0,1752 · 16 + 0,1252 · 4) = 1,73 м3,
Vт = 12 + 1,73 = 13,73 м3,
Vав = 91,7 + 13,73 = 105,43 м3.
За площадь испарения принимается площадь обваловки (600 м2), так как она меньше вычисленной (10543 м2).
m= 4,42 · 10-5 · 600 · 3600 = 95,472 кг.
Определяется плотность паров октана при расчетной температуре, кг/м3:
кг/м3,
м.
б) Рассчитывается величина избыточного давления DP, кПа, развиваемого при сгорании паровоздушной смеси:
,
кг,
кПа.
3 Определение категории наружной установки
Результаты расчетов критериев взрывопожарной опасности показывают, что при расчетном варианте аварии достигаются необходимые и одно из достаточных условий (расчетное избыточное давление при сгорании газовоздушной смеси на расстоянии 30 м от наружной установки превышает 5 кПа), позволяющие отнести данную наружную установку к категории Ан.
Б.31 Расчет критериев пожарной опасности и определение категории аппаратного двора установки очистки газа от кислых компонентов с повторным компримированием
1 Исходные данные
1.1 Характеристика наружной установки.
Аппаратный двор, предназначенный для очистки газа от кислых компонентов, состоит из сепаратора сырьевого газа, емкостей, абсорбера амина, теплообменников, ребойлера-регенератора, емкости нагнетания компрессора, сепараторов 1-й и 2-й ступеней компримирования, емкости нагнетания компрессора объемом 1,5 м3, давлением 67 кг/см2, производительностью 28 тыс. м3/ч (7,8 м3/с).
Расчетная температура воздуха tр = 40 °C – абсолютная максимальная температура воздуха (для района г. Астрахани) согласно таблице 2 СНиП 23-01-99* [6].
Отключение ручное, расчетное время отключения принимается согласно НПБ 105-03 [1] равным 300 с.
1.2 Характеристика веществ и материалов, обращающихся (находящихся) в наружной установке, по справочным данным (приложение Г).
Природный газ (по метану CH4: горючий газ (ГГ).
2 Расчет критериев пожарной опасности
2.1 Определение необходимого условия.
В наружной установке обращается горючий газ, способный образовывать взрывоопасную газовоздушную смесь, что соответствует необходимому условию отнесения наружной установки к категории Ан.
За расчетный вариант принимается аварийная разгерметизация емкости нагнетания компрессора, приводящая к выбросу горючей среды (ГГ) в окружающее пространство с возможностью возникновения пожара.
2.2 Определение достаточных условий отнесения установки к категории Ан.
а) Рассчитывается горизонтальный размер зоны, ограничивающей область концентраций, превышающих нижний концентрационный предел распространения пламени, Rнкпр, м:
,
где m – масса горючих газов, поступивших в результате аварии в окружающее пространство, кг:
m = Vав · rг,
где Vав – объем газа, выделившегося в результате расчетной аварии, м3:
Vав = Vа + q · T,
Vа – объем газа, вышедшего из аппарата, м3:
Vа = 0,01 · P · V= 0,01 · 6570,5 · 1,5 = 98,56 м3,
Vав = 98,56 + 7,8 · 300 = 2438,6 м3;
rг – плотность газа при расчетной температуре, кг/м3:
кг/м3,
m= 2438,6 · 0,62 = 1511,9 кг,
м.
б) Рассчитывается величина избыточного давления DP, кПа, развиваемого при сгорании газовоздушной смеси:
,
кг,
кПа.
3 Определение категории наружной установки
Результаты расчетов критериев взрывопожарной опасности показывают, что при расчетном варианте аварии достигаются необходимые и достаточные условия (горизонтальный размер зоны, ограничивающей газовоздушные смеси с концентрацией горючего выше НКПР, превышает 30 м и расчетное избыточное давление при сгорании газовоздушной смеси на расстоянии 30 м от наружной установки превышает 5 кПа), что позволяет отнести данную наружную установку к категории Ан.
Б.32 Расчет критериев пожарной опасности и определение категории аппаратного двора установки осушки и отбензинивания газа
1 Исходные данные
1.1 Характеристика наружной установки.
Аппаратный двор, предназначенный для осушки и отбензинивания газа, включает: колонну промывки, абсорбер, диэтанизатор, теплообменники, ребойлеры диэтанизатора, конденсатор диэтанизатора, конденсатор паров воды, подогреватель холодных сбросов, рефлюксная емкость диэтанизатора, емкости рекуперации, фильтр, сепараторы. Абсорбер объемом 44,9 м3, давлением 7396,7 кПа, производительностью 305 тыс. м3/ч (84,7 м3/с).
Расчетная температура воздуха tр = 40 °C – абсолютная максимальная температура воздуха (для района г. Астрахани) согласно таблице 2 СНиП 23-01-99* [6].
Отключение ручное, расчетное время отключения принимается согласно НПБ 105-03 [1] равным 300 с.
1.2 Характеристика веществ и материалов, обращающихся (находящихся) в наружной установке, по справочным данным (приложение Г).
Природный газ (по метану CH4): горючий газ (ГГ).
2 Расчет критериев пожарной опасности
2.1 Определение необходимого условия.
В наружной установке обращается горючий газ, способный образовывать взрывоопасную газовоздушную смесь, что соответствует необходимому условию отнесения наружной установки к категории Ан.
За расчетный вариант принимается аварийная разгерметизация абсорбера, приводящая к выбросу горючей среды (ГГ) в окружающее пространство с возможностью возникновения пожара.
2.2 Определение достаточных условий отнесения установки к категории Ан.
а) Рассчитывается горизонтальный размер зоны, ограничивающей область концентраций, превышающих нижний концентрационный предел распространения пламени, Rнкпр, м:
,
где m– масса горючих газов, поступивших в результате аварии в окружающее пространство, кг:
m = Vав · rг,
где Vав – объем газа, выделившегося в результате расчетной аварии, м3:
Vав = 0,01 · P · Vа + q · T = 0,01 · 7396,7 ·44,9 + 84,7 · 300 = 28731,1 м3;
rг – плотность газа при расчетной температуре, кг/м3:
кг/м3,
m= 28731,1 · 0,62 = 17813,3 кг,
м.
б) Рассчитывается величина избыточного давления DP, кПа, развиваемого при сгорании газовоздушной смеси:
,
кг,
кПа.
3 Определение категории наружной установки
Результаты расчетов критериев взрывопожарной опасности показывают, что при расчетном варианте аварии достигаются необходимые и достаточные условия, позволяющие отнести данную наружную установку к категории Ан.
Б.33 Расчет критериев пожарной опасности и определение категории блока атмосферной перегонки комбинированной установки по переработке газового конденсата
1 Исходные данные
1.1 Характеристика наружной установки.
Блок предназначен для перегонки газового конденсата и включает: атмосферную колонну, стабилизационную колонну, емкости, теплообменники, АВО, печи, сепаратор объемом 16 м3, производительностью 7 тыс. м3/ч (1,9 м3/с), давлением 3,5 кг/см2.
Расчетная температура воздуха tр = 40 °C – абсолютная максимальная температура воздуха (для района г. Астрахани) согласно таблице 2 СНиП 23-01-99* [6].
Отключение ручное, расчетное время отключения принимается согласно НПБ 105-03 [1] равным 300 с.
1.2 Характеристика веществ и материалов, обращающихся (находящихся) в наружной установке, по справочным данным (приложение Г).
Природный газ (по метану CH4: горючий газ (ГГ).
2 Расчет критериев пожарной опасности
2.1 Определение необходимого условия.
В наружной установке обращается горючий газ, способный образовывать взрывоопасную газовоздушную смесь, что соответствует необходимому условию отнесения наружной установки к категории Ан.
За расчетный вариант принимается аварийная разгерметизация сепаратора, приводящая к выбросу горючей среды (ГГ) в окружающее пространство с возможностью возникновения пожара.
2.2 Определение достаточных условий отнесения установки к категории Ан.
а) Рассчитывается горизонтальный размер зоны, ограничивающей область концентраций, превышающих нижний концентрационный предел распространения пламени, Rнкпр, м:
,
где m– масса горючих газов, поступивших в результате аварии в окружающее пространство, кг:
m = Vав · rг,
где Vав – объем газа, выделившегося в результате расчетной аварии, м3:
Vав =Vа + q · T,
где Vа – объем газа, вышедшего из аппарата, м3:
Vа = 0,01 · P · V= 0,01 · 343,2 · 16 = 54,9 м3,
Vав = 54,9 + 1,9 · 300 = 624,9 м3;
rг – плотность газа при расчетной температуре, кг/м3:
кг/м3,
m = 624,9 · 0,62 = 387,4 кг,
м.
б) Рассчитывается величина избыточного давления DP, кПа, развиваемого при сгорании газовоздушной смеси:
,
кг,
кПа.
3 Определение категории наружной установки
Результаты расчетов критериев взрывопожарной опасности показывают, что при расчетном варианте аварии достигаются необходимые и достаточные условия (горизонтальный размер зоны, ограничивающей газовоздушные смеси с концентрацией горючего выше НКПР, превышает 30 м и расчетное избыточное давление при сгорании газовоздушной смеси на расстоянии 30 м от наружной установки превышает 5 кПа), что позволяет отнести данную наружную установку к категории Ан.
Б.34 Расчет критериев пожарной опасности и определение категории блока ВП комбинированной установки по переработке газового конденсата
1 Исходные данные
1.1 Характеристика наружной установки.
Блок, предназначенный для вторичной перегонки газового конденсата, размещается на одной площадке и включает: емкость сырьевую, емкость рефлюксную, холодильники, теплообменники, колонну вторичной ректификации, колонну экстракционную, емкость объемом 100 м3, заполненная СУГ на 80 % объема, производительностью 250 м3/ч (0,07 м3/с), давлением 11 кг/см2, расположенная в обваловке 15,5 ´ 12 м.
Расчетная температура воздуха tр = 40 °C – абсолютная максимальная температура воздуха (для района г. Астрахани) согласно таблице 2 СНиП 23-01-99* [6].
Отключение ручное, расчетное время отключения принимается согласно НПБ 105-03 [1] равным 300 с.
1.2 Характеристика веществ и материалов, обращающихся (находящихся) в наружной установке, по справочным данным (приложение Г).
Сжиженный газ (по пропану C3H8): горючий газ (ГГ).
2 Расчет критериев пожарной опасности
2.1 Определение необходимого условия.
В наружной установке обращается СУГ, способный образовывать взрывоопасную газовоздушную смесь, что соответствует необходимому условию отнесения наружной установки к категории Ан.
За расчетный вариант принимается аварийная разгерметизация емкости сжиженного пропана, приводящая к выбросу горючей среды (ГГ) в окружающее пространство с возможностью возникновения пожара.
2.2 Определение достаточных условий отнесения установки к категории Ан.
а) Рассчитывается горизонтальный размер зоны, ограничивающей область концентраций, превышающих нижний концентрационный предел распространения пламени, Rнкпр, м:
,
где rг – плотность газа при расчетной температуре, кг/м3:
кг/м3,
m– масса горючих газов, поступивших в результате аварии в окружающее пространство, кг:
m= mсуг,
где mсуг – удельная масса испарившегося СУГ из пролива, кг/м2:
,
| где M | – молярная масса СУГ, кг/моль; |
| Lисп | – мольная теплота испарения СУГ при начальной температуре СУГ Tж, Дж/моль, для пропана Lисп = 18769,1 Дж/моль; |
| T0 | – начальная температура материала, на поверхность которого разливается СУГ, К; |
| Tж | – начальная температура СУГ, К; |
| a | – коэффициент температуропроводности материала, на поверхность которого разливается СУГ, м2/с: |
;
| lтв | – коэффициент теплопроводности материала, на поверхность которого разливается СУГ, Вт/(м·К), для бетона lтв = 1,51 Вт/(м·К); |
| cтв | – теплоемкость материала, на поверхность которого разливается СУГ, Дж/(кг·К), для бетона cтв = 840 Дж/(кг·К); |
| rтв | – плотность материала, на поверхность которого разливается СУГ, кг/м3, для бетона rтв = 2400 кг/м3; |
м2/с;
| t | – текущее время, с, принимаемое равным времени полного испарения СУГ, но не более 3600 с; |
| Re= |
|
| U | – скорость воздушного потока, м/с; |
| vв | – кинематическая вязкость воздуха, м2/с; vв = 14,9 · 10-6 м2/с; |
| d= |
|
| Fи | – площадь испарения, м2, принимается равной площади обваловки (186 м2), так как она меньше вычисленной по п. 38 НПБ 105-03 [1] (8000 м2): |
м;
;
lв – коэффициент теплопроводности воздуха, Вт/(м · К), lв = 0,024276 Вт/(м · К).
кг,
м.
б) Рассчитывается величина избыточного давления DP, кПа, развиваемого при сгорании газовоздушной смеси:
,
кг,
кПа.
3 Определение категории наружной установки
Результаты расчетов критериев взрывопожарной опасности показывают, что при расчетном варианте аварии достигаются необходимые и достаточные условия (горизонтальный размер зоны, ограничивающей газовоздушные смеси с концентрацией горючего выше НКПР, превышает 30 м и расчетное избыточное давление при сгорании газовоздушной смеси на расстоянии 30 м от наружной установки превышает 5 кПа), что позволяет отнести данную наружную установку к категории Ан.
Б.35 Расчет критериев пожарной опасности и определение категории блока очистки и получения сжиженных газов комбинированной установки по переработке газового конденсата
1 Исходные данные
1.1 Характеристика наружной установки.
Блок очистки и получения сжиженных газов (БОПСГ) предназначен для очистки и получения сжиженных газов и включает: емкости, колонны регенерации, колонны экстракционные, колонну ректификации, теплообменники, АВО, холодильники, абсорбер, теплообменник с газом объемом 3,63 м3, производительностью 2200 м3/ч, давлением 6 кг/см2.
Расчетная температура воздуха tр = 40 °C – абсолютная максимальная температура воздуха (для района г. Астрахани) согласно таблице 2 СНиП 23-01-99* [6].
Отключение ручное, расчетное время отключения принимается согласно НПБ 105-03 [1] равным 300 с.
1.2 Характеристика веществ и материалов, обращающихся (находящихся) в наружной установке, по справочным данным (приложение Г).
Природный газ (по метану CH4): горючий газ (ГГ).
2 Определение категории наружной установки
2.2 Определяется необходимое условие.
В наружной установке обращается ГГ, способный образовывать взрывоопасную газовоздушную смесь, что соответствует необходимому условию отнесения наружной установки к категории Ан.
За расчетный вариант принимается аварийная разгерметизация сепаратора, приводящая к выбросу горючей среды (ГГ) в окружающее пространство с возможностью возникновения пожара.
2.2 Определяются достаточные условия отнесения установки к категории Ан.
а) Рассчитывается горизонтальный размер зоны, ограничивающей область концентраций, превышающих нижний концентрационный предел распространения пламени, м:
,
где m– масса горючих газов, поступивших в результате аварии в окружающее пространство, кг:
m = Vав · rг,
где Vав – объем газа, выделившегося в результате расчетной аварии, м3:
Vав = Vа + q · T,
Vа = 0,01 · P · V,
Vав = 0,01 · 588,4 · 3,63 + 0,6 · 300 = 201,4 м3;
rг – плотность газа при расчетной температуре, кг/м3:
кг/м3,
m = 201,4 · 0,62 = 124,9 кг,
м.
б) Величина избыточного давления DP, кПа, развиваемого при сгорании газовоздушной смеси, определяется по формуле
,
кг,
кПа.
3 Определение категории наружной установки
Результаты расчетов критериев взрывопожарной опасности показывают, что при расчетном варианте аварии достигаются необходимые и достаточные условия (горизонтальный размер зоны, ограничивающей газовоздушные смеси с концентрацией горючего выше НКПР, превышает 30 м и расчетное избыточное давление при сгорании газовоздушной смеси на расстоянии 30 м от наружной установки превышает 5 кПа), что позволяет отнести данную наружную установку к категории Ан.
Б.36 Расчет критериев пожарной опасности и определение категории блока электрообессоливания и обезвоживания комбинированной установки по переработке газового конденсата
1 Исходные данные
1.1 Характеристика наружной установки.
Блок электрообессоливания и обезвоживания установки (ЭЛОУ) включает: электрогидраторы, теплообменник, емкости, сепаратор, факельную емкость объемом 32 м3 давлением 0,7 кг/см2.
Расчетная температура воздуха tр = 40 °C – абсолютная максимальная температура воздуха (для района г. Астрахани) согласно таблице 2 СНиП 23-01-99* [6].
1.2 Характеристика веществ и материалов, обращающихся (находящихся) в наружной установке, по справочным данным (приложение Г).
Природный газ (по метану CH4): горючий газ (ГГ).
2 Расчет критериев пожарной опасности
2.1 Определение необходимого условия.
В наружной установке обращается горючий газ, способный образовывать взрывоопасную газовоздушную смесь, что соответствует необходимому условию отнесения наружной установки к категории Ан.
За расчетный вариант принимается аварийная разгерметизация сепаратора, приводящая к выбросу горючей среды (ГГ) в окружающее пространство с возможностью возникновения пожара.
2.2 Определение достаточных условий отнесения установки к категории Ан.
а) Рассчитывается горизонтальный размер зоны, ограничивающей область концентраций, превышающих нижний концентрационный предел распространения пламени, Rнкпр, м:
,
где m– масса горючих газов, поступивших в результате аварии в окружающее пространство, кг:
m = Vав · rг,
где Vав – объем газа, выделившегося в результате расчетной аварии, м3:
Vав = Vа,
где Vа – объем газа, вышедшего из аппарата, м3:
Vа = 0,01 · P · V,
Vав = 0,01 · 68,6 · 32 = 22 м3;
rг – плотность газа при расчетной температуре, кг/м3:
кг/м3,
m= 22 · 0,62 = 13,64 кг,
м.
б) Рассчитывается величина избыточного давления DP, кПа, развиваемого при сгорании газовоздушной смеси:
,
кг,
кПа.
3 Определение категории наружной установки
Результаты расчетов критериев взрывопожарной опасности показывают, что при расчетном варианте аварии достигаются необходимые и одно из достаточных условий (расчетное избыточное давление при сгорании газовоздушной смеси на расстоянии 30 м от наружной установки превышает 5 кПа), позволяющие отнести данную наружную установку к категории Ан.
Б.37 Расчет критериев пожарной опасности и определение категории аппаратного двора установки гидроочистки
1 Исходные данные
1.1 Характеристика наружной установки.
Аппаратный двор гидроочистки включает: колонну стабилизации, колонны абсорбера, колонну десорбера, сепараторы, емкости, диаэратор, теплообменники, подогреватель топливного газа, АВО, холодильники, фильтры, реактор объемом 97,2 м3, производительностью 82500 м3/ч (22,9 м3/с), давлением 37 кг/см2.
Расчетная температура воздуха tр = 40 °C – абсолютная максимальная температура воздуха (для района г. Астрахани) согласно таблице 2 СНиП 23-01-99* [6].
Отключение автоматическое без резервирования, расчетное время отключения принимается согласно НПБ 105-03 [1] равным 120 с.
1.2 Характеристика веществ и материалов, обращающихся (находящихся) в наружной установке, по справочным данным (приложение Г).
Водородосодержащий газ (по водороду H2) горючий газ (ГГ).
2 Расчет критериев пожарной опасности
2.1 Определение необходимого условия.
В наружной установке обращается горючий газ, способный образовывать взрывоопасную газовоздушную смесь, что соответствует необходимому условию отнесения наружной установки к категории Ан.
За расчетный вариант принимается аварийная разгерметизация реактора, приводящая к выбросу горючей среды (ГГ) в окружающее пространство с возможностью возникновения пожара.
2.2 Определение достаточных условий отнесения установки к категории Ан.
а) Рассчитывается горизонтальный размер зоны, ограничивающей область концентраций, превышающих нижний концентрационный предел распространения пламени, Rнкпр, м:
,
где m– масса горючих газов, поступивших в результате аварии в окружающее пространство, кг:
m = Vав · rг,
где Vав – объем газа, выделившегося в результате расчетной аварии, м3:
Vав = Vа + q · T,
Vа – объем газа, вышедшего из аппарата, м3:
Vа = 0,01 · P · V,
Vав = 0,01 · 3628,5 · 97,2 + 22,9 · 120 = 6274,9 м3;
rг – плотность газа при расчетной температуре, кг/м3:
кг/м3,
m = 6274,9 · 0,08 = 502 кг,
м.
б) Рассчитывается величина избыточного давления DP, кПа, развиваемого при сгорании газовоздушной смеси:
,
,
кг,
кПа.
3 Определение категории наружной установки
Результаты расчетов критериев взрывопожарной опасности показывают, что при расчетном варианте аварии достигаются необходимые и достаточные условия (горизонтальный размер зоны, ограничивающей газовоздушные смеси с концентрацией горючего выше НКПР, превышает 30 м и расчетное избыточное давление при сгорании газовоздушной смеси на расстоянии 30 м от наружной установки превышает 5 кПа), что позволяет отнести данную наружную установку к категории Ан.
Б.38 Расчет критериев пожарной опасности и определение категории аппаратного двора УКР
1 Исходные данные
1.1 Характеристика наружной установки.
Аппаратный двор установки каталитического риформинга включает: отпарную колонну, стабилизационную колонну, адсорберы, теплообменники, подогреватели, холодильники, газоохладитель, фильтры, сепараторы, расширитель, диаэратор, дозатор, мерник, емкости, депульсатор, газгольдер, реакторы (реактор объемом 118 м3, производительностью 250 тыс. м3/ч (69,4 м3/с), давлением 28 кг/см2).
Расчетная температура воздуха tр = 40 °C – абсолютная максимальная температура воздуха (для района г. Астрахани) согласно таблице 2 СНиП 23-01-99* [6].
Отключение автоматическое без резервирования, расчетное время отключения принимается согласно НПБ 105-03 [1] равным 120 с.
1.2 Характеристика веществ и материалов, обращающихся (находящихся) в наружной установке, по справочным данным (приложение Г).
Водородосодержащий газ (по водороду H2): горючий газ (ГГ).
2 Расчет критериев пожарной опасности
2.1 Определение необходимого условия.
В наружной установке обращается горючий газ, способный образовывать взрывоопасную газовоздушную смесь, что соответствует необходимому условию отнесения наружной установки к категории Ан.
За расчетный вариант принимается аварийная разгерметизация реактора, приводящая к выбросу горючей среды (ГГ) в окружающее пространство с возможностью возникновения пожара.
2.2 Определение достаточных условий отнесения установки к категории Ан.
а) Рассчитывается горизонтальный размер зоны, ограничивающей область концентраций, превышающих нижний концентрационный предел распространения пламени, Rнкпр, м:
,
где m– масса горючих газов, поступивших в результате аварии в окружающее пространство, кг:
m= Vав · rг,
где Vав – объем газа, выделившегося в результате расчетной аварии, м3:
Vав = Vа + q · T;
Vа – объем газа, вышедшего из аппарата, м3,
Vа = 0,01 · P · V,
Vав = 0,01 · 2745,9 · 118 + 69,4 · 120 = 11568 м3,
кг/м3,
m = 11568 · 0,08 = 925,44 кг,
м.
б) Рассчитывается величина избыточного давления DP, кПа, развиваемого при сгорании газовоздушной смеси:
,
,
кг,
кПа.
3 Определение категории наружной установки
Результаты расчетов критериев взрывопожарной опасности показывают, что при расчетном варианте аварии достигаются необходимые и достаточные условия (горизонтальный размер зоны, ограничивающей газовоздушные смеси с концентрацией горючего выше НКПР, превышает 30 м и расчетное избыточное давление при сгорании газовоздушной смеси на расстоянии 30 м от наружной установки превышает 5 кПа), что позволяет отнести данную наружную установку к категории Ан.
Б.39 Расчет критериев пожарной опасности и определение категории блока Hawaii установки грануляции серы
1 Исходные данные
1.1 Характеристика наружной установки.
Блок грануляции серы, предназначенный для получения гранул из жидкой серы, в составе: гранулятор серы объемом 63 м3, производительностью 150 т/ч, давлением 0,9 кг/см2, бак-накопитель объемом 97,3 м3 (заполнением 80 % – 77,84 м3 серы), воздухосборник, теплообменник, емкость хранения щелочи, отстойник серной мелочи, водоотделитель, скруббер в системе местного отсоса (СМО), отводящего от гранулятора газовоздушную смесь с содержанием сероводорода 94 мг/м3. Объем скруббера – 1,68 м3, производительность – 3,5 тыс. м3/ч (0,972 м3/с).
Расчетная температура воздуха tр = 40 °C – абсолютная максимальная температура воздуха (для района г. Астрахани) согласно таблице 2 СНиП 23-01-99* [6].
Отключение автоматическое, без резервирования, расчетное время отключения принимается согласно НПБ 105-03 [1] равным 120 с.
1.2 Характеристика веществ и материалов, обращающихся (находящихся) в наружной установке, по справочным данным (приложение Г).
Сероводород (H2S): горючий газ (ГГ).
Сера (S8): горючее вещество.
2 Расчет критериев пожарной опасности
2.1 Определяется необходимое условие.
В наружной установке обращается ГГ, способный образовывать взрывоопасную газовоздушную смесь, что отвечает необходимому условию отнесения установки к категории Ан.
За расчетный вариант аварии принимается разгерметизация трубопровода на входе в скруббер и поступление кислого газа (ГГ) в окружающую среду.
2.2 Определение достаточных условий отнесения к категории Ан.
а) Рассчитывается горизонтальный размер зоны, ограничивающей область концентраций, превышающих нижний концентрационный предел распространения пламени, м:
,
где mг – масса горючих газов, поступивших в результате аварии в окружающее пространство, кг:
mг= Vав · c,
| где c | - концентрация газа, кг/м3; |
| Vав | – объем газа, выделившегося в результате расчетной аварии, м3: |
Vав = 0,972 · 120 = 116,64 м3,
mг = 116,64 · 0,000094 = 0,01 кг;
rг – плотность газа при расчетной температуре, кг/м3:
кг/м3,
м.
б) Рассчитывается избыточное давление DP, кПа, развиваемое при сгорании газовоздушной смеси:
,
,
кг,
кПа.
Результаты расчетов критериев взрывопожарной опасности показывают, что при расчетном варианте аварии необходимое условие достигается (наличие ГГ), но его количества недостаточно для выполнения ни одного из достаточных.
Процесс грануляции серы происходит во влажной среде без выделения пыли, поэтому установка не относится к категории Бн.
2.3 Определяется необходимое условие отнесения установки к категории Вн.
В наружной установке обращается горючее вещество (сера), что отвечает необходимому условию отнесения к категории Вн.
За расчетную ситуацию принимается аварийная разгерметизация бака-накопителя с поступлением горючей среды (серы) в окружающее пространство с возможностью пожара.
2.4 Определение достаточных условий отнесения установки к категории Вн.
а) Рассчитывается интенсивность теплового излучения от очага пожара, q, 40 кВт/м2:
q = Ef · Fq · t,
| где Ef | - среднеповерхностная плотность теплового излучения пламени, кВт/м2, принимается по НПБ 105-03 [1] для твердых веществ равной 40 кВт/м2; |
| Fq | – угловой коэффициент облученности, определяется по формуле |
,
где Fv, FH– факторы облученности для вертикальной и горизонтальной площадок соответственно, определяемые по формулам:
;
;
;
;
;
,
| где r | – расстояние от геометрического центра пожара до облучаемого объекта, принимается за 30 м, от геометрического центра насыпи до ее края; |
| d | – эффективный диаметр просыпа гранулированной серы, м, определяется по формуле |
,
где F – площадь высыпавшейся серы из бака-накопителя, м2, вычисляется из расчета, что 1 л серы (по аналогии с жидкостью по п. 38 г НПБ 105-03 [1] с учетом свойств твердых частиц) при просыпе занимает площадь 0,01 м2, т.е. F = 77840 · 0,01 = 778,4 м2;
м;
H – высота пламени, м, определяется по формуле
,
| где M | - удельная массовая скорость выгорания топлива, для серы - 0,019 кг/(м2·с); |
| rв | = 1,13 кг/м3 по таблице 6.1; |
| g | – ускорение свободного падения, равно 9,81 м/с2; |
м,
,
,
,
,
,
,
,
t – коэффициент пропускания атмосферы, определяется по формуле
t = ехр [-7 · 10-4 (r- 0,5d)], t = ехр [-7 · 10-4 · (30 - 0,5 · 31,5)] = 0,99.
Величина интенсивности теплового излучения, кВт/м2:
q= 40 · 0,25 · 0,99 = 9,9 кВт/м2.
3 Определение категории наружной установки
Расчет критериев пожарной опасности показал, что выполняются необходимое (наличие горючего твердого вещества) и достаточное (интенсивность теплового излучения превышает 4 кВт/м2) условия, позволяющие отнести данную установку к категории Вн.
Б.40 Расчет критериев пожарной опасности и определение категории блока колонн и емкостей пропана блока извлечения изопентана и узла получения пропана
1 Исходные данные
1.1 Характеристика наружной установки.
Блок колонн и емкостей пропана блока извлечения изопентана и узла получения пропана включает: емкость орошения и ректификационные колонны объемом 195 м3, давлением 17 кг/см2. В колонне – 15 % жидкой фракции.
Расчетная температура воздуха tр – 34 °C – абсолютная максимальная температура воздуха (для района г. Сургута) согласно таблице 2 СНиП 23-01-99* [6].
1.2 Характеристика веществ и материалов, обращающихся (находящихся) в наружной остановке, по справочным данным (приложение Г).
Пропан C3H8: горючий газ (ГГ).
Бутан C4H10: горючий газ (ГГ).
2 Расчет критериев пожарной опасности
2.1 Определение необходимого условия.
В наружной установке обращается горючий газ, способный образовывать взрывоопасную газовоздушную смесь, что соответствует необходимому условию отнесения наружной установки к категории Ан.
За расчетный вариант принимается аварийная разгерметизация ректификационной колонны, приводящая к выбросу горючей среды (ГГ) в окружающее пространство с возможностью возникновения пожара. Расчет проводится по наиболее взрывоопасному компоненту – пропану.
2.2 Определение достаточных условий отнесения к категории Ан.
а) Рассчитывается горизонтальный размер зоны, ограничивающей область концентраций, превышающих нижний концентрационный предел распространения пламени, м:
,
где rг – плотность газа при расчетной температуре, кг/м3:
кг/м3;
m– масса горючих газов, поступивших в результате аварии в окружающее пространство, кг:
m= Vав · rг,
где Vав – объем газа, выделившегося в результате расчетной аварии, м3:
Vав = Vа,
где Vа – объем газа, вышедшего из аппарата, м3:
Vа = 0,01 · P · V = 0,01 · 1667,1 · 165,75 = 2763,2 м3,
m= 2763,2 · 1,75 = 4835,6 кг,
м.
б) Рассчитывается избыточное давление DP, кПа, развиваемое при сгорании газовоздушной смеси:
,
,
кг,
кПа.
3 Определение категории наружной установки
Результаты расчетов критериев взрывопожарной опасности показывают, что при расчетном варианте аварии достигаются необходимые и достаточные условия (горизонтальный размер зоны, ограничивающей газовоздушные смеси с концентрацией горючего выше НКПР, превышает 30 м и расчетное избыточное давление при сгорании газовоздушной смеси на расстоянии 30 м от наружной установки превышает 5 кПа), что позволяет отнести данную наружную установку к категории Ан.
Б.41 Расчет критериев пожарной опасности и определение категории АВО изопентана и ПБФ
1 Исходные данные
1.1 Характеристика наружной установки.
АВО предназначены для охлаждения изопентана и пропан-бутановой фракции (ПБФ). Объем секции АВО – 1,2 м3, производительностью 220 м3/ч (0,06 м3/с) по ПБФ и 130 м3/ч (0,036 м3/с) по изопентану. Трубопровод диаметром 100 мм, длиной 4 м. Обваловка площадью 432 м2.
Расчетная температура воздуха tр = 34 °C – абсолютная максимальная температура воздуха (для района г. Сургута) согласно таблице 2 СНиП 23-01-99* [6].
Отключение ручное, расчетное время отключения принимается согласно НПБ 105-03 [1] равным 300 с.
1.2 Характеристика веществ и материалов, обращающихся (находящихся) в наружной установке, по справочным данным (приложение Г).
Сжиженный газ (по пропану C3H8): горючий газ (ГГ).
Сжиженный газ (по бутану C4H10): горючий газ (ГГ).
Изопентан (C5H12): легковоспламеняющаяся жидкость (ЛВЖ).
2 Расчет критериев пожарной опасности
2.1 Определение необходимого условия.
В наружной установке обращается горючий газ, способный образовывать взрывоопасную газовоздушную смесь, что соответствует необходимому условию отнесения наружной установки к категории Ан.
За расчетный вариант принимается аварийный разрыв трубопровода АВО, приводящий к выбросу горючей среды (СУГ) в окружающее пространство с возможностью возникновения пожара. Расчет проводится по наиболее взрывоопасному компоненту – пропану.
2.2 Определение достаточных условий отнесения наружной установки к категории Ан.
а) Рассчитывается горизонтальный размер зоны, ограничивающей область концентраций, превышающих нижний концентрационный предел распространения пламени, м:
,
где m– масса горючих газов, поступивших в результате аварии в окружающее пространство, кг:
m = mсуг,
где mсуг- масса испарившегося СУГ из пролива, кг.
Определяется объем поступившего СУГ в результате аварийной ситуации:
Vав = Vап + q · T = 1,2 + 0,06 · 300 = 19,2 м3.
Объем газа с 1 л СУГ составляет 0,
,
| где M | – молярная масса СУГ, кг/моль; |
| Lисп | – мольная теплота испарения СУГ при начальной температуре СУГ Тж, Дж/моль, для пропана Lисп = 18769,1 Дж/моль; |
| T0 | – начальная температура материала, на который разливается СУГ, К |
| Tж | – начальная температура СУГ, К; |
| lтв | – коэффициент теплопроводности материала, на поверхность которого разливается СУГ, Вт/(м·К), для бетона lтв = 1,51 Вт/(м·К); |
| a |
|
|
| |
| Cтв | – теплоемкость материала, на поверхность которого разливается СУГ, Дж/(кг·К), для бетона Cтв = 840 Дж/(кг·К); |
| rтв | – плотность материала, на поверхность которого разливается СУГ, кг/м3, для бетона rтв = 2400 кг/м3; |
| t | – текущее время, с, принимаемое равным времени полного испарения СУГ, но не более 3600 с; |
| Re |
|
| U | – скорость воздушного потока, м/с; |
| d |
|
| vв | – кинематическая вязкость воздуха, м2/с; vв = 14,9 · 10-6 м2/с; |
| lв | – коэффициент теплопроводности воздуха, Вт/(м · К), lв = 0,024276 Вт/(м·К). |
м2/с.
Согласно п. 38 НПБ 105-03 [1] 1 л смесей и растворов, содержащих 70 % и менее растворителей, разливается на площадь 0,1 м2, следовательно, площадь разлива 19,2 м3 пропана составляет 1920 м2, что превышает площадь обваловки (432 м2), поэтому она принимается за площадь разлива.
м;
;
кг;
rг – плотность газа при расчетной температуре, кг/м3:
кг/м3.
Объем газа с 1 л сжиженного пропана составляет 0,269 м3, следовательно, с 19,2 м3 сжиженного пропана объем газа составит 5164,8 м3. С учетом плотности газа масса пропана составит:
m= V · r = 5164,8 · 1,7 = 8780,2 кг.
Так как рассчитанная по формуле масса испарившегося СУГ превышает массу поступившего газообразного пропана, в дальнейших расчетах учитывается масса фактически выделившегося пропана:
м.
б) Рассчитывается избыточное давление DP, кПа, развиваемое при сгорании газовоздушной смеси:
,
,
кг,
кПа.
3 Определение категории наружной установки
Результаты расчетов критериев взрывопожарной опасности показывают, что при расчетном варианте аварии достигаются необходимые и достаточные условия (горизонтальный размер зоны, ограничивающей газовоздушные смеси с концентрацией горючего выше НКПР, превышает 30 м и расчетное избыточное давление при сгорании газовоздушной смеси на расстоянии 30 м от наружной установки превышает 5 кПа), что позволяет отнести данную наружную установку к категории Ан.
Б.42 Расчет критериев пожарной опасности и определение категории аппаратного двора секции гидроочистки КФ установки гидроочистки керосина и дизельного топлива
1 Исходные данные
1.1 Характеристика наружной установки.
Аппаратный двор секции гидроочистки керосиновой фракции (КФ) в составе: емкости, теплообменники, сепаратор бензина, сепаратор топливного газа, колонна стабилизации, подогреватель топливного газа, холодильники, насосы, сепаратор гидроочистки низкого давления, сепаратор гидроочистки высокого давления объемом 32 м3, давлением 37 кг/см2, производительностью 50 тыс. м3/ч (13,8 м3/с), трубопровод диаметром 300 мм, длиной 40 м, содержащий КФ и водородосодержащий газ (70 % об.).
Расчетная температура воздуха tр = 34 °C – абсолютная максимальная температура воздуха (для района г. Сургута) согласно таблице 2 СНиП 23-01-99* [6].
Отключение ручное, расчетное время отключения принимается согласно НПБ 105-03 [1] равным 300 с.
1.2 Характеристика веществ и материалов, обращающихся (находящихся) в наружной установке, по справочным данным (приложение Г).
Водородосодержащий газ (по водороду H2), природный газ (по метану CH4), пропан (C3H8) горючие газы (ГГ).
Бензин, дизельное топливо «зимнее», керосин: легковоспламеняющиеся жидкости (ЛВЖ).
2 Расчет критериев пожарной опасности
2.1 Определение необходимого условия.
В наружной установке обращается горючий газ, способный образовывать взрывоопасную газовоздушную смесь, что соответствует необходимому условию отнесения наружной установки к категории Ан.
За расчетный вариант принимается аварийная разгерметизация сепаратора высокого давления, приводящая к выбросу горючей среды ГГ (водород) и ЛВЖ (керосин) в окружающее пространство с возможностью возникновения пожара. Расчет производится на наиболее взрывоопасное вещество – водород.
2.2 Определение достаточных условий отнесения к категории Ан.
а) Рассчитывается горизонтальный размер зоны, ограничивающей область концентраций, превышающих нижний концентрационный предел распространения пламени, м:
,
где
кг/м3;
m– масса горючих газов, поступивших в результате аварии в окружающее пространство, кг:
m = Vав · rг,
где Vав – объем газа, выделившегося в результате расчетной аварии, м3:
Vав = Vа +Vт,
где Vа- объем газа, вышедшего из аппарата, м3:
Vа = 0,01 · P · V= 0,01 · 3628,5 · (32 · 0,7) = 812,8 м3;
Vт – объем газа, вышедшего из трубопровода, м3:
Vт = V1т + V2т,
где V1т – объем газа, вышедшего из трубопровода до его отключения, м3:
V1т = q · T = 13,8 · 300 = 4140 м3;
V2т – объем газа, вышедшего из трубопровода после его отключения, м3:
V2т = 0,01 · p · P · (r2 · L) = 0,01 · 3,14 · 3628,5 · (0,152 · 40) = 102,5 м3,
Vт = 4140 + 102,5 = 4242,5 м3,
Vав = 812,8 + 4242,5 = 5055,3 м3,
m = 5055,3 · 0,08 = 404,4 кг,
м.
б) Рассчитывается избыточное давление DP, кПа, развиваемое при сгорании газовоздушной смеси:
,
,
кг,
кПа.
3 Определение категории наружной установки
Результаты расчетов критериев взрывопожарной опасности показывают, что при расчетном варианте аварии достигаются необходимые и достаточные условия (горизонтальный размер зоны, ограничивающей газовоздушные смеси с концентрацией горючего выше НКПР, превышает 30 м и расчетное избыточное давление при сгорании газовоздушной смеси на расстоянии 30 м от наружной установки превышает 5 кПа), что позволяет отнести данную наружную установку к категории Ан.
Б.43 Расчет критериев пожарной опасности и определение категории аппаратного двора секции гидроочистки и депарафинизации установки гидроочистки керосина и дизельного топлива
1 Исходные данные
1.1 Характеристика наружной установки.
Аппаратный двор секции гидроочистки и депарафинизации в составе: емкости, сепаратор продуктовый холодный, теплообменники, колонна отдува сероводорода из бензина, колонна стабилизации ДТ, сепаратор бензина, холодильники, сепаратор продуктовый горячий объемом 40 м3 (содержание газа 70 % объема, остальное – кубовая жидкость), производительностью 50 тыс. м3/ч (13,9 м3/с), давлением 38 кг/см2, диаметр трубопровода – 300 мм, длина – 50 м.
Расчетная температура воздуха tр = 34 °C – абсолютная максимальная температура воздуха (для района г. Сургута) согласно таблице 2 СНиП 23-01-99* [6].
Отключение ручное, расчетное время отключения согласно НПБ 105-03 [1] принимается равным 300 с.
1.2 Характеристика веществ и материалов, обращающихся (находящихся) в наружной установке, по справочным данным (приложение Г).
Водородосодержащий газ (по водороду H2). природный газ (по метану CH4): горючие газы (ГГ).
Бензин, дизельное топливо «зимнее», керосин: легковоспламеняющиеся жидкости (ЛВЖ).
2 Расчет критериев пожарной опасности
2.1 Определение необходимого условия.
В наружной установке обращается горючий газ, способный образовывать взрывоопасную газовоздушную смесь, что соответствует необходимому условию отнесения наружной установки к категории Ан.
За расчетный вариант принимается аварийная разгерметизация сепаратора горячего продуктового, приводящая к выбросу горючей среды ГГ (водород) и ЛВЖ (керосин, бензин) в окружающее пространство с возможностью возникновения пожара. Расчет производится на наиболее взрывоопасное вещество – водород.
2.2 Определение достаточных условий отнесения к категории Ан.
а) Рассчитывается горизонтальный размер зоны, ограничивающей область концентраций, превышающих нижний концентрационный предел распространения пламени, м:
,
где rг – плотность газа при расчетной температуре, кг/м3:
кг/м3;
m– масса горючих газов, поступивших в результате аварии в окружающее пространство, кг:
m= Vав · rг,
где Vав – объем газа, выделившегося в результате расчетной аварии, м3:
Vав = Vа + Vт,
где Vа – объем газа, вышедшего из аппарата, м3:
Vа = 0,01 · P · V = 0,01 · 3726,5 · (40 · 0,7) = 1043,4 м3;
Vт – объем газа, вышедшего из трубопровода, м3:
Vт = V1т + V2т,
где V1т – объем газа, вышедшего из трубопровода до его отключения, м3:
V1т = q · T = 13,9 · 300 = 4170 м3;
V2т – объем газа, вышедшего из трубопровода после его отключения, м3:
V2т = 0,01 · p · P · (r2 · L) = 0,01 · 3,14 · 3726,5 · (0,152 · 50) = 131,6 м3,
Vт = 4170 + 131,6 = 4301,6 м3,
Vав = 1043,4 + 4301,6 = 5345 м3,
m = 5345 · 0,08 = 427,6 кг,
м.
б) Рассчитывается избыточное давление DP, кПа, развиваемое при сгорании газовоздушной смеси:
,
,
кг,
кПа.
3 Определение категории наружной установки
Результаты расчетов критериев взрывопожарной опасности показывают, что при расчетном варианте аварии достигаются необходимые и достаточные условия (горизонтальный размер зоны, ограничивающей газовоздушные смеси с концентрацией горючего выше НКПР, превышает 30 м и расчетное избыточное давление при сгорании газовоздушной смеси на расстоянии 30 м от наружной установки превышает 5 кПа), что позволяет отнести данную наружную установку к категории Ан.
Б.44 Расчет критериев пожарной опасности и определение категории реакторных блоков установки гидроочистки керосина и дизельного топлива
1 Исходные данные
1.1 Характеристика наружной установки.
Реакторные блоки, размещенные на одной площадке, в составе: печь реакторного блока, печь гидроочистки керосина, реактор гидроочистки керосиновой фракции объемом 31 м3, реактор депарафинизации дизельной фракции объемом 43 м3 и два реактора гидроочистки дизельной фракции объемом 43 м3. Содержание газа в реакторах 85 % объема, остальное – кубовая жидкость. Производительность реакторов – 50 тыс. м3/ч (13,9 м3/с), давление – 45 кг/см2. Все реакторы соединены между собой трубопроводом без запорной арматуры диаметром 300 мм, общей длиной 115 м (расчет производится на общий объем).
Расчетная температура воздуха tр = 34 °C – абсолютная максимальная температура воздуха (для района г. Сургута) согласно таблице 2 СНиП 23-01-99* [6].
Отключение ручное, расчетное время отключения принимается согласно НПБ 105-03 [1] равным 300 с.
1.2 Характеристика веществ и материалов, обращающихся (находящихся) в наружной установке, по справочным данным (приложение Г).
Водородосодержащий газ (по водороду H2): горючий газ (ГГ).
Дизельное топливо «зимнее», керосин: легковоспламеняющиеся жидкости (ЛВЖ).
2 Расчет критериев пожарной опасности
2.1 Определение необходимого условия.
В наружной установке обращается горючий газ, способный образовывать взрывоопасную газовоздушную смесь, что соответствует необходимому условию отнесения наружной установки к категории Ан.
За расчетный вариант принимается аварийная разгерметизация реактора, приводящая к выбросу горючей среды ГГ (водород) и ЛВЖ (дизтопливо) в окружающее пространство с возможностью возникновения пожара. Расчет производится на наиболее взрывоопасное вещество – водород.
2.2 Определение достаточных условий отнесения к категории Ан.
а) Рассчитывается горизонтальный размер зоны, ограничивающей область концентраций, превышающих нижний концентрационный предел распространения пламени, м:
,
где rг – плотность газа при расчетной температуре, кг/м3:
кг/м3;
m– масса горючих газов, поступивших в результате аварии в окружающее пространство, кг:
m = Vав · rг,
где Vав – объем газа, выделившегося в результате расчетной аварии, м3:
Vав = Vа + Vт,
где Vа – объем газа, вышедшего из аппарата, м3:
Vа = Vа1 + Vа2 + Vа3 + Vа4,
где Vа1 – объем реактора гидроочистки керосиновой фракции, м3:
Vа1 = 0,01 · P · V= 0,01 · 4413 · 26 = 1147,4 м3;
Vа2 – объем реактора депарафинизации дизельной фракции, м3:
Vа2 = 0,01 · 4413 · 36,55 = 1613 м3;
Vа3 – объем реактора гидроочистки дизельной фракции, м3:
Vа3 = 0,01 · 4413 · 36,55= 1613 м3,
Vа4 – объем реактора гидроочистки дизельной фракции, м3:
Vа4 = 0,01 · 4413 · 36,55 = 1613 м3,
Vа = 1147,4 + 1613 + 1613 + 1613 = 5986,4 м3;
Vт – объем газа, вышедшего из трубопровода, м3:
Vт = V1т + V2т,
где V1т – объем газа, вышедшего из трубопровода до его отключения, м3:
V1т = q · T= 13,9 · 300 = 4170 м3;
V2т – объем газа, вышедшего из трубопровода после его отключения, м3:
V2т = 0,01 · p · P· (r2 · L) = 0,01 · 3,14 · 4413 · (0,152 · 115) = 358,5 м3,
Vт = 4170 + 358,5 = 4528,5 м3,
Vав = 5986,4 + 4528,5 = 10515 м3,
m= 10515 · 0,08 = 841,2 кг,
м.
б) Рассчитывается избыточное давление DP, кПа, развиваемое при сгорании газовоздушной смеси:
,
,
кг,
кПа.
3 Определение категории наружной установки
Результаты расчетов критериев взрывопожарной опасности показывают, что при расчетном варианте аварии достигаются необходимые и достаточные условия (горизонтальный размер зоны, ограничивающей газовоздушные смеси с концентрацией горючего выше НКПР, превышает 30 м и расчетное избыточное давление при сгорании газовоздушной смеси на расстоянии 30 м от наружной установки превышает 5 кПа), что позволяет отнести данную наружную установку к категории Ан.
Б.45 Расчет критериев пожарной опасности и определение категории сырьевых теплообменников секции каталитического риформингаБФ установки гидроочистки керосина и дизельного топлива
1 Исходные данные
1.1 Характеристика наружной установки:
Теплообменники предназначены для нагрева сырья риформинга объемом 2,8 м3, производительностью 250 тыс. м3/ч (69,4 м3/с) (по водородосодержащему газу), давлением 31 кг/см2 с трубопроводами: входящим – диаметром 400 мм, длиной 100 м и выходящим – диаметром 400 мм, длиной 100 м.
Расчетная температура воздуха tр = 34 °C – абсолютная максимальная температура воздуха (для района г. Сургута) согласно таблице 2 СНиП 23-01-99* [6].
Отключение автоматическое без резервирования, расчетное время отключения принимается согласно НПБ 105-03 [1] равным 120 с.
1.2 Характеристика веществ и материалов, обращающихся (находящихся) в наружной установке, по справочным данным (приложение Г).
Водородосодержащий газ (по водороду H2): горючий газ (ГГ).
Бензин: легковоспламеняющаяся жидкость (ЛВЖ).
2 Расчет критериев пожарной опасности
2.1 Определение необходимого условия.
В наружной установке обращается горючий газ, способный образовывать взрывоопасную газовоздушную смесь, что соответствует необходимому условию отнесения наружной установки к категории Ан.
За расчетный вариант принимается аварийная разгерметизация реактора, приводящая к выбросу горючей среды ГГ (водород) и ЛВЖ (бензин) в окружающее пространство с возможностью возникновения пожара. Расчет производится на наиболее взрывоопасное вещество – водород.
2.2 Определение достаточных условий отнесения установки к категории Ан.
а) Рассчитывается горизонтальный размер зоны, ограничивающий область концентраций, превышающих нижний концентрационный предел распространения пламени, м:
,
где m– масса горючих газов, поступивших в результате аварии в окружающее пространство, кг:
m = Vав · rг,
где Vав – объем газа, выделившегося в результате расчетной аварии, м3:
Vав = Vа + Vт,
где Vа – объем газа, вышедшего из аппарата, м3:
Vа = 0,01 · P · V= 0,01 · 3040,1 · 2,8 = 85,1 м3;
Vт – объем газа, вышедшего из трубопровода, м3:
Vт = V1т + V2т,
где V1т – объем газа, вышедшего из трубопровода до его отключения, м3:
V1т = q · T= 69,4 · 120 = 8328 м3;
V2т – объем газа, вышедшего из трубопровода после его отключения, м3:
V2т = 0,01 · p · P · (r12 · L1 + r22 · L2) = 0,01 · 3,14 · 3040,1 · (0,22 · 100 + 0,22 · 100) = 763,7 м3,
Vт = 8328 + 763,7 = 9091,7 м3,
Vав = 85,1 + 9091,7 = 9176,8 м3;
rг – плотность газа при расчетной температуре, кг/м3:
кг/м3,
m= 9176,7 · 0,08 = 734 кг,
cм.
б) Величина избыточного давления DP, кПа, развиваемого при сгорании газовоздушной смеси, определяется по формуле
,
,
кг,
кПа.
3 Определение категории наружной установки
Результаты расчетов критериев взрывопожарной опасности показывают, что при расчетном варианте аварии достигаются необходимые и достаточные условия (горизонтальный размер зоны, ограничивающей газовоздушные смеси с концентрацией горючего выше НКПР, превышает 30 м и расчетное избыточное давление при сгорании газовоздушной смеси на расстоянии 30 м от наружной установки превышает 5 кПа), что позволяет отнести данную наружную установку к категории Ан.
Б.46 Расчет критериев пожарной опасности и определение категории аппаратного двора секции каталитического риформинга БФ и ДТ установки каталитического риформинга
1 Исходные данные
1.1 Характеристика наружной установки.
Аппаратный двор, предназначенный для каталитического риформинга бензиновой фракции (БФ) и дизельного топлива (ДТ), состоит из емкости содового раствора, емкости охлаждающей жидкости теплообменника, емкости орошения, стабилизационной колонны, факельной емкости, холодильника объемом 1,2 м3, производительностью по ВСГ 250 тыс. м3/ч (69,4 м3/с), давлением 25 кг/см2 с трубопроводом диаметром 150 мм, длиной 16 м (содержание ВСГ – 90 %, бензиновой фракции – 10 %).
Расчетная температура воздуха tр = 34 °C – абсолютная максимальная температура воздуха (для района г. Сургута) согласно таблице 2 СНиП 23-01-99* [6].
Отключение автоматическое без резервирования, расчетное время отключения принимается согласно НПБ 105-03 [1] равным 120 с.
1.2 Характеристика веществ и материалов, обращающихся (находящихся) в наружной установке, по справочным данным (приложение Г).
Водородосодержащий газ (по водороду H2), пропан C3H8: горючие газы (ГГ).
Бензин: легковоспламеняющаяся жидкость (ЛВЖ).
2 Определение категории наружной установки
2.1 Определение необходимого условия.
В наружной установке обращается горючий газ, способный образовывать взрывоопасную газовоздушную смесь, что соответствует необходимому условию отнесения наружной установки к категории Ан.
За расчетный вариант принимается аварийная разгерметизация холодильника, приводящая к выбросу горючей среды (ГГ – водородосодержащий газ и ЛВЖ – бензин) в окружающее пространство с возможностью возникновения пожара. Расчет проводится на наиболее взрывопожароопасное вещество – водород.
2.2 Определение достаточных условий отнесения к категории Ан.
а) Рассчитывается горизонтальный размер зоны, ограничивающей область концентраций, превышающих нижний концентрационный предел распространения пламени, м:
,
где
кг/м3;
m– масса горючих газов, поступивших в результате аварии в окружающее пространство, кг:
m = Vав · rг,
где Vав – объем газа, выделившегося в результате расчетной аварии, м3:
Vав = Vа + Vт,
где Vа – объем газа, вышедшего из аппарата, м3:
Vа = 0,01 · P · V = 0,01 · 2451,7 · 1,2 = 29,4 м3;
Vт – объем газа, вышедшего из трубопровода, м3:
Vт = V1т + V2т,
где V1т – объем газа, вышедшего из трубопровода до его отключения, м3:
V1т = q · T = 69,4 · 120 = 8328 м3;
V2т – объем газа, вышедшего из трубопровода после его отключения, м3:
V2т= 0,01 · p · P · (r2 · L) = 0,01 · 3,14 · 2451,7 · (0,0752 · 16) = 6,9 м3,
Vт = 8328 + 6,9 = 8334,9 м3,
Vав = 29,4 + 8334,9 = 8364,3 м3,
m = 8364,3 · 0,08 = 669 кг,
м.
б) Рассчитывается избыточное давление DP, кПа, развиваемое при сгорании газовоздушной смеси:
,
,
кг,
кПа.
3 Определение категории наружной установки
Результаты расчетов критериев взрывопожарной опасности показывают, что при расчетном варианте аварии достигаются необходимые и достаточные условия (горизонтальный размер зоны, ограничивающей газовоздушные смеси с концентрацией горючего выше НКПР, превышает 30 м и расчетное избыточное давление при сгорании газовоздушной смеси на расстоянии 30 м от наружной установки превышает 5 кПа), что позволяет отнести данную наружную установку к категории Ан.
Б.47 Расчет критериев пожарной опасности и определение категории холодильников секции каталитического риформинга БФ установки гидроочистки керосина и дизельного топлива
1 Исходные данные
1.1 Характеристика наружной установки.
Холодильники предназначены для охлаждения продуктов аппаратного двора и состоят из холодильника охлаждающей жидкости, теплообменника, теплообменников верхнего продукта колонны и холодильников верхнего продукта колонны объемом 1 м3, производительностью 40 м3/ч (по СУГ) и 1500 м3/ч (0,4 м3/с) (по углеводородному газу), давлением 12 кг/см2, трубопровода диаметром 150 мм, длиной 2 м.
Расчетная температура воздуха tр = 34 °C – абсолютная максимальная температура воздуха (для района г. Сургута) согласно таблице 2 СНиП 23-01-99* [6].
Отключение автоматическое, без резервирования, расчетное время отключения принимается согласно НПБ 105-03 [1] равным 120 с.
1.2 Характеристика веществ и материалов, обращающихся (находящихся) в наружной установке, по справочным данным (приложение Г).
Пропан C3H8: горючий газ (ГГ).
2 Расчет критериев пожарной опасности
2.1 Определение необходимого условия.
В наружной установке обращается горючий газ, способный образовывать взрывоопасную газовоздушную смесь, что соответствует необходимому условию отнесения наружной установки к категории Ан.
За расчетный вариант принимается аварийная разгерметизация холодильника, приводящая к выбросу горючей среды (ГГ-пропана) в окружающее пространство с возможностью возникновения пожара.
2.2 Определение достаточных условий отнесения к категории Ан.
а) Рассчитывается горизонтальный размер зоны, ограничивающей область концентраций, превышающих нижний концентрационный предел распространения пламени, м:
,
где rг – плотность газа при расчетной температуре, кг/м3:
кг/м3;
m – масса горючих газов, поступивших в результате аварии в окружающее пространство, кг:
m = Vав · rг,
где Vав – объем газа, выделившегося в результате расчетной аварии, м3:
Vав = Vа +Vт,
где Vа – объем газа, вышедшего из аппарата, м3:
Vа = 0,01 · P · V= 0,01 · 1176,8 · 1 = 11,8 м3;
Vт – объем газа, вышедшего из трубопровода, м3:
Vт = V1т + V2т,
где V1т – объем газа, вышедшего из трубопровода до его отключения, м3:
V1т = q · T= 0,4 · 120 = 48 м3;
V2т – объем газа, вышедшего из трубопровода после его отключения, м3:
V2т = 0,01 · p · P · (r2 · L) = 0,01 · 3,14 · 1176,8 · (0,0752 · 2) = 0,4 м3,
Vт = 48 + 0,4 = 48,4 м3,
Vав = 11,8 + 48,4 = 60,2 м3,
m= 60,2 · 1,7 = 102,3 кг,
м.
б) Рассчитывается избыточное давление DP, кПа, развиваемое при сгорании газовоздушной смеси:
,
,
кг,
кПа.
3 Определение категории наружной установки
Результаты расчетов критериев взрывопожарной опасности показывают, что при расчетном варианте аварии достигаются необходимые и достаточные условия, позволяющие отнести данную наружную установку к категории Ан.
Б.48 Расчет критериев пожарной опасности и определение категории аппаратного двора секции предварительной гидроочистки БФ установки каталитического риформинга
1 Исходные данные
1.1 Характеристика наружной установки.
Аппаратный двор, предназначенный для предварительной гидроочистки бензиновой фракции (БФ), состоит из холодильника продуктов гидроочистки, сырьевого фильтра, сырьевой емкости и сепаратора гидроочистки объемом 40 м3, производительностью 38 тыс. м3/ч (10,6 м3/с) (по водородосодержащему газу) давлением 25 кг/см2, с трубопроводами: входящим – диаметром 250 мм, длиной 100 м, выходящим – диаметром 200 мм, длиной 30 м (содержание ВСГ в сепараторе – 70 %, бензиновой фракции – 30 %).
Расчетная температура воздуха tр = 34 °C – абсолютная максимальная температура воздуха (для района г. Сургута) согласно таблице 2 СНиП 23-01-99* [6].
Отключение автоматическое без резервирования, расчетное время отключения принимается согласно НПБ 105-03 [1] равным 120 с.
1.2 Характеристика веществ и материалов, обращающихся (находящихся) в наружной установке, по справочным данным (приложение Г).
Водородосодержащий газ (по водороду H2): горючий газ (ГГ).
Бензин: легковоспламеняющаяся жидкость (ЛВЖ).
2 Расчет критериев пожарной опасности
2.1 Определение необходимого условия.
В наружной установке обращается горючий газ, способный образовывать взрывоопасную газовоздушную смесь, что соответствует необходимому условию отнесения наружной установки к категории Ан.
За расчетный вариант принимается аварийная разгерметизация сепаратора, приводящая к выбросу горючей среды (ГГ – ВСГ и ЛВЖ – бензин) в окружающее пространство с возможностью возникновения пожара. Расчет производится на наиболее взрывоопасное вещество – водород.
2.2 Определение достаточных условий отнесения к категории Ан.
а) Рассчитывается горизонтальный размер зоны, ограничивающей область концентраций, превышающих нижний концентрационный предел распространения пламени, м:
,
где rг – плотность газа при расчетной температуре, кг/м3:
кг/м3;
m– масса горючих газов, поступивших в результате аварии в окружающее пространство, кг:
m = Vав · rг,
где Vав – объем газа, выделившегося в результате расчетной аварии, м3:
Vав = Vа + Vт,
где Vа – объем газа, вышедшего из аппарата, м3:
Vа = 0,01 · P · V = 0,01 · 2451,7 · 40 · 0,7 = 686,5 м3;
Vт- объем газа, вышедшего из трубопровода, м3:
Vт = V1т + V2т,
где V1т – объем газа, вышедшего из трубопровода до его отключения, м3:
V1т = q · T= 10,6 · 120 = 1272 м3;
V2т – объем газа, вышедшего из трубопровода после его отключения, м3:
V2т = 0,01 · p · P · (r12 · L1 + r22 · L2),
V2т = 0,01 · 3,14 · 2451,7 · (0,1252 · 100 + 0,12 · 30) = 143,2 м3,
Vт = 1272 + 143,2 = 1415,2 м3,
Vав = 686,5 + 1415,2 = 2101,7 м3,
m = 2101,7 · 0,08 = 168 кг,
м.
б) Рассчитывается избыточное давление DP, кПа, развиваемое при сгорании газовоздушной смеси:
,
,
кг,
кПа.
3 Определение категории наружной установки
Результаты расчетов критериев взрывопожарной опасности показывают, что при расчетном варианте аварии достигаются необходимые и достаточные условия (горизонтальный размер зоны, ограничивающей газовоздушные смеси с концентрацией горючего выше НКПР, превышает 30 м и расчетное избыточное давление при сгорании газовоздушной смеси на расстоянии 30 м от наружной установки превышает 5 кПа), что позволяет отнести данную наружную установку к категории Ан.
Б.49 Расчет критериев пожарной опасности и определение категории блока отпарки секции предварительной гидроочистки БФ установки каталитического риформинга
1 Исходные данные
1.1 Характеристика наружной установки.
Блок отпарки в составе: теплообменника подогрева сырья колонны, холодильника стабильного гидрогенизата и отпарной колонны объемом 186 м3, производительностью 1500 м3/ч (0,4 м3/с) (по углеводородному газу), давлением 9,5 кг/см2 с трубопроводом диаметром 150 мм, длиной 1 м (содержание кубовой жидкости в колонне – 30 %).
Расчетная температура воздуха tр = 34 °C – абсолютная максимальная температура воздуха (для района г. Сургута) согласно таблице 2 СНиП 23-01-99* [6].
Отключение автоматическое без резервирования, расчетное время отключения принимается согласно НПБ 105-03 [1] равным 120 с.
1.2 Характеристика веществ и материалов, обращающихся (находящихся) в наружной установке, по справочным данным (приложение Г).
Пропан C3H8: горючий газ (ГГ).
Бензин: легковоспламеняющаяся жидкость (ЛВЖ).
2 Расчет критериев пожарной опасности
2.1 Определение необходимого условия.
В наружной установке обращается горючий газ, способный образовывать взрывоопасную газовоздушную смесь, что соответствует необходимому условию отнесения наружной установки к категории Ан.
За расчетный вариант принимается аварийная разгерметизация отпарной колонны, приводящая к выбросу горючей среды (ГГ – пропан и ЛВЖ – бензин) в окружающее пространство с возможностью возникновения пожара. Расчет производится на наиболее взрывоопасное вещество – пропан.
2.2 Определение достаточных условий отнесения к категории Ан.
а) Рассчитывается горизонтальный размер зоны, ограничивающей область концентраций, превышающих нижний концентрационный предел распространения пламени, м:
,
где rг – плотность газа при расчетной температуре, кг/м3:
кг/м3;
m– масса горючих газов, поступивших в результате аварии в окружающее пространство, кг:
m = Vав · rг,
где Vав – объем газа, выделившегося в результате расчетной аварии, м3:
Vав = Vа + Vт;
где Vа – объем газа, вышедшего из аппарата, м3:
Vа = 0,01 · P · V = 0,01 · 931,6 · 186 · 0,7 = 1212,9 м3;
Vт – объем газа, вышедшего из трубопровода, м3;
Vт = V1т + V2т,
где V1т – объем газа, вышедшего из трубопровода до его отключения, м3:
V1т = q · T= 0,4 · 120 = 48 м3;
V2т – объем газа, вышедшего из трубопровода после его отключения, м3:
V2т = 0,01 · p · P · (r2 · L) = 0,01 · 3,14 · 931,6 · (0,0752 · 1) = 0,16 м3,
Vт = 48 + 0,16 = 48,16 м3,
Vав = 1212,9 + 48,16 = 1261 м3,
m = 1261 · 1,7 = 2143,7 кг,
м.
б) Рассчитывается избыточное давление DP, кПа, развиваемое при сгорании газовоздушной смеси:
,
,
кг,
кПа.
3 Определение категории наружной установки
Результаты расчетов критериев взрывопожарной опасности показывают, что при расчетном варианте аварии достигаются необходимые и достаточные условия (горизонтальный размер зоны, ограничивающей газовоздушные смеси с концентрацией горючего выше НКПР, превышает 30 м и расчетное избыточное давление при сгорании газовоздушной смеси на расстоянии 30 м от наружной установки превышает 5 кПа), что позволяет отнести данную наружную установку к категории Ан.
Б.50 Расчет критериев пожарной опасности и определение категории реакторных блоков секции каталитического риформинга БФ
1 Исходные данные
1.1 Характеристика наружной установки.
Реакторные блоки, размещенные на одной площадке, в составе: печи подогрева газосырьевой смеси, реакторы секции каталитического риформинга объемом 19 м3. Содержание газа в реакторах 85 % объема, остальное – кубовая жидкость. Производительность реакторов – 250 тыс. м3/ч (69,4 м3/с), давление – 30 кг/см2. Все реакторы соединены между собой трубопроводом без запорной арматуры диаметром 400 мм, общей длиной 150 м (расчет производится на общий объем).
Расчетная температура воздуха tр = 34 °C – абсолютная максимальная температура воздуха (для района г. Сургута) согласно таблице 2 СНиП 23-01-99* [6].
Отключение автоматическое без резервирования, расчетное время отключения принимается согласно НПБ 105-03 [1] равным 120 с.
1.2 Характеристика веществ и материалов, обращающихся (находящихся) в наружной установке, по справочным данным (приложение Г).
Водородосодержащий газ (по водороду H2): горючий газ (ГГ).
Бензин: легковоспламеняющаяся жидкость (ЛВЖ).
2 Расчет критериев пожарной опасности
2.1 Определение необходимого условия.
В наружной установке обращается горючий газ, способный образовывать взрывоопасную газовоздушную смесь, что соответствует необходимому условию отнесения наружной установки к категории Ан.
За расчетный вариант принимается аварийная разгерметизация реактора, приводящая к выбросу горючей среды (ГГ – водород и ЛВЖ – бензин) в окружающее пространство с возможностью возникновения пожара. Расчет производится на наиболее взрывоопасное вещество – водород.
2.2 Определение достаточных условий отнесения к категории Ан.
а) Рассчитывается горизонтальный размер зоны, ограничивающей область концентраций, превышающих нижний концентрационный предел распространения пламени, м:
,
где rг – плотность газа при расчетной температуре, кг/м3:
кг/м3;
m– масса горючих газов, поступивших в результате аварии в окружающее пространство, кг:
m = Vав · rг,
где Vав – объем газа, выделившегося в результате расчетной аварии, м3:
Vав = Vа + Vт,
где Vа – объем газа, вышедшего из аппарата, м3:
Vа = 0,85 · (0,01 · P · V) = 0,85 · (0,01 · 2942 · 19) = 475,1 м3;
Vт – объем газа, вышедшего из трубопровода, м3:
Vт = V1т + V2т,
где V1т- объем газа, вышедшего из трубопровода до его отключения, м3:
V1т = q · T = 69,4 · 120 = 8328 м3;
V2т – объем газа, вышедшего из трубопровода после его отключения, м3:
V2т= 0,01 · p · P · (r2 · L) = 0,01 · 3,14 · 2942 · (0,22 · 150) = 554,3 м3,
Vт = 8328 + 554,3 = 8882,3 м3,
Vав = 475,1 + 8882,3 = 9357,4 м3,
m= 9357,4 · 0,08 = 748,6 кг,
м.
б) Рассчитывается избыточное давление DP, кПа, развиваемое при сгорании газовоздушной смеси:
,
,
кг,
кПа.
3 Определение категории наружной установки
Результаты расчетов критериев взрывопожарной опасности показывают, что при расчетном варианте аварии достигаются необходимые и достаточные условия (горизонтальный размер зоны, ограничивающей газовоздушные смеси с концентрацией горючего выше НКПР, превышает 30 м и расчетное избыточное давление при сгорании газовоздушной смеси на расстоянии 30 м от наружной установки превышает 5 кПа), что позволяет отнести данную наружную установку к категории Ан.
Б.51 Расчет критериев пожарной опасности и определение категории сепараторов секции каталитического риформинга БФ
1 Исходные данные
1.1 Характеристика наружной установки.
Площадка сепараторов состоит из сепаратора секции риформинга объемом 6,7 м3 и сепаратора на входе компрессора объемом 50 м3, производительностью 250 тыс. м3/ч (69,4 м3/с), давлением 24 кг/см2. Сепараторы соединены между собой трубопроводом без запорной арматуры диаметром 500 мм, общей длиной 40 м. Поэтому расчет производится на общий объем. Объем кубовой жидкости – 20 %.
Расчетная температура воздуха tр = 34 °C – абсолютная максимальная температура воздуха (для района г. Сургута) согласно таблице 2 СНиП 23-01-99* [6].
Отключение автоматическое без резервирования, расчетное время отключения согласно НПБ 105-03 [1] принимается равным 120 с.
1.2 Характеристика веществ и материалов, обращающихся (находящихся) в наружной установке, по справочным данным (приложение Г).
Водородосодержащий газ (по водороду H2): горючий газ (ГГ).
Бензин: легковоспламеняющаяся жидкость (ЛВЖ).
2 Расчет критериев пожарной опасности
2.1 Определение необходимого условия.
В наружной установке обращается горючий газ, способный образовывать взрывоопасную газовоздушную смесь, что соответствует необходимому условию отнесения наружной установки к категории Ан.
За расчетный вариант принимается аварийная разгерметизация сепаратора на входе компрессора, приводящая к выбросу горючей среды ГГ (водород) и ЛВЖ (бензин) в окружающее пространство с возможностью возникновения пожара. Расчет производится на наиболее взрывоопасное вещество – водород.
2.2 Определение достаточных условий отнесения к категории Ан.
а) Рассчитывается горизонтальный размер зоны, ограничивающей область концентраций, превышающих нижний концентрационный предел распространения пламени, м:
,
где m– масса горючего газа, поступившего в результате аварии в окружающее пространство, кг:
m = Vав · rг,
где Vав – объем газа, выделившегося в результате расчетной аварии, м3:
Vав = Vа + Vт,
где Vа – объем газа, вышедшего из аппарата, м3:
Vа = 0,01 · P · (V1 + V2) = 0,01 · 2353,6 · (6,7 + 50) · 0,8 = 1067,6 м3;
Vт – объем газа, вышедшего из трубопровода, м3:
Vт = V1т + V2т,
где V1т – объем газа, вышедшего из трубопровода до его отключения, м3:
V1т = q · T = 69,4 · 120 = 8328 м3;
V2т- объем газа, вышедшего из трубопровода после его отключения, м3:
V2т = 0,01 · p · P · (r2 · L) = 0,01 · 3,14 · 2353,6 · (0,252 · 40) = 184,8 м3,
Vт = 8328 + 184,8 = 8512,8 м3,
Vав = 1067,6 + 8512,8 = 9580,4 м3;
rг- плотность газа при расчетной температуре, кг/м3,
кг/м3,
m= 9580,4 · 0,08 = 766,4 кг,
м.
б) Рассчитывается избыточное давление DP, кПа, развиваемое при сгорании:
,
,
кг,
кПа.
3 Определение категории наружной установки
Результаты расчетов критериев взрывопожарной опасности показывают, что при расчетном варианте аварии достигаются необходимые и достаточные условия (горизонтальный размер зоны, ограничивающей газовоздушные смеси с концентрацией горючего выше НКПР, превышает 30 м и расчетное избыточное давление при сгорании газовоздушной смеси на расстоянии 30 м от наружной установки превышает 5 кПа), что позволяет отнести данную наружную установку к категории Ан.
Б.52 Расчет критериев пожарной опасности и определение категории сепараторов секции предварительной гидроочистки БФ
1 Исходные данные
1.1 Характеристика наружной установки.
Сепараторы предназначены для очистки ВСГ. Каждый объемом 6,3 м3, производительностью 38 тыс. м3/ч (10,6 м3/с) (по ВСГ), давлением 24 кг/см2. Трубопровод: входящим – диаметром 200 мм, длиной 25 м; выходящим – диаметром 200 мм, длиной 20 м. Объем кубовой жидкости – 20%.
Расчетная температура воздуха tр = 34 °C – абсолютная максимальная температура воздуха (для района г. Сургута) согласно таблице 2 СНиП 23-01-99* [6].
Отключение автоматическое без резервирования, расчетное время отключения согласно НПБ 105-03 [1] принимается равным 120 с.
1.2 Характеристика веществ и материалов, обращающихся (находящихся) в наружной установке, по справочным данным (приложение Г).
Водородосодержащий газ (по водороду H2): горючий газ (ГГ).
Бензин: легковоспламеняющаяся жидкость (ЛВЖ).
2 Расчет критериев пожарной опасности
2.1 Определение необходимого условия.
В наружной установке обращается горючий газ, способный образовывать взрывоопасную газовоздушную смесь, что соответствует необходимому условию отнесения наружной установки к категории Ан.
За расчетный вариант принимается аварийная разгерметизация сепаратора, приводящая к выбросу горючей среды ГГ (водород) и ЛВЖ (бензин) в окружающее пространство с возможностью возникновения пожара. Расчет производится на наиболее взрывоопасное вещество – водород.
2.2 Определение достаточных условий отнесения к категории Ан.
а) Рассчитывается горизонтальный размер зоны, ограничивающей область концентраций, превышающих нижний концентрационный предел распространения пламени, м:
,
где m– масса горючих газов, поступивших в результате аварии в окружающее пространство, кг:
m = Vав · rг,
где Vав – объем газа, выделившегося в результате расчетной аварии, м3:
Vав = Vа + Vт,
где Vа – объем газа, вышедшего из аппарата, м3:
Vа = 0,01 · P · V· 0,8 = 0,01 · 2353,6 · 6,3 · 0,8 = 118,6 м3;
Vт – объем газа, вышедшего из трубопровода, м3:
Vт = V1т + V2т,
где V1т – объем газа, вышедшего из трубопровода до его отключения, м3:
V1т = q · T = 10,6 · 120 = 1272 м3;
V2т – объем газа, вышедшего из трубопровода после его отключения, м3:
V2т = 0,01 · p · P · (r12 · L1 + r22 · L2) = 0,01 · 3,14 · 2353,6 · (0,12 · 25 + 0,12 · 20) = 33,3 м3,
Vт = 1272 + 33,3 = 1305,3 м3,
Vав = 118,6 + 1305,3 = 1423,9 м3;
rг – плотность газа при расчетной температуре, кг/м3:
кг/м3,
m= 1423,9 · 0,08 = 114 кг,
м.
б) Величина избыточного давления DP, кПа, развиваемого при сгорании газовоздушной смеси, определяется по формуле
,
,
кг,
кПа.
3 Определение категории наружной установки
Результаты расчетов критериев взрывопожарной опасности показывают, что при расчетном варианте аварии достигаются необходимые и достаточные условия (горизонтальный размер зоны, ограничивающей газовоздушные смеси с концентрацией горючего выше НКПР, превышает 30 м и расчетное избыточное давление при сгорании газовоздушной смеси на расстоянии 30 м от наружной установки превышает 5 кПа), что позволяет отнести данную наружную установку к категории Ан.
Б.53 Расчет критериев пожарной опасности и определение категории аппаратного двора опытно-промышленной установки каталитического риформинга «Петрофак»
1 Исходные данные
1.1 Характеристика наружной установки.
Аппаратный двор опытно-промышленной установки каталитического риформинга (УКР), предназначенный для получения бензина, в составе: печи нагрева газосырьевой смеси, теплообменники колонны ректификации, теплообменники-ребойлеры, сборник парового конденсата, колонны стабилизации, холодильники, сепаратор высокого давления, реакторы сероочистки, емкости с водородом и реактор риформинга объемом 9,87 м3, производительностью 5 тыс. м3/ч (1,4 м3/с) (по ВСГ), давлением 21,4 кг/см2, с трубопроводами: входящим диаметром 200 мм, длиной 20 м; выходящим – диаметром 200 мм, длиной 80 м. Объем кубовой жидкости в реакторе – 20 %.
Расчетная температура воздуха tр = 34 °C – абсолютная максимальная температура воздуха (для района г. Сургута) согласно таблице 2 СНиП 23-01-99* [6].
Отключение автоматическое без резервирования, расчетное время отключения принимается согласно НПБ 105-03 [1] равным 120 с.
1.2 Характеристика веществ и материалов, обращающихся (находящихся) в наружной установке, по справочным данным (приложение Г).
Водородосодержащий газ (по водороду H2): горючий газ (ГГ).
Бензин: легковоспламеняющаяся жидкость (ЛВЖ).
2 Расчет критериев пожарной опасности
2.1 Определение необходимого условия.
В наружной установке обращается горючий газ, способный образовывать взрывоопасную газовоздушную смесь, что соответствует необходимому условию отнесения наружной установки к категории Ан.
За расчетный вариант принимается аварийная разгерметизация реактора риформинга, приводящая к выбросу горючей среды (ГГ – водород и ЛВЖ – бензин) в окружающее пространство с возможностью возникновения пожара. Расчет производится на наиболее взрывоопасное вещество – водород.
2.2 Определение достаточных условий отнесения к категории Ан.
а) Рассчитывается горизонтальный размер зоны, ограничивающей область концентраций, превышающих нижний концентрационный предел распространения пламени, м:
,
где rг – плотность газа при расчетной температуре, кг/м3:
кг/м3;
m – масса горючих газов, поступивших в результате аварии в окружающее пространство, кг:
т = Vав · rг,
где Vав – объем газа, выделившегося в результате расчетной аварии, м3:
Vав =Vа + Vт,
где Vа – объем газа, вышедшего из аппарата, м3:
Vа = 0,01 · P · V · 0,8 = 0,01 · 2098,6 · 9,87 · 0,8 = 165,7 м3;
Vт – объем газа, вышедшего из трубопровода, м3:
Vт = V1т + V2т,
где V1т – объем газа, вышедшего из трубопровода до его отключения, м3:
V1т = q · T = 1,4 · 120 = 168 м3;
V2т – объем газа, вышедшего из трубопровода после его отключения, м3:
V2т = 0,01 · p · P · (r12 ·L1 + r22 · L2),
V2т = 0,01 · 3,14 · 2098,6 · (0,12 · 20 + 0,12 · 80) = 65,9 м3,
Vт = 168 + 65,9 = 233,9 м3,
Vав = 165,7 + 233,9 = 399,6 м3,
m= 399,6 · 0,08 = 32 кг,
м.
б) Рассчитывается избыточное давление DP, кПа, развиваемое при сгорании газовоздушной смеси:
,
,
кг,
кПа.
3 Определение категории наружной установки
Результаты расчетов критериев взрывопожарной опасности показывают, что при расчетном варианте аварии достигаются необходимые и достаточные условия (горизонтальный размер зоны, ограничивающей газовоздушные смеси с концентрацией горючего выше НКПР, превышает 30 м и расчетное избыточное давление при сгорании газовоздушной смеси на расстоянии 30 м от наружной установки превышает 5 кПа), что позволяет отнести данную наружную установку к категории Aн.
Б.54 Расчет критериев пожарной опасности и определение категории узла смешения установки моторных топлив
1 Исходные данные
1.1 Характеристика наружной установки.
Узел смешения предназначен для фильтрации и смешения моторных топлив и состоит из фильтров керосина, фильтров дизельного топлива, фильтров гексановой фракции и фильтров бензина. Фильтр бензина производительностью 1500 м3/ч (0,4 м3/с) с трубопроводом диаметром 200 мм, длиной 1 м. Площадь обваловки составляет 345 м2.
Расчетная температура воздуха tр = 34 °C – абсолютная максимальная температура воздуха (для района г. Сургута) согласно таблице 2 СНиП 23-01-99* [6].
Отключение ручное, расчетное время отключения принимается согласно НПБ 105-03 [1] равным 300 с.
1.2 Характеристика веществ и материалов, обращающихся (находящихся) в наружной установке, по справочным данным (приложение Г).
Бензин, дизельное топливо «З», керосин, гексан: легковоспламеняющиеся жидкости (ЛВЖ).
2 Расчет критериев пожарной опасности
2.1 Определение необходимого условия.
В наружной установке обращаются ЛВЖ с температурой вспышки менее 28 °C, способные образовывать взрывоопасные паровоздушные смеси, что отвечает необходимому условию отнесения наружной установки к категории Ан.
За расчетный вариант принимается аварийный разрыв трубопровода фильтра бензина (как наиболее взрывоопасного вещества), приводящий к выбросу горючей среды (ЛВЖ) в окружающее пространство с возможностью возникновения пожара. Расчет проводится на наиболее взрывопожароопасное вещество – бензин.
2.2 Определение достаточных условий отнесения установки к категории Ан.
а) Рассчитывается горизонтальный размер зоны, ограничивающий область концентраций, превышающих нижний концентрационный предел распространения пламени, м:
,
| где K | – коэффициент, принимаемый равным K = T / 3600 = 1; |
| Pн | – давление насыщенных паров при расчетной температуре, кПа: |
кПа;
mп – масса паров, поступивших в открытое пространство за время полного испарения, но не более чем за 3600 с, кг:
mп = mр,
где mр – масса жидкости, испарившейся с поверхности разлива, кг:
mр = W · Fи · T,
где W – интенсивность испарения, кг/(с·м2):
W= 10-6 ·
· Pн = 10-6 · 1 ·
· 37,15 = 3,6 · 10-4 кг/(с·м2);
Fи – площадь испарения, м2, определяется по п. 38 НПБ 105-03 [1] из расчета, что 1 л смесей и растворов, содержащих 70 % и менее растворителей, разливается на площади 0,10 м2.
Определяется объем Vав, м3, разлившегося в результате расчетной аварии бензина:
Vав = Vт,
где Vт – объем бензина, вышедшего из трубопровода, м3:
Vт = V1т + V2т,
где V1т – объем бензина, вышедшего из трубопровода до его отключения, м3:
V1т = q · T = 0,4 · 300 = 120 м3;
V2т – объем бензина, вышедшего из трубопровода после его отключения, м3:
V2т = p · r2 · L = 3,14 · 0,12 · 1 = 0,03 м3,
Vт = 120 + 0,03 = 120,03 м3.
За площадь испарения Fи принимается площадь обваловки (345 м2), так как она меньше вычисленной по п. 38 НПБ 105-03 [1] (12003 м2).
m = 3,6 · 10-4 · 345 · 3600 = 447,12 кг;
rп – плотность паров при расчетной температуре и атмосферном давлении, кг/м3:
кг/м3,
м.
б) Рассчитывается избыточное давление DP, кПа, развиваемое при сгорании паровоздушных смесей:
,
,
кг,
кПа.
3 Определение категории наружной установки
Результаты расчетов критериев взрывопожарной опасности показывают, что при расчетном варианте аварии достигаются необходимые и достаточные условия (горизонтальный размер зоны, ограничивающей газовоздушные смеси с концентрацией горючего выше НКПР, превышает 30 м и расчетное избыточное давление при сгорании газовоздушной смеси на расстоянии 30 м от наружной установки превышает 5 кПа), что позволяет отнести данную наружную установку к категории Ан.
Б.55 Расчет критериев пожарной опасности и определение категории узла подачи охлаждающей жидкости установки моторных топлив
1 Исходные данные
1.1 Характеристика наружной установки.
Узел подачи охлаждающей жидкости, предназначенный для подачи охлаждающей жидкости на установку моторных топлив, состоит из АВО и емкости с охлаждающей жидкостью объемом 6,3 м3. Площадь обваловки составляет 120 м2.
Расчетная температура воздуха tр = 34 °C – абсолютная максимальная температура воздуха (для района г. Сургута) согласно таблице 2 СНиП 23-01-99* [6].
1.2 Характеристика веществ и материалов, обращающихся (находящихся) в наружной установке, по справочным данным (приложение Г).
Керосин: легковоспламеняющаяся жидкость (ЛВЖ).
2 Расчет критериев пожарной опасности
2.1 Определение необходимого условия.
В наружной установке обращается ЛВЖ с температурой вспышки более 28 °C, способная образовывать взрывоопасную паровоздушную смесь, что отвечает необходимому условию отнесения наружной установки к категории Бн.
За расчетный вариант принимается аварийная разгерметизация емкости керосина, приводящая к выбросу горючей среды (ЛВЖ – керосина) в окружающее пространство с возможностью возникновения пожара.
2.2 Определение достаточных условий отнесения установки к категории Бн.
а) Рассчитывается горизонтальный размер зоны, ограничивающий область концентраций, превышающих нижний концентрационный предел распространения пламени, м:
;
| где K | – коэффициент, принимаемый равным K = T / 3600 = 1; |
| Pн | – давление насыщенных паров при расчетной температуре, кПа: |
кПа;
mп – масса паров, поступивших в открытое пространство за время полного испарения, но не более чем за 3600 с, кг;
mп = mр,
где mр – масса жидкости, испарившейся с поверхности разлива, кг:
mр = W · Fи · T,
| где T | –время испарения, с, принимается равным 3600 с; |
| W | – интенсивность испарения, кг/(с·м2): |
W= 10-6 ·
· Pн,
W = 10-6 · 1 ·
· 0,9 = 1,1 · 10-5 кг/(с·м2);
Fи – площадь испарения, м2, принимается равной площади обваловки (120 м2), так как она меньше площади, вычисленной по п. 38 НПБ 105-03 [1] из расчета, что 1 л смесей и растворов, содержащих 70 % и менее растворителей, разливается на площади 0,10 м2 (630 м2)
m= 1,1 · 10-5 · 120 · 3600 = 4,8 кг;
rп – плотность паров при расчетной температуре и атмосферном давлении, кг/м3:
кг/м3,
м.
б) Рассчитывается избыточное давление, развиваемое при сгорании паровоздушных смесей, кПа:
,
,
кг,
кПа.
3 Определение категории наружной установки
Результаты расчетов критериев взрывопожарной опасности показывают, что при расчетном варианте аварии достигаются необходимые и одно из достаточных условий (расчетное избыточное давление при сгорании газовоздушной смеси на расстоянии 30 м от наружной установки превышает 5 кПа), позволяющие отнести данную наружную установку к категории Бн.
Б.56 Расчет критериев пожарной опасности и определение категории аппаратного двора узла приготовления присадок
1 Исходные данные
1.1 Характеристика наружной установки.
Аппаратный двор, предназначенный для хранения рабочего раствора присадок, в составе: воздушного ресивера, фильтров и емкостей рабочего раствора присадок объемом 50 м3. Площадь обваловки составляет 171 м2. Массовая доля керосина – 95 %.
Расчетная температура воздуха tр = 34 °C – абсолютная максимальная температура воздуха (для района г. Сургута) согласно таблице 2 СНиП 23-01-99* [6].
1.2 Характеристика веществ и материалов, обращающихся (находящихся) в наружной установке, по справочным данным (приложение Г).
Керосин: легковоспламеняющаяся жидкость (ЛВЖ).
2 Расчет критериев пожарной опасности
2.1 Определение необходимого условия.
В наружной установке обращается ЛВЖ с температурой вспышки более 28 °C, способная образовывать взрывоопасную паровоздушную смесь, что отвечает необходимому условию отнесения наружной установки к категории Бн.
За расчетный вариант принимается аварийная разгерметизация емкости рабочего раствора, приводящая к выбросу горючей среды (ЛВЖ - керосин) в окружающее пространство с возможностью возникновения пожара.
2.2 Определение достаточных условий отнесения установки к категории Бн.
а) Рассчитывается горизонтальный размер зоны, ограничивающий область концентраций, превышающих нижний концентрационный предел распространения пламени, м:
;
| где K | – коэффициент, принимаемый равным K = T / 3600 = 1; |
| Pн | – давление насыщенных паров при расчетной температуре, кПа: |
кПа;
mп – масса паров, поступивших в открытое пространство за время полного испарения, но не более чем за 3600 с, кг;
mп = mр,
где mр – масса жидкости, испарившейся с поверхности разлива, кг:
mр = W · Fи · T,
где W – интенсивность испарения, кг/(с·м2);
W = 10-6 ·
· Pн,
где M– молярная масса керосина, кг/кмоль:
W= 10-6 · 1 ·
· 0,86 = 1,07 · 10-5 кг/(с·м2);
T – время испарения, с, принимается равным 3600 с;
Fи – площадь испарения, м2; принимается равной площади обваловки (171 м2), так как она меньше вычисленной по п. 38 НПБ 105-03 [1] (5000 м2).
m= 1,07 · 10-5 · 171 · 3600 = 6,6 кг;
rп – плотность паров при расчетной температуре и атмосферном давлении, кг/м3:
кг/м3,
м.
б) Рассчитывается избыточное давление, развиваемое при сгорании паровоздушных смесей, кПа:
,
,
кг,
кПа.
3 Определение категории наружной установки
Результаты расчетов критериев взрывопожарной опасности показывают, что при расчетном варианте аварии достигаются необходимые и одно из достаточных условий (расчетное избыточное давление при сгорании газовоздушной смеси на расстоянии 30 м от наружной установки превышает 5 кПа), позволяющие отнести данную наружную установку к категории Бн.
Б.57 Расчет критериев пожарной опасности и определение категории аппаратного двора установки получения гелиевого концентрата, этана и ШФЛУ
1 Исходные данные
1.1 Характеристика наружной установки.
Аппаратный двор предназначен для получения гелиевого концентрата, этана и ШФЛУ из природного газа и состоит из теплообменника, колонн. При разгерметизации колонны возможно поступление метана в количестве 11667 кг.
Расчетная температура воздуха tр = 42 °C – абсолютная максимальная температура воздуха (для района г. Оренбурга) согласно таблице 2 СНиП 23-01-99* [6].
1.2 Характеристика веществ и материалов, обращающихся (находящихся) в наружной установке, по справочным данным (приложение Г).
Природный газ (по метану CH4), пропан C3H8: горючие газы (ГГ).
2 Расчет критериев пожарной опасности
2.1 Определение необходимого условия.
В наружной установке обращается горючий газ, способный образовывать взрывоопасную газовоздушную смесь, что соответствует необходимому условию отнесения наружной установки к категории Ан.
За расчетный вариант принимается аварийная разгерметизация колонны, приводящая к выбросу горючей среды ГГ (метана) в окружающее пространство с возможностью возникновения пожара.
2.2 Определение достаточных условий отнесения установки к категории Ан.
а) Рассчитывается горизонтальный размер зоны, ограничивающей область концентраций, превышающих нижний концентрационный предел распространения пламени, Rнкпр, м:
,
| где m | – масса горючих газов, поступивших в результате аварии в окружающее пространство, кг; |
| rг | – плотность газа при расчетной температуре, кг/м3: |
кг/м3.
м.
б) Рассчитывается величина избыточного давления DP, кПа, развиваемого при сгорании газовоздушной смеси:
,
,
кг,
кПа.
3 Определение категории наружной установки
Результаты расчетов критериев взрывопожарной опасности показывают, что при расчетном варианте аварии достигаются необходимые и достаточные условия (горизонтальный размер зоны, ограничивающей газовоздушные смеси с концентрацией горючего выше НКПР, превышает 30 м и расчетное избыточное давление при сгорании газовоздушной смеси на расстоянии 30 м от наружной установки превышает 5 кПа), что позволяет отнести данную наружную установку к категории Ан.
Б.58 Расчет критериев пожарной опасности и определение категории аппаратного двора блока тонкой очистки гелия установки получения гелия из гелиевого концентрата
1 Исходные данные
1.1 Характеристика наружной установки.
Аппаратный двор предназначен для тонкой очистки гелия, состоящий из емкости пропана и колонны. При разгерметизации колонны возможно поступление метана в количестве 1159 кг.
Расчетная температура воздуха tр = 42 °C – абсолютная максимальная температура воздуха (для района г. Оренбурга) согласно таблице 2 СНиП 23-01-99* [6].
1.2 Характеристика веществ и материалов, обращающихся (находящихся) в наружной установке, по справочным данным (приложение Г).
Природный газ (по метану CH4), пропан C3H8: горючие газы (ГГ).
2 Расчет критериев пожарной опасности
2.1 Определение необходимого условия.
В наружной установке обращается горючий газ, способный образовывать взрывоопасную газовоздушную смесь, что соответствует необходимому условию отнесения наружной установки к категории Ан.
За расчетный вариант принимается аварийная разгерметизация колонны, приводящая к выбросу горючей среды ГГ (метана) в окружающее пространство с возможностью возникновения пожара.
2.2 Определение достаточных условий отнесения установки к категории Ан.
а) Рассчитывается горизонтальный размер зоны, ограничивающей область концентраций, превышающих нижний концентрационный предел распространения пламени, Rнкпр, м:
,
| где m | – масса горючих газов, поступивших в результате аварии в окружающее пространство, кг; |
| rг | – плотность газа при расчетной температуре, кг/м3: |
кг/м3.
м.
б) Величина избыточного давления DP, кПа, развиваемого при сгорании газовоздушной смеси, определяется по формуле
,
,
кг,
кПа.
3 Определение категории наружной установки
Результаты расчетов критериев взрывопожарной опасности показывают, что при расчетном варианте аварии достигаются необходимые и достаточные условия (горизонтальный размер зоны, ограничивающей газовоздушные смеси с концентрацией горючего выше НКПР, превышает 30 м и расчетное избыточное давление при сгорании газовоздушной смеси на расстоянии 30 м от наружной установки превышает 5 кПа), что позволяет отнести данную наружную установку к категории Ан.
Б.59 Расчет критериев пожарной опасности и определение категории блока очистки этановой фракции установки очистки сырьевого газа от сернистых соединений
1. Исходные данные
1.1 Характеристика наружной установки.
Блок очистки предназначен для очистки этановой фракции от сернистых соединений и включает: адсорберы с единовременным обращением 1,327 т этановой фракции и аппараты воздушного охлаждения с единовременным обращением 2,009 т метановой фракции.
Расчетная температура воздуха tр = 42 °C – абсолютная максимальная температура воздуха (для района г. Оренбурга) согласно таблице 2 СНиП 23-01-99* [6].
1.2 Характеристика веществ и материалов, обращающихся (находящихся) в наружной установке, по справочным данным (приложение Г).
Метановая фракция (по метану CH4): горючий газ (ГГ).
Этановая фракция (по этану C2H6): горючий газ (ГГ).
2 Расчет критериев пожарной опасности
2.1 Определение необходимого условия.
В наружной установке обращается горючий газ, способный образовывать взрывоопасную газовоздушную смесь, что соответствует необходимому условию отнесения наружной установки к категории Ан
За расчетный вариант принимается аварийная разгерметизация аппарата воздушного охлаждения, приводящая к выбросу горючей среды (ГГ) в окружающее пространство с возможностью возникновения пожара. Расчет проводится по наиболее взрывоопасному компоненту – метану.
2.2 Определение достаточных условий отнесения к категории Ан.
а) Рассчитывается горизонтальный размер зоны, ограничивающей область концентраций, превышающих нижний концентрационный предел распространения пламени, м:
,
где rг – плотность газа при расчетной температуре, кг/м3:
кг/м3.
m– масса выделившегося при расчетной аварии газа, кг:
m= 2009 кг.
м.
б) Рассчитывается величина избыточного давления DP, кПа, развиваемого при сгорании газовоздушной смеси:
,
,
кг,
кПа.
3 Определение категории наружной установки
Результаты расчетов критериев взрывопожарной опасности показывают, что при расчетном варианте аварии достигаются необходимые и достаточные условия (горизонтальный размер зоны, ограничивающей газовоздушные смеси с концентрацией горючего выше НКПР, превышает 30 м и расчетное избыточное давление при сгорании газовоздушной смеси на расстоянии 30 м от наружной установки превышает 5 кПа), что позволяет отнести данную наружную установку к категории Ан.
Б.60 Расчет критериев пожарной опасности и определение категории ресиверов сжатого азота
1 Исходные данные
1.1 Характеристика наружной установки.
Ресиверы предназначены для хранения сжатого азота.
1.2 Характеристика веществ и материалов, обращающихся (находящихся) в наружной установке, по справочным данным (приложение Г).
Азот: негорючий газ.
2 Расчет критериев пожарной опасности
Расчет не производится.
3 Определение категории наружной установки
Для данной установки выполняются необходимое и достаточное условия (наличие в наружной установке негорючих веществ и материалов в холодном состоянии при том, что наружная установка не относится к категориям Ан, Бн, Вн или Гн), что позволяет отнести ее к категории Дн.
Б.61 Расчет критериев пожарной опасности и определение категории установки получения жидкого кислорода, азота и осушки воздуха
1 Исходные данные
1.1 Характеристика наружной установки.
Установка предназначена для осушки воздуха и получения жидкого кислорода и азота путем разделения воздуха.
1.2 Характеристика веществ и материалов, обращающихся (находящихся) в наружной установке, по справочным данным (приложение Г).
Азот, кислород: негорючие газы.
2 Расчет критериев пожарной опасности
Расчет не производится.
3 Определение категории наружной установки
Для данной установки выполняются необходимое и достаточное условия (наличие в наружной установке негорючих веществ и материалов в холодном состоянии при том, что наружная установка не относится к категориям Ан, Бн, Вн или Гн), что позволяет отнести ее к категории Дн.
Б.62 Расчет критериев пожарной опасности и определение категории емкости дегазации установки фильтрации загрязненных вод и сжигания промотходов
1 Исходные данные
1.1 Характеристика наружной установки.
Емкость дегазации представляет собой емкость объемом 12 м3, с давлением 1,3 кг/см2, в которой содержатся:
- кислый газ – 70 % объема;
- пластовая вода – 30 % объема.
Расчетная температура воздуха tр = 40 °C – абсолютная максимальная температура воздуха (для района г. Астрахани) согласно таблице 2 СНиП 23-01-99* [6].
1.2 Характеристика веществ и материалов, обращающихся (находящихся) в наружной установке, по справочным данным (приложение Г).
Кислый газ (по сероводороду H2S): горючий газ (ГГ).
2 Расчет критериев пожарной опасности
2.1 Определение необходимого условия.
В наружной установке обращается горючий газ, способный образовывать взрывоопасную газовоздушную смесь, что соответствует необходимому условию отнесения наружной установки к категории Ан.
За расчетный вариант принимается аварийная разгерметизация емкости дегазации, приводящая к выбросу горючей среды (ГГ) в окружающее пространство с возможностью возникновения пожара. Расчет проводится по взрывоопасному компоненту – сероводороду.
2.2 Определение достаточных условий отнесения к категории Ан.
а) Рассчитывается горизонтальный размер зоны, ограничивающей область концентраций, превышающих нижний концентрационный предел распространения пламени, м:
,
где m – масса горючих газов, поступивших в результате аварии в окружающее пространство, кг:
m = Vав · rг,
где Vав – объем газа, выделившегося в результате расчетной аварии, м3:
Vав = Vа,
где Vа – объем газа, вышедшего из аппарата, м3:
Vа = 0,01 · P · V · 0,7 = 0,01 · 127,5 · 12 · 0,7 = 10,71 м3;
rг – плотность газа при расчетной температуре, кг/м3:
кг/м3,
m = 10,71 · 1,33 = 14,24 кг,
м.
б) Рассчитывается избыточное давление DP, кПа, развиваемое при сгорании:
,
,
кг,
кПа.
3 Определение категории наружной установки
Результаты расчетов критериев взрывопожарной опасности показывают, что при расчетном варианте аварии достигаются необходимые и одно из достаточных условий (расчетное избыточное давление при сгорании газовоздушной смеси на расстоянии 30 м от наружной установки превышает 5 кПа), позволяющие отнести данную наружную установку к категории Ан.
Б.63 Расчет критериев пожарной опасности и определение категории печи дожига установки фильтрации загрязненных вод и сжигания промотходов
1 Исходные данные
1.1 Характеристика наружной установки.
Наружная установка состоит из печи дожига, в которой сжигается аминовый шлам, и трубы, отводящей продукты горения. Природный газ используется в качестве топлива.
1.2 Характеристика веществ и материалов, обращающихся (находящихся) в наружной установке, по справочным данным (приложение Г).
Природный газ (по метану CH4): горючий газ (ГГ).
Аминовый шлам: горючее твердое вещество.
2 Расчет критериев пожарной опасности
Расчет критериев не требуется.
3 Определение категории наружной установки
Для данной наружной установки выполняются необходимое и достаточное условия (наличие ГГ, ГЖ и твердых горючих веществ, которые сжигаются или утилизируются в качестве топлива, при этом установка не относится к категориям Ан, Бн или Вн), что позволяет отнести ее к категории Гн.
Б.64 Расчет критериев пожарной опасности и определение категории градирни
1 Исходные данные
1.1 Характеристика наружной установки.
Градирня предназначена для охлаждения воды.
1.2 Характеристика веществ и материалов, обращающихся (находящихся) в наружной установке, по справочным данным (приложение Г).
Вода техническая: негорючее вещество в холодном состоянии.
2 Расчет критериев пожарной опасности
Расчет не требуется.
3 Определение категории наружной установки
Для данной установки выполняется необходимое и достаточное условие, что позволяет отнести ее к категории Дн.
Б.65 Расчет критериев пожарной опасности и определение категории АВО воды
1 Исходные данные
1.1 Характеристика наружной установки.
АВО воды включает 6 секций.
1.2 Характеристика веществ и материалов, обращающихся (находящихся) в наружной установке, по справочным данным (приложение Г).
Вода техническая: негорючее вещество в холодном состоянии.
2 Расчет критериев пожарной опасности
Расчет не требуется.
3 Определение категории наружной установки
Для данной установки выполняются необходимое и достаточное условия, позволяющие отнести ее к категории Дн.
Б.66 Расчет критериев пожарной опасности и определение категории резервуарного парка хранения подтоварной воды
1 Исходные данные
1.1 Характеристика наружной установки.
Резервуарный парк хранения подтоварной воды, предназначенный для хранения подтоварной воды для дальнейшей переработки, включает: 3 резервуара с подтоварной водой объемом 3000 м3. Содержание метанола – 45 %. Площадь обваловки – 4000 м2.
Расчетная температура воздуха tр = 34 °C – абсолютная максимальная температура воздуха (для района г. Сургута) согласно таблице 2 СНиП 23-01-99* [6].
1.2 Характеристика веществ и материалов, обращающихся (находящихся) в наружной установке, по справочным данным (приложение Г).
Метанол: легковоспламеняющаяся жидкость (ЛВЖ).
2 Расчет критериев пожарной опасности
2.1 Определение необходимого условия.
В наружной установке обращается ЛВЖ с температурой вспышки менее 28 °C, способной образовывать взрывоопасную паровоздушную смесь, что отвечает необходимому условию отнесения наружной установки к категории Ан.
За расчетный вариант принимается аварийная разгерметизация резервуара с подтоварной водой, приводящая к поступлению горючей среды (ЛВЖ – метанол) в окружающее пространство с возможностью возникновения пожара.
2.2 Определение достаточных условий отнесения установки к категории Ан.
Рассчитывается горизонтальный размер зоны, ограничивающий область концентраций, превышающих нижний концентрационный предел распространения пламени, м:
,
где Pн – давление насыщенных паров при расчетной температуре, кПа:
кПа;
mп – масса паров, поступивших в открытое пространство за время полного испарения, но не более чем за 3600 с, кг:
mп = mр,
где mр – масса жидкости, испарившейся с поверхности разлива, кг:
mр= W · Fи · T,
где W – интенсивность испарения, кг/(с·м2):
W = 10-6 ·
· Pн,
W= 10-6 · 1 ·
· 11,8 = 6,7 · 10-5 кг/(с·м2);
T – время испарения, с, принимается равным 3600 с;
Fи – площадь испарения, м2, принимается равной площади обваловки (4000 м2), так как она меньше вычисленной по п. 38 НПБ 105-03 [1] (300 тыс. м2).
m = 6,7 · 10-5 · 4000 · 3600 = 964,8 кг;
rп – плотность паров при расчетной температуре и атмосферном давлении, кг/м3:
кг/м3,
м.
б) Рассчитывается избыточное давление DP, кПа, развиваемое при сгорании:
,
,
кг,
кПа.
3 Определение категории наружной установки
Результаты расчетов критериев взрывопожарной опасности показывают, что при расчетном варианте аварии достигаются необходимые и одно из достаточных условий (расчетное избыточное давление при сгорании паровоздушной смеси на расстоянии 30 м от наружной установки превышает 5 кПа), позволяющие отнести данную наружную установку к категории Ан.
Б.67 Расчет критериев пожарной опасности и определение категории наливной ж/д эстакады сжиженных газов
1 Исходные данные
1.1 Характеристика наружной установки.
Наливная эстакада предназначена для налива сжиженных газов в ж/д цистерны и рассчитана на 30 цистерн. Цистерна объемом 50 м3.
Расчетная температура воздуха tр = 40 °C – абсолютная максимальная температура воздуха (для района г. Астрахани) согласно таблице 2 СНиП 23-01-99* [6].
1.2 Характеристика веществ и материалов, обращающихся (находящихся) в наружной установке, по справочным данным (приложение Г).
Сжиженный газ (по пропану C3H8), сжиженный газ (по бутану C4H10): горючие газы (ГГ).
2 Расчет критериев пожарной опасности
2.1 Определение необходимого условия.
В наружной установке обращается горючий газ, способный образовывать взрывоопасную газовоздушную смесь, что соответствует необходимому условию отнесения наружной установки к категории Ан.
За расчетный вариант принимается аварийная разгерметизация цистерны сжиженного газа, приводящая к выбросу горючей среды (ГГ) в окружающее пространство с возможностью возникновения пожара. Расчет проводится по наиболее взрывоопасному компоненту – пропану.
2.2 Определение достаточных условий отнесения к категории Ан.
а) Рассчитывается горизонтальный размер зоны, ограничивающей область концентраций, превышающих нижний концентрационный предел распространения пламени, м:
,
где m– масса газообразного пропана, поступившего в результате аварии в окружающее пространство, кг:
m = V · rг,
где V – объем испарившегося пропана, м3:
V = Vсуг · K,
| где Vсуг | – объем разлившегося СУГ, м3, |
| K | = 0,269 м3 газообразного пропана с 1 л СУГ по справочнику [10]. |
V= 50000 · 0,269 = 13450 м3;
rг – плотность газа при расчетной температуре, кг/м3:
кг/м3,
m= 13450 · 1,7 = 22865 кг,
м.
б) Рассчитывается избыточное давление DP, кПа, развиваемое при сгорании смеси:
,
,
кг,
кПа.
3 Определение категории наружной установки
Результаты расчетов критериев взрывопожарной опасности показывают, что при расчетном варианте аварии достигаются необходимые и достаточные условия (горизонтальный размер зоны, ограничивающей газовоздушные смеси с концентрацией горючего выше НКПР, превышает 30 м и расчетное избыточное давление при сгорании газовоздушной смеси на расстоянии 30 м от наружной установки превышает 5 кПа), что позволяет отнести данную наружную установку к категории Ан.
Б.68 Расчет критериев пожарной опасности и определение категории пункта приема и выдачи баллонов на ремонт и освидетельствование ГНС
1 Исходные данные
1.1 Характеристика наружной установки.
На открытой площадке находятся до 250 пустых баллонов, принятых на ремонт и освидетельствование.
1.2 Характеристика веществ и материалов, обращающихся (находящихся) в наружной установке, по справочным данным (приложение Г).
Металл: негорючий материал в холодном состоянии.
2 Расчет критериев пожарной опасности
Расчет не требуется.
3 Определение категории наружной установки
Для данной установки выполняются необходимое и достаточное условия (наличие в наружной установке негорючих веществ и материалов в холодном состоянии при том, что наружная установка не относится к категориям Ан, Бн, Вн или Гн, что позволяет отнести ее к категории Дн.
Б.69 Расчет критериев пожарной опасности и определение категории пункта заправки газобаллонных автомобилей ГНС
1 Исходные данные
1.1 Характеристика наружной установки.
Пункт заправки, предназначенный для заправки газобаллонных автомобилей сжиженным газом, производительностью 3 м3/ч (0,001 м3/с).
Расчетная температура воздуха tр = 35 °C – абсолютная максимальная температура воздуха (для района г. Ухты) согласно таблицей СНиП 23-01-99* [6].
Отключение ручное, расчетное время отключения согласно НПБ 105-03 [1] принимается равным 300 с.
1.2 Характеристика веществ и материалов, обращающихся (находящихся) в наружной установке, по справочным данным (приложение Г).
Сжиженный газ (по пропану C3H8): горючий газ (ГГ).
2 Расчет критериев пожарной опасности
2.1 Определение необходимого условия.
В наружной установке обращается горючий газ, способный образовывать взрывоопасную газовоздушную смесь, что соответствует необходимому условию отнесения наружной установки к категории Ан.
За расчетный вариант принимается аварийный разрыв заправочного шланга, приводящий к выбросу горючей среды (ГГ) в окружающее пространство с возможностью возникновения пожара.
2.2 Определение достаточных условий отнесения к категории Ан.
а) Рассчитывается горизонтальный размер зоны, ограничивающей область концентраций, превышающих нижний концентрационный предел распространения пламени, м:
,
где m- масса горючих газов, поступивших в результате аварии в окружающее пространство, кг:
m= V · rг,
где V – объем испарившегося пропана, м3:
V = Vсуг · K,
где Vсуг – объем разлившегося СУГ, м3:
Vсуг = q · T = 0,001 · 300 = 0,3 м3;
K = 0,269 м3 газообразного пропана с 1 л СУГ по справочнику [10].
V = 300 · 0,269 = 80,7 м3;
rг – плотность газа при расчетной температуре, кг/м3:
кг/м3,
m= 80,7 · 1,74 = 140,4 кг,
м.
б) Рассчитывается величина избыточного давления DP, кПа, развиваемого при сгорании газовоздушной смеси:
,
,
кг,
кПа.
3 Определение категории наружной установки
Результаты расчетов критериев взрывопожарной опасности показывают, что при расчетном варианте аварии достигаются необходимые и достаточные условия (горизонтальный размер зоны, ограничивающей газовоздушные смеси с концентрацией горючего выше НКПР, превышает 30 м и расчетное избыточное давление при сгорании газовоздушной смеси на расстоянии 30 м от наружной установки превышает 5 кПа), что позволяет отнести данную наружную установку к категории Ан.
Б.70 Расчет критериев пожарной опасности и определение категории арматуры (манифольдной) налива сжиженного газа и конденсата
1 Исходные данные
1.1 Характеристика наружной установки.
Арматура (манифольдная) предназначена для направления потоков сжиженного газа и конденсата на закачку в парк хранения. На площадке расположены 8 арматурных задвижек для конденсата и 8 арматурных задвижек сжиженного газа с трубопроводом диаметром 400 мм, длиной 30 м, производительностью 1200 м3/ч (0,3 м3/с). Площадь обваловки – 72 м2.
Расчетная температура воздуха tр = 35 °C – абсолютная максимальная температура воздуха (для района г. Ухты) согласно таблице 2 СНиП 23-01-99* [6].
Отключение ручное, расчетное время отключения принимается согласно НПБ 105-03 [1] равным 300 с.
1.2 Характеристика веществ и материалов, обращающихся (находящихся) в наружной установке, по справочным данным (приложение Г).
Сжиженный газ (по пропану C3H8): горючий газ (ГГ).
2 Расчет критериев пожарной опасности
2.1 Определение необходимого условия.
В наружной установке обращается горючий газ, способный образовывать взрывоопасную газовоздушную смесь, что соответствует необходимому условию отнесения наружной установки к категории Ан.
За расчетный вариант принимается аварийный разрыв трубопровода, приводящий к выбросу горючей среды (ГГ) в окружающее пространство с возможностью возникновения пожара.
2.2 Определение достаточных условий отнесения к категории Ан.
а) Рассчитывается горизонтальный размер зоны, ограничивающей область концентраций, превышающих нижний концентрационный предел распространения пламени, м:
,
где m– масса горючих газов, поступивших в результате аварии в окружающее пространство, кг:
m = V · rг,
где V – объем испарившегося пропана, м3:
V = Vсуг · K,
где Vсуг – объем разлившегося СУГ, м3:
Vсуг = q · T = 0,3 · 300 = 90 м3;
K = 0,269 м3 газообразного пропана с 1 л СУГ по справочнику [10].
V = 90000 · 0,269 = 24210 м3.
Плотность газа при расчетной температуре, кг/м3:
кг/м3,
m= 24210 · 1,74 = 42125,4 кг,
м.
б) Рассчитывается величина избыточного давления DP, кПа, развиваемого при сгорании газовоздушной смеси:
,
,
кг,
кПа.
3 Определение категории наружной установки
Результаты расчетов критериев взрывопожарной опасности показывают, что при расчетном варианте аварии достигаются необходимые и достаточные условия (горизонтальный размер зоны, ограничивающей газовоздушные смеси с концентрацией горючего выше НКПР превышает 30 м и расчетное избыточное давление при сгорании газовоздушной смеси на расстоянии 30 м от наружной установки превышает 5 кПа), что позволяет отнести данную наружную установку к категории Ан.
Б.71 Расчет критериев пожарной опасности и определение категории склада сжиженных газов
1 Исходные данные
1.1 Характеристика наружной установки.
Склад предназначен для хранения сжиженных газов. На площадке склада расположены буллиты сжиженного газа объемом 200 м3, конденсата и ШФЛУ. Площадь обваловки десяти буллитов с ПБФ – 4160 м2.
Расчетная температура воздуха tр = 40 °C – абсолютная максимальная температура воздуха (для района г. Астрахани) согласно таблице 2 СНиП 23-01-99* [6].
1.2 Характеристика веществ и материалов, обращающихся (находящихся) в наружной установке, по справочным данным (приложение Г).
Сжиженный газ (по пропану C3H8): горючий газ (ГГ).
Бензин, конденсат (по н-октану): легковоспламеняющиеся жидкости (ЛВЖ).
2 Расчет критериев пожарной опасности
2.1 Определение необходимого условия.
В наружной установке обращается горючий газ, способный образовывать взрывоопасную газовоздушную смесь, что соответствует необходимому условию отнесения наружной установки к категории Ан.
За расчетный вариант принимается аварийная разгерметизация буллита сжиженного газа, приводящая к выбросу горючей среды (ГГ) в окружающее пространство с возможностью возникновения пожара. Расчет проводится по наиболее взрывоопасному компоненту – пропану.
2.2 Определение достаточных условий отнесения к категории Ан.
а) Рассчитывается горизонтальный размер зоны, ограничивающей область концентраций, превышающих нижний концентрационный предел распространения пламени, м:
,
где m – масса горючих газов, поступивших в результате аварии в окружающее пространство, кг:
m = V · rг,
где V – объем испарившегося пропана, м3:
V = Vсуг · K,
| где V | – объем разлившегося СУГ, м3: |
| K | = 0,269 м3 газообразного пропана с 1 л СУГ по справочнику [10]. |
V = 200000 · 0,269 = 53800 м3;
rг – плотность газа при расчетной температуре, кг/м3:
кг/м3,
m= 53800 · 1,7 = 91460 кг,
м.
б) Рассчитывается величина избыточного давления DP, кПа, развиваемого при сгорании газовоздушной смеси:
,
,
кг,
кПа.
3 Определение категории наружной установки
Результаты расчетов критериев взрывопожарной опасности показывают, что при расчетном варианте аварии достигаются необходимые и достаточные условия (горизонтальный размер зоны ограничивающей газовоздушные смеси с концентрацией горючего выше НКПР, превышает 30 м и расчетное избыточное давление при сгорании газовоздушной смеси на расстоянии 30 м от наружной установки превышает 5 кПа), что позволяет отнести данную наружную установку к категории Ан.
Б.72 Расчет критериев пожарной опасности и определение категории наливной эстакады сжиженных газов в автоцистерны
1 Исходные данные
1.1 Характеристика наружной установки.
Наливная эстакада предназначена для налива сжиженных газов в автоцистерны и рассчитана на 3 автоцистерны. Максимальный объем цистерны – 52 м3. Производительность налива в автоцистерны – 112 м3/ч (0,03 м3/с).
Расчетная температура воздуха tр = 40 °C – абсолютная максимальная температура воздуха (для района г. Астрахани) согласно таблице 2 СНиП 23-01-99* [6].
Отключение ручное, расчетное время отключения принимается согласно НПБ 105-03 [1] равным 300 с.
1.2 Характеристика веществ и материалов, обращающихся (находящихся) в наружной установке, по справочным данным (приложение Г).
Сжиженный газ (по пропану C3H8), сжиженный газ (по бутану C4H10): горючие газы (ГГ).
2 Расчет критериев пожарной опасности
2.1 Определение необходимого условия.
В наружной установке обращается горючий газ, способный образовывать взрывоопасную газовоздушную смесь, что соответствует необходимому условию отнесения наружной установки к категории Ан.
За расчетный вариант принимается аварийный разрыв трубопровода налива автоцистерны со сжиженным газом, приводящий к выбросу горючей среды (ГГ) в окружающее пространство с возможностью возникновения пожара. Расчет проводится по наиболее взрывоопасному компоненту – пропану.
2.2 Определение достаточных условий отнесения к категории Ан.
а) Рассчитывается горизонтальный размер зоны, ограничивающей область концентраций, превышающих нижний концентрационный предел распространения пламени, м:
,
где m – масса горючих газов, поступивших в результате аварии в окружающее пространство, кг:
m= V · rг,
где V – объем испарившегося пропана, м3:
V = Vсуг · K,
где Vсуг – объем разлившегося СУГ, м3:
Vсуг = q · T = 0,03 · 300 = 9 м3;
K = 0,269 м3 газообразного пропана с 1 л СУГ по справочнику [10].
V = 9000 · 0,269 = 2421 кг;
rг – плотность газа при расчетной температуре, кг/м3:
кг/м3,
m= V · r = 2421 ·1,7 = 4115,7 кг,
м.
б) Рассчитывается величина избыточного давления DP, кПа, развиваемого при сгорании газовоздушной смеси:
,
,
кг,
кПа.
3 Определение категории наружной установки
Результаты расчетов критериев взрывопожарной опасности показывают, что при расчетном варианте аварии достигаются необходимые и достаточные условия (горизонтальный: размер зоны, ограничивающей газовоздушные смеси с концентрацией горючего выше НКПР, превышает 30 м и расчетное избыточное давление при сгорании газовоздушной смеси на расстоянии 30 м от наружной установки превышает 5 кПа), что позволяет отнести данную наружную установку к категории Ан.
Б.73 Расчет критериев пожарной опасности и определение категории склада гранулированной серы установки грануляции серы
1 Исходные данные
1.1 Характеристика наружной установки.
Склад гранулированной серы предназначен для хранения серы, полученной на установке грануляции серы. Склад представляет собой открытую площадку с насыпью гранулированной серы площадью 3410 м2.
Расчетная температура воздуха tр = 40 °C – абсолютная максимальная температура воздуха (для района г. Астрахани) согласно таблице 2 СНиП 23-01-99* [6].
1.2 Характеристика веществ и материалов, обращающихся (находящихся) в наружной установке, по справочным данным (приложение Г).
Сера техническая гранулированная: горючее вещество.
2 Расчет критериев пожарной опасности
2.1 Определяется необходимое условие.
В наружной установке (на складе) хранится твердое горючее вещество – сера гранулированная, которая при пересыпе может образовывать пыль, что могло бы отвечать необходимому условию отнесения наружной установки к категории Бн. Однако, учитывая исследования [12] по взрывопожароопасным свойствам серы и вывод, что пыль серы не может вызвать взрыв в закрытом помещении, заключаем, что в открытом пространстве пыль серы тем более не вызовет взрыва. Поэтому рассматривается отнесение к категории Вн. За расчетную аварийную ситуацию принимается возгорание насыпи с серой.
2.2 Определяется достаточное условие для отнесения установки к категории Вн.
Рассчитывается интенсивность теплового излучения от очага пожара q, кВт/м2:
q = Ef · Fq · t,
| где Ef | – среднеповерхностная плотность теплового излучения пламени, кВт/м2, принимается для твердых веществ равной 40 кВт/м2; |
| Fq | – угловой коэффициент облученности, определяется по формуле |
,
где Fv, FH– факторы облученности для вертикальной и горизонтальной площадок соответственно, определяемые по формулам:
;
;
;
;
;
,
| где r | – расстояние от геометрического центра пролива до облучаемого объекта, принимается равным 40 м от геометрического центра насыпи до ее края; |
| d | – эффективный диаметр пролива, м, определяется по формуле |
,
где F – площадь насыпи с серой, м2, принимается равной площади склада 3410 м2:
м;
H – высота пламени, м, определяется по формуле
,
| гдеM | – удельная массовая скорость выгорания топлива, кг/(м2·с), для серы – 0,019 кг/(м2·с); |
| rг | = 1,128 кг/м3 по таблице 6.1. |
| G | – ускорение свободного падения, равное 9,81 м/с2; |
м,
,
,
,
,
;
;
;
t – коэффициент пропускания атмосферы, определяется по формуле
t = ехр [-7 · 10-4 · (r- 0,5d)],
t = ехр [-7·10-4 · (40 - 0,5 · 65,9)] = 0,995.
Находим величину интенсивности теплового излучения, кВт:
q= 40 · 0,491 · 0,995 = 19,5 кВт.
3 Определение категории наружной установки
Расчет критериев пожарной опасности показал, что выполняются необходимое (наличие горючего твердого вещества) и достаточное (интенсивность теплового излучения от очага пожара на расстоянии 40 м превышает 4 кВт/м2) условия, что позволяет отнести данную наружную установку к категории Вн.
Б.74 Расчет критериев пожарной опасности и определение категории резервуарного парка хранения керосиновой и дизельной фракций
1 Исходные данные
1.1 Характеристика наружной установки.
Резервуарный парк хранения керосиновой и бензиновой фракций в составе: 12 резервуаров ДФ, 12 резервуаров КФ, размещенных в двух обвалованных каре (площадь каждой обваловки – 3250 м2) по 2 группы по 6 резервуаров в группе. Объем резервуара – 200 м3.
Расчетная температура воздуха tр = 34 °C – абсолютная максимальная температура воздуха (для района г. Сургута) согласно таблице 2 СНиП 23-01-99* [6].
1.2 Характеристика веществ и материалов, обращающихся (находящихся) в наружной установке, по справочным данным (приложение Г).
Керосин: легковоспламеняющаяся жидкость (ЛВЖ).
2 Расчет критериев пожарной опасности
2.1 Определение необходимого условия.
В наружной установке обращается ЛВЖ с температурой вспышки более 28 °C, способной образовывать взрывоопасную паровоздушную смесь, что отвечает необходимому условию отнесения наружной установки к категории Бн.
За расчетный вариант принимается аварийная разгерметизация резервуара с керосином, приводящая к выбросу горючей среды (ЛВЖ – керосин) в окружающее пространство с возможностью возникновения пожара.
2.2 Определение достаточных условий отнесения установки к категории Бн.
а) Рассчитывается горизонтальный размер зоны, ограничивающий область концентраций, превышающих нижний концентрационный предел распространения пламени, м:
,
| где K | – коэффициент, принимаемый равным K = 7/3600; |
| Pн | – давление насыщенных паров при расчетной температуре, кПа; |
кПа;
mп – масса паров, поступивших в открытое пространство за время полного испарения, но не более чем за 3600 с, кг:
mп = mр,
где mр – масса жидкости, испарившейся с поверхности разлива, кг:
mр= W · Fи · T,
| где T | – время испарения, с, принимается равным 3600 с; |
| W | – интенсивность испарения, кг/(с·м2); |
W = 10-6 ·
· Pн;
где M– молярная масса керосина, кг/кмоль,
W = 10-6 · 1 ·
· 0,9 = 1,1 · 10-5 кг/(с·м2);
Fи – площадь испарения, м2, принимается равной площади обваловки (3250 м2 ), так как она меньше вычисленной по п. 38 НПБ 105-03 [1] (20000 м2).
m = 1,1 · 10-5 · 3250 · 3600 = 128,7 кг;
rп – плотность паров при расчетной температуре и атмосферном давлении, кг/м3:
кг/м3,
м.
б) Рассчитывается избыточное давление, развиваемое при сгорании паровоздушных, смесей, DP, кПа:
,
,
кг,
кПа.
3 Определение категории наружной установки
Результаты расчетов критериев взрывопожарной опасности показывают, что при расчетном варианте аварии достигаются необходимые и одно из достаточных условий (расчетное избыточное давление при сгорании паровоздушной смеси на расстоянии 30 м от наружной установки превышает 5 кПа), позволяющие отнести данную наружную установку к категории Бн.
Б.75 Расчет критериев пожарной опасности и определение категории пункта налива светлых нефтепродуктов в автоцистерны
1 Исходные данные
1.1 Характеристика наружной установки.
Пункт налива светлых нефтепродуктов в автоцистерны рассчитан на налив 4 автоцистерн одновременно. Цистерна объемом 7 м3.
Расчетная температура воздуха tр = 40 °C – абсолютная максимальная температура воздуха (для района г. Астрахани) согласно таблице 2 СНиП 23-01-99* [6].
1.2 Характеристика веществ и материалов, обращающихся (находящихся) в наружной установке, по справочным данным (приложение Г).
Бензин, дизельное топливо «зимнее»; легковоспламеняющиеся жидкости (ЛВЖ).
2 Расчет критериев пожарной опасности
2.1 Определение необходимого условия.
Расчет проводится по наиболее взрывоопасному компоненту согласно ряду ЛВЖ (см. 6.4.3) – бензину.
В наружной установке обращается ЛВЖ с температурой вспышки менее 28 °C, способной образовывать взрывоопасную паровоздушную смесь, что отвечает необходимому условию отнесения наружной установки к категории Ан.
За расчетный вариант принимается аварийная разгерметизация автоцистерны с бензином, приводящая к выбросу горючей среды (ЛВЖ) в окружающее пространство с возможностью возникновения пожара.
2.2 Определение достаточных условий отнесения установки к категории Ан.
а) Рассчитывается горизонтальный размер зоны, ограничивающий область концентраций, превышающих нижний концентрационный предел распространения пламени, м:
,
| где K | – коэффициент, принимаемый равным K = T/3600; |
| Pн | – давление насыщенных паров при расчетной температуре, кПа; |
кПа;
mп – масса паров, поступивших в открытое пространство за время полного испарения, но не более чем за 3600 с, кг:
mп = mр,
где mр – масса жидкости, испарившейся с поверхности разлива, кг:
mр= W · Fи · T,
где W – интенсивность испарения, кг/(с·м2);
W = 10-6 ·
· Pн,
где M – молярная масса бензина, кг/кмоль;
W = 10-6 · 1 ·
· 42,18 = 4,1 · 10-4 кг/с·м2;
Fи – площадь испарения, м2, определяется по п. 38 НПБ 105-03 [1] из расчета, что 1 л смесей и растворов, содержащих 70 % и менее растворителей, разливается на площади 0,10 м2, следовательно, площадь пролива 7 м3 бензина составит 700 м2.
T – время испарения, с, принимается равным 3600 с;
m = 4,1 · 10-4 · 700 · 3600 = 1033,2 кг;
rп – плотность паров при расчетной температуре и атмосферном давлении, кг/м3:
кг/м3,
м.
б) Рассчитывается избыточное давление DP, развиваемое при сгорании паровоздушных смесей, кПа:
,
,
кг,
кПа.
3 Определение категории наружной установки
Результаты расчетов критериев взрывопожарной опасности показывают, что при расчетном варианте аварии достигаются необходимые и достаточные условия (горизонтальный размер зоны, ограничивающей паровоздушные смеси с концентрацией горючего выше НКПР, превышает 30 м и расчетное избыточное давление при сгорании паровоздушной смеси на расстоянии 30 м от наружной установки превышает 5 кПа), что позволяет отнести данную наружную установку к категории Ан.
Б.76 Расчет критериев пожарной опасности и определение категории насосной светлых нефтепродуктов
1 Исходные данные
1.1 Характеристика наружной установки.
Насосная предназначена для перекачки светлых нефтепродуктов. Оборудование состоит из 3 насосов перекачки дизтоплива, 2 насосов перекачки бензина производительностью 560 м3/ч и 3 насосов перекачки бензина производительностью 1250 м3/ч (0,35 м3/с) с трубопроводом диаметром 500 мм, длиной 6 м. Площадь обваловки составляет 216 м2.
Расчетная температура воздуха tр = 40 °C – абсолютная максимальная температура воздуха (для района г. Астрахани) согласно таблице 2 СНиП 23-01-99* [6].
Отключение ручное, расчетное время отключения принимается согласно НПБ 105-03 [1] равным 300 с.
1.2 Характеристика веществ и материалов, обращающихся (находящихся) в наружной установке, по справочным данным (приложение Г).
Бензин, дизельное топливо «зимнее»: легковоспламеняющиеся жидкости (ЛВЖ).
2 Расчет критериев пожарной опасности
2.1 Определение необходимого условия.
Расчет проводится по наиболее взрывоопасному компоненту – бензину.
В наружной установке обращается ЛВЖ с температурой вспышки менее 28 °C, способной образовывать взрывоопасную паровоздушную смесь, что отвечает необходимому условию отнесения наружной установки к категории Ан.
За расчетный вариант принимается разрыв трубопровода насоса по перекачке бензина, приводящий к выбросу горючей среды (ЛВЖ) в окружающее пространство с возможностью возникновения пожара. Расчет проводится по наиболее взрывоопасному компоненту – бензину.
2.2 Определение достаточных условий отнесения установки к категории Ан.
а) Рассчитывается горизонтальный размер зоны, ограничивающий область концентраций, превышающих нижний концентрационный предел распространения пламени, м:
,
| где K | – коэффициент, принимаемый равным K= T/3600; |
| Pн | – давление насыщенных паров при расчетной температуре, кПа; |
кПа;
mп – масса паров, поступивших в открытое пространство за время полного испарена, но не более чем за 3600 с, кг:
mп = mр,
где mр – масса жидкости, испарившейся с поверхности разлива, кг:
mр= W · Fи · T,
где W – интенсивность испарения, кг/(с·м2):
W = 10-6 ·
· Pн,
W = 10-6 · 1 ·
· 42,18 = 4,1 · 10-4 кг/(с·м2);
Fи – площадь испарения, м2, определяется по п. 38 НПБ 105-03 [1] из расчета, что 1 л смесей и растворов, содержащих 70 % и менее растворителей, разливается на площади 0,10 м2.
Определяется объем бензина, разлившегося в результате расчетной аварии, Vав, м3:
Vав = V1т + V2т,
где V1т – объем бензина, вышедшего из трубопровода до его отключения, м3:
V1т = q · T = 0,35 · 300 = 105 м3;
V2т – объем бензина, вышедшего из трубопровода после его отключения, м3:
V2т = p · r2 · L= 3,14 · 0,252 · 6 = 1,2 м3,
Vав = 105 + 1,2 = 106,2 м3.
За площадь испарения принимается площадь обваловки 216 м2, так как она меньше рассчитанной (10620 м2).
m = 4,1 · 10-4 · 216 · 3600 = 318,8 кг;
rп – плотность паров при расчетной температуре и атмосферном давлении, кг/м3:
кг/м3,
м.
б) Рассчитывается избыточное давление, развиваемое при сгорании паровоздушных смесей, кПа:
,
,
кг,
кПа.
3 Определение категории наружной установки
Результаты расчетов критериев взрывопожарной опасности показывают, что при расчетном варианте аварии достигаются необходимые и достаточные условия (горизонтальный размер зоны, ограничивающей паровоздушные смеси с концентрацией горючего выше НКПР, превышает 30 м и расчетное избыточное давление при сгорании паровоздушной смеси на расстоянии 30 м от наружной установки превышает 5 кПа), что позволяет отнести данную наружную установку к категории Ан.
Б.77 Расчет критериев пожарной опасности и определение категории насосной темных нефтепродуктов
1 Исходные данные
1.1 Характеристика наружной установки.
Насосная предназначена для перекачки темных нефтепродуктов в резервуарный парк и включает 3 насоса производительностью 1250 м3/ч (0,35 м3/с). Площадь обваловки составляет 58,8 м2.
Расчетная температура воздуха tр = 40 °C – абсолютная максимальная температура воздуха (для района г. Астрахани) согласно таблице 2 СНиП 23-01-99* [6].
Отключение ручное, расчетное время отключения согласно НПБ 105-03 [1] равно 300 с.
1.2 Характеристика веществ и материалов, обращающихся (находящихся) в наружной установке, по справочным данным (приложение Г).
Мазут: горючая жидкость (ГЖ).
2 Расчет критериев пожарной опасности
2.1 Определяется необходимое условие.
В наружной установке обращается ГЖ, нагретая ниже температуры вспышки, что отвечает необходимому условию отнесения наружной установки к категории Вн.
2.2 Определяется достаточное условие для отнесения установки к категории Вн.
Интенсивность теплового излучения от очага пожара (q), вызванного проливом и возгоранием мазута, рассчитывается по формуле (48) НПБ 105-03 [1]:
q = Ef · Fq · t,
| где Ef | – среднеповерхностная плотность теплового излучения пламени, кВт/м2. Значение Ef принимается по таблице 8 НПБ 105-03 [1] или при отсутствии данных допускается принимать равным 40 кВт/м2 для нефтепродуктов; |
| Fq | – угловой коэффициент облученности, определяется по формуле (51) НПБ 105-03 [1]: |
,
где Fv, FH – факторы облученности для вертикальной и горизонтальной площадок соответственно, определяемые соответственно по формулам (52) и (53) НПБ 105-03 [1]:
;
;
;
;
;
,
| где r | – расстояние от геометрического центра пролива до облучаемого объекта, м; |
| d | – эффективный диаметр пролива, м; |
| H | – высота пламени, м. |
Эффективный диаметр пролива определяется по формуле (49) НПБ 105-03 [1]:
,
| где F | – площадь пролива, м2, принимается равной площади обваловки (58,8 м2), так как она меньше вычисленной (10500 м2 ) по п. 38 НПБ 105-03 [1] из расчета, что 1 л смесей и растворов, содержащих 70 % и менее растворителей, разливается на площади 0,10 м2; |
| Vав | – объем поступившего мазута за расчетное время аварийной ситуации, м3: |
Vав = q · T = 0,35 · 300 = 105 м3,
м.
Высота пламени H, м, определяется по формуле (50) НПБ 105-03 [1]:
,
| где M | - удельная массовая скорость выгорания топлива, кг/(м2·с), для мазута - 0,04 кг/(м2·с); |
| rв | = 1,128 = 1,13 кг/м3 по таблице 6.1; |
| g | – ускорение свободного падения, равно 9,81 м/с2; |
м.
;
;
,
;
;
;
t – коэффициент пропускания атмосферы определяется по формуле
t = exp [-7 · 10-4 · (r - 0,5d)],
t = exp [-7 · 10-4 · (30 - 0,5 · 8,7)] = 0,98.
Величина интенсивности теплового излучения, кВт:
q= 40 · 0,29 · 0,98 = 11,4 кВт.
3 Определение категории наружных установок по пожарной опасности
Расчет критериев пожарной опасности показал, что выполняются необходимое (наличие ГЖ) и достаточное (интенсивность теплового излучения от очага пожара на расстоянии 30 м превышает 4 кВт/м2) условия, что позволяет отнести данную наружную установку - насосную темных нефтепродуктов – к категории Вн.
Б.78 Расчет критериев пожарной опасности и определение категории газгольдеров хранения водорода и азота
1 Исходные данные
1.1 Характеристика наружной установки.
Газгольдеры предназначены для хранения водорода и азота. На одной площадке расположены 6 газгольдеров с азотом и 4 газгольдера с водородосодержащим газом объемом 160 м3, давлением 55 кг/см2.
Расчетная температура воздуха tр = 34 °C – абсолютная максимальная температура воздуха (для района г. Сургута) согласно таблице 2 СНиП 23-01-99* [6].
1.2 Характеристика веществ и материалов, обращающихся (находящихся) в наружной установке, по справочным данным (приложение Г).
Водородосодержащий газ (по водороду H2): горючий газ (ГГ).
Азот: негорючий газ.
2 Расчет критериев пожарной опасности
2.1 Определение необходимого условия.
В наружной установке обращается горючий газ, способный образовывать взрывоопасную газовоздушную смесь, что соответствует необходимому условию отнесения наружной установки к категории Ан.
За расчетный вариант принимается аварийная разгерметизация газгольдера с ВСГ, приводящая к выбросу горючей среды (ГГ – водород) в окружающее пространство с возможностью возникновения пожара.
2.2 Определение достаточных условий отнесения к категории Ан.
а) Рассчитывается горизонтальный размер зоны, ограничивающей область концентраций, превышающих нижний концентрационный предел распространения пламени, м:
,
где rг – плотность газа при расчетной температуре, кг/м3:
кг/м3;
m– масса горючих газов, поступивших в результате аварии в окружающее пространство, кг:
m= Vав · rг,
где Vав – объем газа, выделившегося в результате расчетной аварии, м3:
Vав = Vа;
где Vа – объем газа, вышедшего из аппарата, м3:
Vа = 0,01 · P · V = 0,01 · 5393,7 · 160 = 8630 м3,
m= 8630 · 0,08 = 690,4 кг,
м.
б) Рассчитывается величина избыточного давления DP, кПа, развиваемого при сгорании газовоздушной смеси:
,
,
кг,
кПа.
3 Определение категории наружной установки
Результаты расчетов критериев взрывопожарной опасности показывают, что при расчетном варианте аварии достигаются необходимые и достаточные условия (горизонтальный размер зоны, ограничивающей паровоздушные смеси с концентрацией горючего выше НКПР, превышает 30 м и расчетное избыточное давление при сгорании паровоздушной смеси на расстоянии 30 м от наружной установки превышает 5 кПа), что позволяет отнести данную наружную установку к категории Ан.
Б.79 Расчет критериев пожарной опасности и определение категории резервуарного парка хранения изопентана и ПГФ
1 Исходные данные
1.1 Характеристика наружной установки.
Резервуарный парк, предназначенный для хранения, приема и откачки изопентана, пентан-гексановой фракции (ПГФ) и ШФЛУ, размещен на 4 обвалованных площадках по 4 резервуара в каждой (площадь каждой обваловки - 2025 м2). Объем резервуара - 600 м3.
Расчетная температура воздуха tр – 34 °C – абсолютная максимальная температура воздуха (для района г. Сургута) согласно таблице 2 СНиП 23-01-99* [6].
1.2 Характеристика веществ и материалов, обращающихся (находящихся) в наружной установке, по справочным данным (приложение Г).
Изопентан: легковоспламеняющаяся жидкость (ЛВЖ).
2 Расчет критериев пожарной опасности
2.1 Определение необходимого условия.
В наружной установке обращается ЛВЖ с температурой вспышки менее 28 °C, способной образовывать взрывоопасную паровоздушную смесь, что отвечает необходимому условию отнесения наружной установки к категории Ан.
За расчетный вариант принимается аварийная разгерметизация резервуара изопентана, приводящая к выбросу горючей среды (ЛВЖ) в окружающее пространство с возможностью возникновения пожара.
2.2 Определение достаточных условий отнесения установки к категории Ан.
а) Рассчитывается горизонтальный размер зоны, ограничивающий область концентраций, превышающих нижний концентрационный предел распространения пламени, м:
,
| где K | – коэффициент, принимаемый равным K = T/3600; |
| Pн | – давление насыщенных паров при расчетной температуре, кПа; |
кПа;
mп – масса паров, поступивших в открытое пространство за время полного испарения, но не более чем за 3600 с, кг:
mп = mр,
где mр- масса жидкости, испарившейся с поверхности разлива, кг:
mр = W · Fи · T,
где W – интенсивность испарения, кг/(с·м2);
W = 10-6 ·
· Pн,
W= 10-6 · 1 ·
· 125,89 = 1,07 · 10-3 кг/(с·м2);
Fи- площадь испарения, м2, принимается равной площади обваловки (2025 м2), так как она меньше вычисленной по п. 38 НПБ 105-03 [1] (60000 м2).
T – время испарения, с, принимается равным 3600 с.
m= 1,07 · 10-3 · 2025 · 3600 = 7800,3 кг;
rп – плотность паров при расчетной температуре и атмосферном давлении, кг/м3:
кг/м3,
м.
б) Рассчитывается избыточное давление DP, кПа, развиваемое при сгорании паровоздушной смеси.
,
,
кг,
кПа.
3 Определение категории наружной установки
Результаты расчетов критериев взрывопожарной опасности показывают, что при расчетном варианте аварии достигаются необходимые и достаточные условия (горизонтальный размер зоны, ограничивающей паровоздушные смеси с концентрацией горючего выше НКПР, превышает 30 м и расчетное избыточное давление при сгорании паровоздушной смеси на расстоянии 30 м от наружной установки превышает 5 кПа), что позволяет отнести данную наружную установку к категории Ан.
Б.80 Расчет критериев пожарной опасности и определение категории сливоналивной ж/д эстакады изопентана и ПГФ
1 Исходные данные
1.1 Характеристика наружной установки.
Сливоналивная эстакада предназначена для налива изопентана и пентан-гексановой фракции (ПГФ) в ж/д цистерны. Эстакада двухсторонняя на налив 6 ж/д цистерн с каждой стороны. Производительность – 16,6 м3/ч (0,005 м3/с).
Расчетная температура воздуха tр = 34 °C – абсолютная максимальная температура воздуха (для района г. Сургута) согласно таблице 2 СНиП 23-01-99* [6].
Отключение ручное, расчетное время отключения принимается согласно НПБ 105-03 [1] равным 300 с.
1.2 Характеристика веществ и материалов, обращающихся (находящихся) в наружной установке, по справочным данным (приложение Г).
Изопентан, пентан, гексан: легковоспламеняющиеся жидкости (ЛВЖ).
2 Расчет критериев пожарной опасности
2.1 Определение необходимого условия.
В наружной установке обращается ЛВЖ с температурой вспышки менее 28 °C, способной образовывать взрывоопасную паровоздушную смесь, что отвечает необходимому условию отнесения наружной установки к категории Ан.
За расчетный вариант принимается аварийный разрыв трубопровода налива изопентана, приводящий к выбросу горючей среды (ЛВЖ - изопентана) в окружающее пространство с возможностью возникновения пожара. Расчет проводится на изопентан – наиболее опасное (ряд ЛВЖ см. 6.4.3) вещество.
2.2 Определение достаточных условий отнесения установки к категории Ан.
а) Рассчитывается горизонтальный размер зоны, ограничивающий область концентраций, превышающих нижний концентрационный предел распространения пламени, м:
,
| где K | – коэффициент, принимаемый равным K = T/3600 = 1; |
| Pн | – давление насыщенных паров при расчетной температуре, кПа; |
кПа;
mп – масса паров, поступивших в открытое пространство за время полного испарения, но не более чем за 3600 с, кг:
m= mр,
где mр – масса жидкости, испарившейся с поверхности разлива, кг:
mр= W · Fи · T,
где W – интенсивность испарения, кг/(с·м2):
W = 10-6 ·
· Pн,
где M – молярная масса, кг/кмоль;
W= 10-6 · 1 ·
· 125,89 = 1,07 · 10-3 кг/(с·м2);
Fи – площадь испарения, м2, определяется по п. 38 НПБ 105-03 [1].
Рассчитывается объем разлившегося изопентана в результате аварии Vав, м3:
Vав = q · T= 0,005 · 300 = 1,5 м3 = 1500 л.
Площадь испарения составляет 150 м2.
m = 1,07 · 10-3 · 150 · 3600 = 577,8 кг;
rг – плотность паров при расчетной температуре и атмосферном давлении, кг/м3:
кг/м3,
м.
б) Рассчитывается избыточное давление DP, кПа, развиваемое при сгорании паровоздушной смеси:
,
,
кг,
кПа.
3 Определение категории наружной установки
Результаты расчетов критериев взрывопожарной опасности показывают, что при расчетном варианте аварии достигаются необходимые и достаточные условия (горизонтальный размер зоны, ограничивающей газовоздушные смеси с концентрацией горючего выше НКПР, превышает 30 м и расчетное избыточное давление при сгорании газовоздушной смеси на расстоянии 30 м от наружной установки превышает 5 кПа), что позволяет отнести данную наружную установку к категории.
Б.81 Расчет критериев пожарной опасности и определение категории резервуарного парка хранения реактивного топлива
1 Исходные данные
1.1 Характеристика наружной установки.
Резервуарный парк предназначен для хранения, приема и откачки реактивного топлива в составе: 3 резервуара объемом 3000 м3 каждый, площадь обваловки составляет 6325 м2.
Расчетная температура воздуха tр = 34 °C- абсолютная максимальная температура воздуха (для района г. Сургута) согласно таблице 2 СНиП 23-01-99* [6].
1.2 Характеристика веществ и материалов, обращающихся (находящихся) в наружной установке, по справочным данным (приложение Г).
Реактивное топливо (по авиационному бензину): легковоспламеняющаяся жидкость (ЛВЖ).
2 Расчет критериев пожарной опасности
2.1 Определение необходимого условия.
В наружной установке обращается ЛВЖ с температурой вспышки менее 28 °C, способной образовывать взрывоопасную паровоздушную смесь, что отвечает необходимому условию отнесения наружной установки к категории Ан.
За расчетный вариант принимается аварийная разгерметизация резервуара реактивного топлива, приводящая к выбросу горючей среды (ЛВЖ - реактивное топливо) в окружающее пространство с возможностью возникновения пожара.
2.2 Определение достаточных условий отнесения установки к категории Ан.
Рассчитывается горизонтальный размер зоны, ограничивающий область концентраций, превышающих нижний концентрационный предел распространения пламени, м:
,
| где K | – коэффициент, принимаемый равным K = T/3600; |
| Pн | – давление насыщенных паров при расчетной температуре, кПа: |
кПа;
mп – масса паров, поступивших в открытое пространство за время полного испарения, но не более чем за 3600 с, кг:
mп = mр,
где mр – масса жидкости, испарившейся с поверхности разлива, кг:
mр= W · Fи · T,
где W – интенсивность испарения, кг/(с·м2):
W = 10-6 ·
· Pн,
где M- молярная масса керосина, кг/кмоль;
W= 10-6 · 1 ·
· 18,03 = 1,8 · 10-4кг/(с·м2);
Fи – площадь испарения, м2, принимается равной площади обваловки (6325 м2), так как она меньше вычисленной по п. 38 НПБ 105-03 [1] (300 тыс. м2);
T – время испарения, с, принимается равным 3600 с.
m = 1,8 · 10-4 · 6325 · 3600 = 4098,6 кг;
rп – плотность паров при расчетной температуре и атмосферном давлении, кг/м3.
кг/м3,
м.
б) Рассчитывается избыточное давление DP, кПа, развиваемое при сгорании паровоздушной смеси:
,
,
кг,
кПа.
3 Определение категории наружной установки
Результаты расчетов критериев взрывопожарной опасности показывают, что при расчетном варианте аварии достигаются необходимые и достаточные условия (горизонтальный размер зоны, ограничивающей газовоздушные смеси с концентрацией горючего выше НКПР, превышает 30 м и расчетное избыточное давление при сгорании газовоздушной смеси на расстоянии 30 м от наружной установки превышает 5 кПа), что позволяет отнести данную наружную установку к категории Ан.
Б.82 Расчет критериев пожарной опасности и определение категории резервуарного парка хранения ДЭГ
1 Исходные данные
1.1 Характеристика наружной установки.
Резервуарный парк предназначен для хранения ДЭГ и состоит из 3 резервуаров объемом 25 м3 каждый. Площадь обваловки – 460 м2.
Расчетная температура воздуха tр = 40 °C – абсолютная максимальная температура воздуха (для района г. Ставрополя) согласно таблице 2 СНиП 23-01-99* [6].
1.2 Характеристика веществ и материалов, обращающихся (находящихся) в наружной установке, по справочным данным (приложение Г).
Диэтиленгликоль (C4H10O3): горючая жидкость (ГЖ).
2 Расчет критериев пожарной опасности
2.1 Определяется необходимое условие.
В наружной установке хранится горючая жидкость. Рабочая температура жидкости - 35 °C, что ниже температуры вспышки (124 °C), и нет условий для образования аэрозоля, что отвечает необходимому условию отнесения наружной установки к категории Вн.
За расчетную аварийную ситуацию принимается разгерметизация емкости с ДЭГ.
2.2 Рассчитывается интенсивность теплового излучения от очага пожара, вызванного проливом диэтиленгликоля:
q = Ef · Fq · t,
| где Ef | – среднеповерхностная плотность теплового излучения пламени, кВт/м2, для диэтиленгликоля принимается согласно НПБ 105-03 [1] 40 кВт/м2; |
| Fq | – угловой коэффициент облученности; |
| t | – коэффициент пропускания атмосферы. |
Эффективный диаметр пролива, м, определяется по формуле
,
где F – площадь пролива, м2, согласно п. 38 НПБ 105-03 [1] 1 л смесей и растворов, содержащих 70 % и менее растворителей, разливается на площади 0,1 м2, следовательно, 25 м3 диэтиленгликоля разольется на 2500 м2, что превышает площадь обваловки, поэтому за площадь пролива принимается площадь обваловки (460 м2):
м,
Высота пламени, м, определяется по формуле
,
| где M | – удельная массовая скорость выгорания топлива, кг/(м2·с), для диэтиленгликоля, равная 0,016 кг/(м2·с); |
| rг | = 1,128 кг/м3 по таблице 6.1, |
м.
Угловой коэффициент облученности определяется по формуле
,
где Fv, FH– факторы облученности для вертикальной и горизонтальной площадок соответственно, определяемые по формулам:
;
;
;
;
;
,
где r – расстояние от геометрического центра пролива до облучаемого объекта, принимается 30 м.
;
;
;
;
;
;
![]()
Коэффициент пропускания атмосферы определяется по формуле
t = ехр [-7 · 10-4 · (r- 0,5d)] = ехр [-7 · 10-4 ·(30 - 0,5 · 24,2)] = 0,99.
Находим величину интенсивности теплового излучения, кВт:
q= 40 · 0,149 · 0,99 = 5,9 кВт > 4 кВт.
3 Определение категории наружных установок по пожарной опасности
Расчет критериев пожарной опасности показал, что выполняются необходимое (наличие ГЖ) и достаточное (интенсивность теплового излучения от очага пожара на расстоянии 30 м превышает 4 кВт/м2) условия, что позволяет отнести данную наружную установку к категории Вн.
Б.83 Расчет критериев пожарной опасности и определение категории резервуарного парка хранения метанола
Расчет см. Б.45, приложение Б СТО Газпром 2-1.1-094.
Б.84 Расчет критериев пожарной опасности и определение категории подземного склада хранения метанола
1 Исходные данные
1.1 Характеристика наружной установки.
Склад предназначен для хранения метанола в 6 емкостях, находящихся под землей. Закачивается и откачивается метанол насосом производительностью 30 м3/ч (0,008 м3/с).
Расчетная температура воздуха tр = 34 °C – абсолютная максимальная температура воздуха (для района г. Сургута) согласно таблице 2 СНиП 23-01-99* [6].
Отключение ручное, расчетное время отключения согласно НПБ 105-03 [1] принимается равным 300 с.
1.2 Характеристика веществ и материалов, обращающихся (находящихся) на площадке.
Метанол: легковоспламеняющаяся жидкость (ЛВЖ).
2 Определение категории наружной установки
2.1 Определение необходимого условия.
В наружной установке обращается ЛВЖ с температурой вспышки менее 28 °C, способной образовывать взрывоопасную паровоздушную смесь, что отвечает необходимому условию отнесения наружной установки к категории Ан.
За расчетный вариант принимается разрыв трубопровода насоса по перекачке метанола, приводящий к выбросу горючей среды (ЛВЖ) в окружающее пространство с возможностью возникновения пожара.
2.2 Определение достаточных условий отнесения установки к категории Ан.
а) Рассчитывается горизонтальный размер зоны, ограничивающий область концентраций, превышающих нижний концентрационный предел распространения пламени, м:
,
| где K | – коэффициент, принимаемый равным K = T/3600; |
| Pн | – давление насыщенных паров при расчетной температуре, кПа: |
кПа;
mп – масса паров, поступивших в открытое пространство за время полного испарении, но не более чем за 3600 с, кг;
mп = mр,
где mр- масса жидкости, испарившейся с поверхности разлива, кг:
mр= W · Fи · T,
где W – интенсивность испарения, кг/(с·м2):
W = 10-6 ·
· Pн,
W = 10-6 · 1 ·
· 25,12 = 1,4 · 10-4 кг/(с·м2);
Fи – площадь испарения, м2, определяется по п. 38 НПБ 105-03 [1] из расчета, что 1 л смесей и растворов, содержащих 70 % и менее растворителей, разливается на площади 0,10 м2.
Рассчитывается объем метанола, разлившегося в результате аварии, Vав, м3:
Vав = q · T = 0,008 · 300 = 2,4 м3.
Расчетная площадь испарения 2,4 м3 метанола составит 240 м2;
T – время испарения, равное 3600 с;
m= 1,4 · 10-4 · 240 · 3600 = 121 кг;
rп – плотность паров при расчетной температуре и атмосферном давлении, кг/м3.
кг/м3,
м.
б) Рассчитывается избыточное давление, развиваемое при сгорании паровоздушных смесей, кПа:
,
,
кг,
кПа.
3 Определение категории наружной установки
Результаты расчетов критериев взрывопожарной опасности показывают, что при расчетном варианте аварии достигаются необходимое и одно из достаточных условий (расчетное избыточное давление при сгорании паровоздушной смеси на расстоянии 30 м от наружной установки превышает 5 кПа), позволяющие отнести данную наружную установку к категории Ан.
Б.85 Расчет критериев пожарной опасности и определение категории насосной метанола
1 Исходные данные
1.1 Характеристика наружной установки.
В насосной, предназначенной для перекачки метанола, размещены насосы откачки метанола и насосы внутрипарковой перекачки метанола производительностью 100 м3/ч (0,03 м3/с) каждый. Площадь обваловки – 108 м2.
Расчетная температура воздуха tр = 34 °C – абсолютная максимальная температура воздуха (для района г. Сургута) согласно таблице 2 СНиП 23-01-99* [6].
Отключение ручное, расчетное время отключения согласно НПБ 105-03 [1] принимается равным 300 с.
1.2 Характеристика веществ и материалов, обращающихся (находящихся) в наружной установке, по справочным данным (приложение Г).
Метанол: легковоспламеняющаяся жидкость (ЛВЖ).
2 Определение категории наружной установки
2.1 Определение необходимого условия.
Расчет проводится по метанолу.
В наружной установке обращается ЛВЖ с температурой вспышки менее 28 °C, способной образовывать взрывоопасную паровоздушную смесь, что отвечает необходимому условию отнесения наружной установки к категории Ан.
За расчетный вариант принимается разрыв трубопровода насоса по перекачке метанола, приводящий к выбросу горючей среды (ЛВЖ) в окружающее пространство с возможностью возникновения пожара.
2.2 Определение достаточных условий отнесения установки к категории Ан.
а) Рассчитывается горизонтальный размер зоны, ограничивающий область концентраций, превышающих нижний концентрационный предел распространения пламени, м:
,
| где K | – коэффициент, принимаемый равным K = T/3600; |
| Pн | – давление насыщенных паров при расчетной температуре, кПа: |
кПа;
mп – масса паров, поступивших в открытое пространство за время полного испарения, но не более чем за 3600 с, кг;
mп = mр,
где mр – масса жидкости, испарившейся с поверхности разлива, кг:
mр = W · Fи· T,
где W – интенсивность испарения, кг/(с·м2):
W = 10-6 ·
· Pн,
W = 10-6 · 1 ·
· 25,12 =1,4 · 10-4 кг/(с·м2);
Fи – площадь испарения, м2, определяется по п. 38 НПБ 105-03 [1] из расчета, что 1 л смесей и растворов, содержащих 70 % и менее растворителей, разливается на площади 0,10 м2.
Рассчитывается объем метанола, разлившегося при аварии Vав, м3:
Vав = q · T= 0,03 · 300 = 9 м3.
За площадь испарения принимается площадь обваловки (108 м2), так как она меньше рассчитанной (900 м2).
m= 1,4 · 10-4 · 108 · 3600 = 54,4 кг;
rп – плотность паров при расчетной температуре и атмосферном давлении, кг/м3:
кг/м3,
м.
б) Избыточное давление, развиваемое при сгорании паровоздушных смесей, кПа, определяется по формуле
,
,
кг,
кПа.
3 Определение категории наружной установки
Результаты расчетов критериев взрывопожарной опасности показывают, что при расчетном варианте аварии достигаются необходимое и одно из достаточных условия (расчетное избыточное давление при сгорании газовоздушной смеси на расстоянии 30 м от наружной установки превышает 5 кПа), позволяющие отнести данную наружную установку к категории Ан.
Б.86 Расчет критериев пожарной опасности и определение категории узла переключающих задвижек (манифольдной) метанола
1 Исходные данные
1.1 Характеристика наружной установки.
Узел переключающих задвижек предназначен для перераспределения потоков керосина и метанола. На площадке узла расположены трубопровод с керосином и трубопроводы с метанолом. Производительность трубопроводов - 90 м3/ч (0,025 м3/с). Площадь обваловки - 27 м2. Расчетная температура воздуха tр = 34 °C- абсолютная максимальная температура воздуха (для района г. Сургута) согласно таблице 2 СНиП 23-01-99* [6].
Отключение ручное, расчетное время отключения принимается согласно НПБ 105-03 [1] равным 300 с.
1.2 Характеристика веществ и материалов, обращающихся (находящихся) в наружной установке, по справочным данным (приложение Г).
Метанол, керосин: легковоспламеняющиеся жидкости (ЛВЖ).
2 Расчет критериев пожарной опасности
2.1 Определение необходимого условия.
В наружной установке обращается ЛВЖ с температурой вспышки менее 28 °C, способной образовывать взрывоопасную паровоздушную смесь, что отвечает необходимому условию отнесения наружной установки к категории Ан.
За расчетный вариант принимается аварийный разрыв трубопровода метанола, приводящий к поступлению горючей среды (ЛВЖ) в окружающее пространство с возможностью возникновения пожара.
2.2 Определение достаточных условий отнесения установки к категории Ан.
а) Рассчитывается горизонтальный размер зоны, ограничивающий область концентраций, превышающих нижний концентрационный предел распространения пламени, м:
,
| где K | – коэффициент, принимаемый равным K = T/3600; |
| Pн | – давление насыщенных паров при расчетной температуре, кПа: |
кПа;
mп – масса паров, поступивших в открытое пространство за время полного испарения, но не более чем за 3600 с, кг:
mп = mр,
где mр – масса жидкости, испарившейся с поверхности разлива, кг:
mр= W · Fи · T,
где W – интенсивность испарения, кг/(с·м2):
W = 10-6 ·
· Pн,
где M– молярная масса метанола, кг/кмоль;
W = 10-6 · 1 ·
· 25,12 = 1,4 · 10-4 кг/(с·м2);
Fи – площадь испарения, м2, определяется по п. 38 НПБ 105-03 [1] из расчета, что 1 л смесей и растворов, содержащих 70 % и менее растворителей, разливается на площади 0,10 м2.
Рассчитывается объем разлившегося при аварии метанола, Vав, м3:
Vав = q · T= 0,025 · 300 = 7,5 м3 = 7500 л.
За площадь испарения принимается площадь обваловки (27 м2), так как она меньше рассчитанной (750 м2).
m = 1,4 · 10-4 · 27 · 3600 = 13,6 кг;
rп – плотность паров при расчетной температуре и атмосферном давлении, кг/м3:
кг/м3,
м.
б) Рассчитывается избыточное давление DP, кПа, развиваемое при сгорании паровоздушной смеси:
,
,
кг,
кПа.
3 Определение категории наружной установки
Результаты расчетов критериев взрывопожарной опасности показывают, что при расчетном варианте аварии достигаются необходимые и одно из достаточных условий (расчетное избыточное давление при сгорании газовоздушной смеси на расстоянии 30 м от наружной установки превышает 5 кПа), позволяющие отнести данную наружную установку к категории Ан.
Б.87 Расчет критериев пожарной опасности и определение категории пункта налива метанола в автоцистерны
1 Исходные данные
1.1 Характеристика наружной установки.
Пункт налива метанола в автоцистерны рассчитан на одновременный налив двух автоцистерн максимальным объемом 20 м3, с производительностью 20 м3/ч (0,006 м3/с). Площадь обваловки – 212 м2.
Расчетная температура воздуха tр = 34 °C – абсолютная максимальная температура воздуха (для района г. Сургута) согласно таблице 2 СНиП 23-01-99* [6].
Отключение ручное, расчетное время отключения принимается согласно НПБ 105-03 [1] равным 300 с.
1.2 Характеристика веществ и материалов, обращающихся (находящихся) в наружной установке, по справочным данным (приложение Г).
Метанол: легковоспламеняющаяся жидкость (ЛВЖ).
2 Расчет критериев пожарной опасности
2.1 Определение необходимого условия.
В наружной установке обращается ЛВЖ с температурой вспышки менее 28 °C, способной образовывать взрывоопасную паровоздушную смесь, что отвечает необходимому условию отнесения наружной установки к категории Ан.
За расчетный вариант принимается аварийный разрыв трубопровода подачи метанола в автоцистерну, приводящий к поступлению горючей среды (ЛВЖ – метанол) в окружающее пространство с возможностью возникновения пожара.
2.2 Определение достаточных условий отнесения установки к категории Ан.
а) Рассчитывается горизонтальный размер зоны, ограничивающий область концентраций, превышающих нижний концентрационный предел распространения пламени, м:
,
| где K | – коэффициент, принимаемый равным K= T/3600; |
| T | – время испарения, с, принимается равным 3600 с; |
| Pн | – давление насыщенных паров при расчетной температуре, кПа: |
кПа;
mп – масса паров, поступивших в открытое пространство за время полного испарения, но не более чем за 3600 с, кг:
mп = mр,
где mр – масса жидкости, испарившейся с поверхности разлива, кг:
mр= W · Fи · T,
где W – интенсивность испарения, кг/(с·м2);
W= 10-6 ·
· Pн,
где M – молярная масса метанола, кг/кмоль;
W = 10-6 · 1 ·
· 25,12 = 1,4 · 10-4 кг/(с·м2),
Fи – площадь испарения, м2, определяется по п. 38 НПБ 105-03 [1] из расчета, что 1 л смесей и растворов, содержащих 70 % и менее растворителей, разливается на площади 0,10 м2;
Vав – объем разлившегося в результате расчетной аварии метанола, м3:
Vав = q · T = 0,006 · 300 = 1,8 м3 = 1800 л.
Площадь испарения составляет 180 м2.
m= 1,4 · 10-4 · 180 · 3600 = 90,72 кг;
rп – плотность паров при расчетной температуре и атмосферном давлении, кг/м3:
кг/м3,
м.
б) Рассчитывается величина избыточного давления DP, кПа, развиваемого при сгорании паровоздушной смеси:
,
,
кг,
кПа.
3 Определение категории наружной установки
Результаты расчетов критериев взрывопожарной опасности показывают, что при расчетном варианте аварии достигаются необходимые и одно из достаточных условий (расчетное избыточное давление при сгорании газовоздушной смеси на расстоянии 30 м от наружной установки превышает 5 кПа), позволяющие отнести данную наружную установку к категории Ан.
Б.88 Расчет критериев пожарной опасности и определение категории сливоналивной ж/д эстакады метанола
1 Исходные данные
1.1. Характеристика наружной установки.
Сливоналивная эстакада предназначена для налива метанола в ж/д цистерны и рассчитана на налив одной ж/д цистерны. Вместимость эстакады – 2 ж/д цистерны. Объем цистерны – 60 м3. Производительность налива – 100 м3/ч (0,03 м3/с). Площадь обваловки – 100 м2.
Расчетная температура воздуха tр = 34 °C – абсолютная максимальная температура воздуха (для района г. Сургута) согласно таблице 2 СНиП 23-01-99* [6].
Отключение ручное, расчетное время отключения принимается согласно НПБ 105-03 [1] равным 300 с.
1.2 Характеристика веществ и материалов, обращающихся (находящихся) в наружной установке, по справочным данным (приложение Г).
Метанол: легковоспламеняющаяся жидкость (ЛВЖ).
2 Расчет критериев пожарной опасности
2.1 Определение необходимого условия.
В наружной установке обращается ЛВЖ с температурой вспышки менее 28 °C, способной образовывать взрывоопасную паровоздушную смесь, что отвечает необходимому условию отнесения наружной установки к категории Ан.
За расчетный вариант принимается аварийный разрыв трубопровода подачи метанола в ж/д цистерну, приводящий к поступлению горючей среды (ЛВЖ) в окружающее пространство с возможностью возникновения пожара.
2.2 Определение достаточных условий отнесения установки к категории Ан.
а) Рассчитывается горизонтальный размер зоны, ограничивающий область концентраций, превышающих нижний концентрационный предел распространения пламени, м:
,
| где K | – коэффициент, принимаемый равным K= T/3600; |
| Pн | – давление насыщенных паров при расчетной температуре, кПа: |
кПа;
mп – масса паров, поступивших в открытое пространство за время полного испарения, но не более чем за 3600 с, кг:
mп = mр,
где mр – масса жидкости, испарившейся с поверхности разлива, кг:
mр = W · Fи · T,
где W – интенсивность испарения, кг/(с·м2):
W = 10-6 ·
· Pн,
где M– молярная масса метанола, кг/кмоль;
W = 10-6 · 1 ·
· 25,12 = 1,4 ·10-4 кг/(с·м2);
Fи – площадь испарения, м2, определяется по п. 38 НПБ 105-03 [1] из расчета, что 1 л смесей и растворов, содержащих 70 % и менее растворителей, разливается на площади 0,10 м2;
Vав- объем разлившегося в результате расчетной аварии метанола:
Vав = q · T = 0,03 · 300 = 9 м3 = 9000 л.
За площадь испарения принимается площадь обваловки (100 м2), так как она меньше рассчитанной (900 м2).
m= 1,4 · 10-4 · 100 · 3600 = 50,4 кг;
rп – плотность паров при расчетной температуре и атмосферном давлении, кг/м3:
кг/м3,
м.
б) Рассчитывается избыточное давление DP, кПа, развиваемое при сгорании паровоздушной смеси:
,
,
кг,
кПа.
3 Определение категории наружной установки
Результаты расчетов критериев взрывопожарной опасности показывают, что при расчетном варианте аварии достигаются необходимые и одно из достаточных условий (расчетное избыточное давление при сгорании газовоздушной смеси на расстоянии 30 м от наружной установки превышает 5 кПа), позволяющие отнести данную наружную установку к категории Ан.
Б.89 Расчет критериев пожарной опасности и определение категории электрозадвижек наливного причала
1 Исходные данные
1.1 Характеристика наружной установки.
На площадке расположены электрозадвижки, использующиеся в качестве запорной арматуры наливного причала, с трубопроводами производительностью 500 м3/ч (0,14 м3/с). По трубопроводам перекачивается бензин и дизельное топливо. Площадь обваловки электрозадвижек составляет 48 м2.
Расчетная температура воздуха tр = 34 °C – абсолютная максимальная температура воздуха (для района г. Сургута) согласно таблице 2 СНиП 23-01-99* [6].
Отключение ручное, расчетное время отключения принимается согласно НПБ 105-03 [1] равным 300 с.
1.2 Характеристика веществ и материалов, обращающихся (находящихся) в наружной установке, по справочным данным (приложение Г).
Бензин, дизельное топливо «зимнее»: легковоспламеняющиеся жидкости (ЛВЖ).
2 Расчет критериев пожарной опасности
2.1 Определение необходимого условия.
а) В наружной установке обращается ЛВЖ с температурой вспышки менее 28 °C, способной образовывать взрывоопасную паровоздушную смесь, что отвечает необходимому условию отнесения наружной установки к категории Ан.
За расчетный вариант принимается разрыв трубопровода электрозадвижки по перекачке бензина, приводящий к выбросу горючей среды (ЛВЖ) в окружающее пространство с возможностью возникновения пожара.
2.2 Определение достаточных условий отнесения установки к категории Ан.
а) Рассчитывается горизонтальный размер зоны, ограничивающий область концентраций, превышающих нижний концентрационный предел распространения пламени, м:
,
| где K | – коэффициент, принимаемый равным K = T/3600; |
| Pн | – давление насыщенных паров при расчетной температуре, кПа: |
кПа;
mп – масса паров, поступивших в открытое пространство за время полного испарения, но не более чем за 3600 с, кг:
mп = mр,
где mр – масса жидкости, испарившейся с поверхности разлива, кг:
mр = W · Fи · T,
где W – интенсивность испарения, кг/(с·м2):
W = 10-6 ·
· Pн,
где M – молярная масса бензина, кг/кмоль;
W= 10-6 · 1 ·
· 37,15 = 3,6 · 10-4 кг/(с·м2);
T– время испарения, равное 3600 с;
Fи – площадь испарения, м2, определяется по п. 38 НПБ 105-03 [1] из расчета, что 1 л смесей и растворов, содержащих 70 % и менее растворителей, разливается на площади 0,10 м2.
Определяется аварийный объем разлившегося бензина, Vав, м3:
Vав = q · T= 0,14 · 300 = 42 м3.
За площадь испарения принимается площадь обваловки (48 м2), так как она меньше вычисленной (4200 м2).
m= 3,6 · 10-4 · 48 · 3600 = 62,2 кг;
rп – плотность паров при расчетной температуре и атмосферном давлении, кг/м3:
кг/м3,
м.
б) Рассчитывается избыточное давление, развиваемое при сгорании паровоздушных смесей, кПа:
,
,
кг,
кПа.
3 Определение категории наружной установки
Результаты расчетов критериев взрывопожарной опасности показывают, что при расчетном варианте аварии достигаются необходимые и достаточные условия (горизонтальный размер зоны, ограничивающей газовоздушные смеси с концентрацией горючего выше НКПР, превышает 30 м и расчетное избыточное давление при сгорании газовоздушной смеси на расстоянии 30 м от наружной установки превышает 5 кПа), что позволяет отнести данную наружную установку к категории Ан.
Б.90 Расчет критериев пожарной опасности и определение категории резервуарного парка хранения СК
1 Исходные данные
1.1 Характеристика наружной установки.
Резервуарный парк предназначен для хранения, приема и откачки стабильного конденсата. Состоит из двух групп по 4 резервуара. Объем резервуара – 600 м3. Площадь обваловки одной группы составляет 7395 м2.
Расчетная температура воздуха tр = 34 °C – абсолютная максимальная температура воздуха (для района г. Сургута) согласно таблице 2 СНиП 23-01-99* [6].
1.2 Характеристика веществ и материалов, обращающихся (находящихся) в наружной установке, по справочным данным (приложение Г).
Конденсат (по н-пентану): легковоспламеняющаяся жидкость (ЛВЖ).
2 Расчет критериев пожарной опасности
2.1 Определение необходимого условия.
В наружной установке обращается ЛВЖ с температурой вспышки менее 28 °C, способной образовывать взрывоопасную паровоздушную смесь, что отвечает необходимому условию отнесения наружной установки к категории Ан.
За расчетный вариант принимается аварийная разгерметизация резервуара с конденсатом, приводящая к выбросу горючей среды (ЛВЖ) в окружающее пространство с возможностью возникновения пожара.
2.2 Определение достаточных условий отнесения установки к категории Ан.
а) Рассчитывается горизонтальный размер зоны, ограничивающий область концентраций, превышающих нижний концентрационный предел распространения пламени, м:
,
| где K | – коэффициент, принимаемый равным K= T/3600 = 1; |
| Pп | - давление насыщенных паров при расчетной температуре, кПа: |
кПа;
mп – масса паров, поступивших в открытое пространство за время полного испарения, но не более чем за 3600 с, кг:
mп = mр,
где mр – масса жидкости, испарившейся с поверхности разлива, кг:
mр= W · Fи · T,
где W – интенсивность испарения, кг/(с·м2);
W = 10-6 ·
· Pн,
W = 10-6 · 1 ·
· 93,3 = 7,9 · 10-4 кг/(с·м2);
Fи – площадь испарения, м2, принимается равной площади обваловки (7395 м2), так как она меньше вычисленной по п. 38 НПБ 105-03 [1] (60 000 м2).
m= 7,9 · 10-4 · 7395 · 3600 = 21031,4 кг;
rп – плотность паров при расчетной температуре и атмосферном давлении, кг/м3:
кг/м3,
м.
б) Рассчитывается величина избыточного давления DP, кПа, развиваемого при сгорании паровоздушной смеси:
,
,
кг,
кПа.
3 Определение категории наружной установки
Результаты расчетов критериев взрывопожарной опасности показывают, что при расчетном варианте аварии достигаются необходимые и достаточные условия (горизонтальный размер зоны, ограничивающей паровоздушные смеси с концентрацией горючего выше НКПР, превышает 30 м и расчетное избыточное давление при сгорании газовоздушной смеси на расстоянии 30 м от наружной установки превышает 5 кПа), что позволяет отнести данную наружную установку к категории Ан.
Б.91 Расчет критериев пожарной опасности и определение категории узла приема и хранения одоранта
1 Исходные данные
1.1 Характеристика наружной установки.
Узел предназначен для приема и хранения одоранта и состоит из трех танков (емкостей) с одорантом объемом 42 м3 и трубопровода для подачи одоранта. Площадь обваловки составляет 80 м2.
Расчетная температура воздуха tр = 42 °C- абсолютная максимальная температура воздуха (для района г. Оренбурга) согласно таблице 2 СНиП 23-01-99* [6].
1.2 Характеристика веществ и материалов, обращающихся (находящихся) в наружной установке, по справочным данным (приложение Г).
Одорант (этилмеркаптан): легковоспламеняющаяся жидкость (ЛВЖ).
2 Расчет критериев пожарной опасности
2.1 Определение необходимого условия.
В наружной установке обращается ЛВЖ с температурой вспышки менее 28 °C, способная образовывать взрывоопасную паровоздушную смесь, что отвечает необходимому условию отнесения наружной установки к категории Ан.
За расчетный вариант принимается аварийная разгерметизация танка с одорантом, приводящая к выбросу горючей среды (ЛВЖ - этил меркаптана) в окружающее пространство с возможностью возникновения пожара.
2.2 Определение достаточных условий отнесения установки к категории Ан.
а) Рассчитывается горизонтальный размер зоны, ограничивающей область концентраций, превышающих нижний концентрационный предел распространения пламени, м:
,
| где K | – коэффициент, принимаемый равным K= T/3600 = 1; |
| Pп | - давление насыщенных паров при расчетной температуре 66,7 кПа, по Техническим условиям [13]; |
| mп | – масса паров, поступивших в открытое пространство за время полного испарения, но не более чем за 3600 с, кг: |
mп = mр,
где mр – масса жидкости, испарившейся с поверхности разлива, кг:
mр= W · Fи · T,
| где T | – время испарения, с, принимается равным 3600 с: |
| W | – интенсивность испарения, кг/(с·м2); |
W = 10-6 ·
· Pн,
где M– молярная масса этилмеркаптана, кг/кмоль;
W = 10-6 · 1 ·
· 66,7 = 5,3 · 10-4 кг/(с·м2);
Fи – площадь испарения, м2, принимается равной площади обваловки (80 м2), так как она меньше площади, вычисленной по п. 38 НПБ 105-03 [1] (4200 м2).
m= 5,3 · 10-4 · 80 · 3600 = 152,64 кг;
rп – плотность паров при расчетной температуре и атмосферном давлении, кг/м3:
кг/м3,
м.
б) Рассчитывается избыточное давление, развиваемое при сгорании паровоздушных смесей, кПа:
,
,
кг,
кПа.
3 Определение категории наружной установки
Результаты расчетов критериев взрывопожарной опасности показывают, что при расчетном варианте аварии достигаются необходимое и достаточные условия (горизонтальный размер зоны, ограничивающей паровоздушные смеси с концентрацией горючего выше НКПР, превышает 30 м и расчетное избыточное давление при сгорании паровоздушной смеси на расстоянии 30 м от наружной установки превышает 5 кПа), что позволяет отнести данную наружную установку к категории Ан.
Б.92 Расчет критериев пожарной опасности и определение категории ТЗП
1 Исходные данные
1.1 Характеристика наружной установки.
ТЗП – топливозаправочный пункт – размещен на одной обвалованной площадке (площадь обваловки – 15 ´ 3 м), где происходит перекачивание бензина с автоцистерны в подземную емкость и заправка топливных баков автомобилей. Автоцистерна трехсекционная ППЦ-30-9342-ЗУ-01 вместимостью 30000 л (по 10000 л в каждом отсеке).
Расчетная температура воздуха tр = 34 °C – абсолютная максимальная температура воздуха (для района г. Санкт-Петербурга) согласно таблице 2 СНиП 23-01-99* [6].
1.2 Характеристика веществ и материалов, обращающихся (находящихся) в наружной установке, по справочным данным (приложение Г).
Бензин: легковоспламеняющаяся жидкость (ЛВЖ).
2 Расчет критериев пожарной опасности
2.1 Определение необходимого условия.
В наружной установке обращается ЛВЖ с температурой вспышки менее 28 °C, способная образовывать взрывопожароопасную паровоздушную смесь, что соответствует необходимому условию отнесения наружной установки к категории Ан.
За расчетный вариант принимается аварийная разгерметизация перекачивающего шланга, приводящая к проливу ЛВЖ на площадку с возможностью возникновения пожара.
2.2 Определение достаточных условий отнесения к категории Ан.
а) Рассчитывается горизонтальный размер зоны, ограничивающей область концентраций, превышающих нижний концентрационный предел распространения пламени, м:
,
| где K | – коэффициент, принимаемый равным K= T/3600; |
| Pн | – давление насыщенных паров при расчетной температуре, кПа: |
кПа;
rп – плотность паров бензина при расчетной температуре, кг/м3:
кг/м3;
mп – масса паров, поступивших в открытое пространство за время полного испарения, но не более 3600 с, кг;
mп = mр,
где mр – масса жидкости, испарившейся с поверхности разлива, кг:
mр= W · Fи · T,
где W– интенсивность испарения, кг/(с·м2);
W = 10-6 ·
· Pн,
W= 10-6 ·
· 36,57 = 3,5710-4 кг/(с·м2);
Fи – площадь испарения, м2, принимается равной площади обваловки 45 м2;
m= 3,57 · 10-4 · 45 · 3600 = 57,83 кг,
м.
б) Рассчитывается величина избыточного давления АР, кПа, развиваемого при сгорании паровоздушных смесей:
,
,
кг,
кПа.
3 Определение категории наружной установки
Результаты расчетов критериев взрывопожарной опасности показывают, что при расчетном варианте аварии достигаются необходимые и достаточные условия (горизонтальный размер зоны, ограничивающей паровоздушные смеси с концентрацией горючего выше НКПР, превышает 30 м и расчетное избыточное давление при сгорании паровоздушной смеси на расстоянии 30 м от наружной установки превышает 5 кПа), что позволяет отнести данную наружную установку к категории Ан.
Б.93 Расчет критериев пожарной опасности и определение категории открытого распределительного устройства напряжения (ОРУН)
Расчет см. Б.43, приложение Б СТО Газпром 2-1.1-094.
Б.94 Расчет критериев пожарной опасности и определение категории установки ЭХЗ
1 Исходные данные
1.1 Характеристика наружной установки.
Установка электрохимзащиты размещается вдоль трассы магистрального газопровода и представляет собой отдельно стоящий металлический шкаф (1,5 ´ 1,0 м) с оборудованием ЭХЗ.
1.2 Характеристика веществ и материалов, обращающихся (находящихся) в наружной установке, по справочным данным (приложение Г).
Карболит, ПВХ: твердые горючие не пылящие материалы. Суммарная масса горючих материалов: карболит – 5 кг; ПВХ – 2 кг.
2 Расчет критериев пожарной опасности
2.1 Определение необходимого условия.
В наружной установке находятся твердые горючие материалы, что отвечает необходимому условию отнесения наружной установки к категории Вн. За расчетную аварийную ситуацию принимается возгорание электропроводки.
2.2 Определение достаточного условия для отнесения установки к категории Вн.
Рассчитывается интенсивность теплового излучения от очага пожара q, кВт/м2:
q = Ef · Fq · t,
| где Ef | – среднеповерхностная плотность теплового излучения пламени, кВт/м2, принимается для твердых веществ равной 40 кВт/м2; |
| Fq | – угловой коэффициент облученности, определяется по формуле |
,
где Fv, FH – факторы облученности для вертикальной и горизонтальной площадок соответственно, определяемые по формулам:
;
;
;
;
;
,
| где r | – расстояние от геометрического центра пожара до облучаемого объекта, принимается равным 30 м; |
| d | – эффективный диаметр, м, определяется по формуле |
,
где F – площадь шкафа, м2,
м;
H – высота пламени, м, определяется по формуле
,
| где M | – удельная массовая скорость выгорания топлива, кг/(м2·с), для карболитовых изделий 0,0095 кг/(м2·с); |
| rв | = 1,128 кг/м3 по таблице 6.1; |
| g | – ускорение свободного падения, равное 9,81 м/с2; |
м;
;
;
;
;
;
;
;
t- коэффициент пропускания атмосферы, определяется по формуле
t = exp [-7 · 10-4 · (r - 0,5d)],
t = ехр [-7 · 10-4 · (30 - 0,5 · 1,38)] = 0,98.
Находим величину интенсивности теплового излучения, кВт/м2:
q= 40 · 0,00064 · 0,98 = 0,025 кВт/м2.
3 Определение категории наружных установок по пожарной опасности
Расчет критериев пожарной опасности показал, что выполняется необходимое (наличие горючего твердого вещества) условие отнесения установки к категории Вн, однако достаточное (интенсивность теплового излучения от очага пожара на расстоянии 30 м не превышает 4 кВт/м2) условие не выполняется, поэтому данную установку следует отнести к категории Дн.
Б.95 Расчет критериев пожарной опасности и определение категории блока приема и откачки шлама и нефтепродуктов резервуарного парка комплекса очистных сооружений (КОС)
1 Исходные данные
1.1 Характеристика наружной установки.
Блок приема и откачки шлама и нефтепродуктов резервуарного парка КОС состоит из следующего оборудования, размещенного на одной обвалованной площадке (площадь обваловки – 12000 м2): аварийного резервуара, резервуара очищенных стоков, нефтеловушек, буферных резервуаров, емкости нефтешлама и подземных емкостей нефтепродуктов с производительностью закачки нефтепродуктов 45 м3/ч (0,013 м3/с). Состав нефтепродуктов: бензин (10 % об.), керосин (10 % об.), дизельное топливо (10 % об.), мазут (30 % об.).
Расчетная температура воздуха tр = 34 °C – абсолютная максимальная температура воздуха (для района г. Сургута) согласно таблице 2 СНиП 23-01-99* [6].
Отключение ручное, расчетное время отключения принимается согласно НПБ 105-03 [1] равным 300 с.
1.2 Характеристика веществ и материалов, обращающихся (находящихся) в наружной установке, по справочным данным (приложение Г).
Бензин, дизельное топливо «зимнее», керосин: легковоспламеняющиеся жидкости (ЛВЖ).
Мазут: горючая жидкость (ГЖ).
2 Расчет критериев пожарной опасности
2.1 Определение необходимого условия.
В наружной установке обращается ЛВЖ с температурой вспышки менее 28 °C, способная образовывать взрывопожароопасную паровоздушную смесь, что соответствует необходимому условию отнесения наружной установки к категории Ан.
За расчетный вариант принимается аварийный разрыв трубопровода по перекачке в подземную емкость нефтепродуктов, приводящий к выбросу горючей среды (ЛВЖ) в окружающее пространство с возможностью возникновения пожара. Расчет проводится по наиболее взрывоопасному компоненту – бензину.
2.2 Определение достаточных условий отнесения к категории Ан.
а) Рассчитывается горизонтальный размер зоны, ограничивающей область концентраций, превышающих нижний концентрационный предел распространения пламени, м:
,
где Pн – давление насыщенных паров при расчетной температуре, кПа:
кПа,
mп – масса паров бензина, поступивших в открытое пространство за время полного испарения, но не более чем за 3600 с, кг:
mп = mр,
где mр – масса бензина, испарившегося с поверхности разлива, кг:
mр = W · Fи · T,
где W- интенсивность испарения, кг/(с·м2):
W = 10-6 ·
· Pн,
W = 10-6 · 1 ·
· 3,7 = 3,6 · 10-5 кг/(с·м2);
Fи – площадь испарения, м2, определяется по п. 38 НПБ 105-03 [1] из расчета, что 1 л смесей и растворов, содержащих 70 % и менее растворителей, разливается на площади 0,10 м2;
Vав – объем бензина м3, разлившегося при расчетной аварии:
Vав = q · T = 0,013 · 300 = 3,9 м3 = 3900 л.
Рассчитанная площадь испарения составляет 390 м2.
m= 3,6 · 10-5 · 390 · 3600 = 50,5 кг;
rп – плотность паров при расчетной температуре и атмосферном давлении, кг/м3:
кг/м3,
м.
б) Рассчитывается величина избыточного давления DP, кПа, развиваемого при сгорании паровоздушных смесей:
,
,
кг,
кПа.
3 Определение категории наружной установки
Результаты расчетов критериев взрывопожарной опасности показывают, что при расчетном варианте аварии достигаются необходимые и одно из достаточных условий (расчетное избыточное давление при сгорании паровоздушной смеси на расстоянии 30 м от наружной установки превышает 5 кПа), позволяющие отнести данную наружную установку к категории Ан.
Б.96 Расчет критериев пожарной опасности и определение категории разделочных резервуаров резервуарного парка КОС
1 Исходные данные
1.1 Характеристика наружной установки.
Разделочные резервуары (2 шт.) размещены на одной обвалованной площадке (площадь обваловки – 1575 м2) и представляют собой емкости объемом 100 м3 каждая, заполненные на 10 % нефтью и на 90 % водой.
Расчетная температура воздуха tр = 34 °C – абсолютная максимальная температура воздуха (для района г. Сургута) согласно таблице 2 СНиП 23-01-99* [6].
1.2 Характеристика веществ и материалов, обращающихся (находящихся) в наружной установке, по справочным данным (приложение Г).
Нефть: легковоспламеняющаяся жидкость (ЛВЖ).
Суммарная молярная масса: 300 кг/кмоль.
Плотность: 950 кг/м3.
Нижний концентрационный предел распространения пламени: 1,2 % об.
Удельная теплота сгорания: 46,024 МДж/кг.
Температура вспышки: менее 28 °C.
2 Расчет критериев пожарной опасности
2.1 Определение необходимого условия.
В наружной установке обращается ЛВЖ с температурой вспышки менее 28 °C, способная образовывать взрывопожароопасную паровоздушную смесь, что соответствует необходимому условию отнесения наружной установки к категории Ан.
За расчетный вариант принимается аварийная разгерметизация разделочной емкости, приводящая к выбросу горючей среды (ЛВЖ) в окружающее пространство с возможностью возникновения пожара.
2.2 Определение достаточных условий отнесения к категории Ан.
а) Рассчитывается горизонтальный размер зоны, ограничивающей область концентраций, превышающих нижний концентрационный предел распространения пламени, м:
,
| где K | – коэффициент, принимаемый равным K= T/3600; |
| T | – время испарения, с, принимается равным 3600 с; |
| Pн | – давление насыщенных паров при расчетной температуре, кПа: |
кПа;
mп – масса паров, поступивших в открытое пространство за время полного испарения, но не более чем за 3600 с, кг:
mп = mр,
где mр- масса нефти, испарившейся с поверхности разлива, кг:
mp = W · Fи · T,
где W– интенсивность испарения, кг/(с·м2):
W = 10-6 ·
· Pн,
где M-молярная масса бензина, кг/кмоль;
W = 10-6 · 1 ·
· 0,46 = 0,8 · 10-5 кг/(с·м2);
Fи – площадь испарения, м2, принимается равной площади обваловки (1575 м2), так как она меньше вычисленной по п. 38 НПБ 105-03 [1] (15000 м2),
m= 0,8 · 10-5 · 1575 · 3600 = 45,36 кг;
rп – плотность паров нефти при расчетной температуре и атмосферном давлении, кг/м3:
кг/м3,
м.
б) Рассчитывается величина избыточного давления DP, кПа, развиваемого при сгорании паровоздушных смесей:
,
,
кг,
кПа.
3 Определение категории наружной установки
Результаты расчетов критериев взрывопожарной опасности показывают, что при расчетном варианте аварии достигаются необходимые и одно из достаточных условий (расчетное избыточное давление при сгорании паровоздушной смеси на расстоянии 30 м от наружной установки превышает 5 кПа), позволяющие отнести данную наружную установку к категории Ан.
Б.97 Расчет критериев пожарной опасности и определение категории резервуаров-аккумуляторов КОС
1 Исходные данные
1.1 Характеристика наружной установки.
Резервуары-аккумуляторы КОС представляют собой емкости с водометанольной смесью (содержание метанола 2 %) объемом 10 тыс. м3.
1.2 Характеристика веществ и материалов, обращающихся (находящихся) в наружной установке, по справочным данным (приложение Г).
Водометанольная смесь (с содержанием метанола 2 %): негорючая жидкость.
2 Расчет критериев пожарной опасности
Расчет не производится.
3 Определение категории наружной установки
Для данной установки выполняются необходимое и достаточное условия (наличие в наружной установке в основном негорючих веществ и материалов в холодном состоянии при том, что наружная установка не относится к категориям Ан, Бн, Вн или Гн), что позволяет отнести ее к категории Дн.
Б.98 Расчет критериев пожарной опасности и определение категории резервуаров сброса аварийных илов КОС
1 Исходные данные
1.1 Характеристика наружной установки.
Резервуары сброса аварийных илов КОС представляют собой емкости для сброса аварийных илов объемом 5 тыс. м3.
1.2 Характеристика веществ и материалов, обращающихся (находящихся) в наружной установке, по справочным данным (приложение Г).
Аварийные илы (смесь воды и ила): негорючая смесь.
2 Расчет критериев пожарной опасности
Расчет не требуется.
3 Определение категории наружной установки
Для данной установки выполняются необходимое и достаточное условия (наличие в наружной установке в основном негорючих веществ и материалов в холодном состоянии при том, что наружная установка не относится к категориям Ан, Бн, Вн или Гн), что позволяет отнести ее к категории Дн.
Б.99 Расчет критериев пожарной опасности и определение категории резервуарного парка хранения ГСМ
1 Исходные данные
1.1 Характеристика наружной установки.
Резервуарный парк хранения ГСМ вместимостью 500 м3, площадью 50 ´ 10,5 м состоит из 10 блоков. Каждый блок состоит из двух резервуаров объемом 25 м3 каждый и оборудуется системой подогрева (до 35 °C), подключенной к тепловым сетям. Все резервуары склада размещаются в поддоне на случай разлива. Поддон разделен на отсеки для каждого вида продукта.
Расчетная температура воздуха tр = 40 °C – абсолютная максимальная температура воздуха (для района г. Ставрополя) согласно таблице 2 СНиП 23-01-99* [6].
1.2 Характеристика веществ и материалов, обращающихся (находящихся) в наружной установке, по справочным данным (приложение Г).
Масла (турбинное, компрессорное), диэтиленгликоль (ДЭГ) – горючие жидкости (ГЖ).
2 Расчет критериев пожарной опасности
2.1 Определение необходимого условия.
В наружной установке обращаются горючие жидкости, нагретые ниже их температуры вспышки и при отсутствии возможности образования аэрозоля, т.е. коэффициент участия горючего во взрыве Z принимается равным нулю (согласно таблице 2 НПБ 105-03 [1]), что соответствует необходимому условию отнесения установки к категории Вн.
За расчетную аварийную ситуацию принимается разгерметизация резервуара с маслом с последующим возгоранием паров с площади разлива.
2.2 Определение достаточного условия отнесения установки к категории Вн.
Интенсивность теплового излучения от очага пожара (q), вызванного проливом масла, рассчитывается по формуле (48) НПБ 105-03 [1]
q = Ef · Fq ·t,
где Ef– среднеповерхностная плотность теплового излучения пламени, кВт/м2.
Значение Ef принимается по таблице 8 НПБ 105-03 [1] или при отсутствии данных допускается принимать равным 40 кВт/м2 для нефтепродуктов;
Fq- угловой коэффициент облученности, определяется по формуле (51) НПБ 105-03 [1]:
,
где Fv, FH– факторы облученности для вертикальной и горизонтальной площадок соответственно, определяемые соответственно по формулам (52) и (53) НПБ 105-03 [1]:
;
;
;
;
;
,
| где r | – расстояние от геометрического центра пролива до облучаемого объекта, м; |
| d | – эффективный диаметр пролива, м; |
| H | – высота пламени, м. |
Эффективный диаметр пролива определяется по формуле (49) НПБ 105-03 [1].
,
где F – площадь пролива, м2.
Принимаем площадь пролива равной площади поддона одного отсека 50 ´ 15 м2.
м.
Высота пламени H, м, определяется по формуле (50) НПБ 105-03 [1] j
,
| где M | – удельная массовая скорость выгорания топлива, кг/(м2·с), принимаем по таблице 8 НПБ 105-03 [1] для масла 0,04 кг/(м2·с); |
| rв | = 1,13 кг/м3 по таблице 6.1; |
| g | – ускорение свободного падения, равно 9,81 м/с2; |
м.
;
;
,
;
;
,
t – коэффициент пропускания атмосферы определяется по формуле
t = ехр [-7 · 10-4 · (30 - 0,5 · 25,86)] = 0,99.
Находим величину интенсивности теплового излучения, кВт:
q= 40 · 0,29 · 0,99 = 11,5 кВт.
3 Определение категории наружных установок по пожарной опасности
Расчет критериев пожарной опасности показал, что выполняются необходимое (наличие ГЖ) и достаточное (интенсивность теплового излучения от очага пожара на расстоянии 30 м превышает 4 кВт/м2) условия, позволяющие отнести резервуарный парк маслохозяйства КЦ к категории Вн.
Б.100 Расчет критериев пожарной опасности и определение категории резервуарного парка хранения дизтоплива
Расчет см. Б.49, приложение Б СТО Газпром 2-1.1-094.
Б.101 Расчет критериев пожарной опасности и определение категории склада тарного хранения ГСМ
Расчет см. Б.52, приложение Б СТО Газпром 2-1.1-094.
Б.102 Расчет критериев пожарной опасности и определение категории открытого склада хранения металла
1 Исходные данные
1.1 Характеристика наружной установки.
Склад представляет собой площадку с навесом для хранения металлических изделий.
1.2 Характеристика веществ и материалов, обращающихся (находящихся) в наружной установке, по справочным данным (приложение Г).
Металл: негорючие материалы в холодном состоянии.
2 Расчет критериев пожарной опасности
Расчет не производится.
3 Определение категории наружной установки
Для данной установки выполняются необходимое и достаточное условия (наличие в наружной установке негорючих материалов в холодном состоянии, притом что наружная установка не относится к категориям Ан, Бн, Вн или Гн), что позволяет отнести ее к категории Дн.
Б.103 Расчет критериев пожарной опасности и определение категории парка хранения азота
1 Исходные данные
1.1 Характеристика наружной установки.
Парк хранения азота включает 6 газгольдеров, предназначенных для хранения азота.
1.2 Характеристика веществ и материалов, обращающихся (находящихся) в наружной установке, по справочным данным (приложение Г).
Азот: негорючий газ.
2 Расчет критериев пожарной опасности
Расчет не производится.
3 Определение категории наружной установки
Для данной установки выполняются необходимое и достаточное условия (наличие в наружной установке негорючих веществ и материалов в холодном состоянии при том, что наружная установка не относится к категориям Ан, Бн, Вн или Гн), что позволяет отнести ее к категории Дн.
Приложение В
(справочное)
Определение категорий взрывопожарной и пожарной опасности типопредставителей зданий объектов транспортировки, подземного хранения и переработки газа ОАО «Газпром»
B.1 Определение категории взрывопожарной и пожарной опасности здания узла подключения КС к МГ
Расчет см. А.2.2, приложение А СТО Газпром 2-1.1-094.
В.2 Определение категории взрывопожарной и пожарной опасности здания блока сепарации
1 Исходные данные
Общая площадь помещений F = 1008 м2.
Суммарная площадь помещений категории А составляет FА = 1008 м2.
2 Определение категории здания по взрывопожарной и пожарной опасности
FА = 1008 м2 = 100 % общей площади здания, следовательно здание категории А.
В.3 Определение категории взрывопожарной и пожарной опасности здания установки очистки газа (пылеуловителей)
Расчет см. А.2.3, приложение А СТО Газпром 2-1.1-094.
В.4 Определение категории взрывопожарной и пожарной опасности здания КЦ
1 Исходные данные
Общая площадь помещений F = 2703 м2.
Площадь помещения категории А составляет FА = 2584 м2.
Площадь помещения категории В2 составляет FВ2 = 34 м2.
Площадь помещения категории В3 составляет FВ3 = 71 м2.
Площадь помещения категории В4 составляет FВ4 = 14 м2.
2 Определение категории здания по взрывопожарной и пожарной опасности
FА = 2584 м2 = 95,6 % общей площади здания, больше 5 % и больше 200 м2, следовательно здание относится к категории А.
В.5 Определение категории взрывопожарной и пожарной опасности укрытия турбоагрегата
1 Исходные данные
Общая площадь помещений F = 315 м2.
Площадь помещения категории А составляет FА = 315 м2.
2 Определение категории здания по взрывопожарной и пожарной опасности
FА = 315 м2 = 100 % общей площади здания, следовательно здание категории А.
В.6 Определение категории взрывопожарной и пожарной опасности укрытия поршневого компрессора ГПА
1 Исходные данные
Общая площадь помещений F = 140 м2.
Площадь помещения категории А составляет FА = 35 м2.
Площадь помещения категории В1 составляет FВ1 = 84 м2.
Площадь помещения категории В3 составляет FВ3 = 12 м2.
Площадь помещения категории В4 составляет FВ4 = 9 м2.
2 Определение категории здания по взрывопожарной и пожарной опасности
FА = 35 м2 = 25 % общей площади здания, больше 5 %, следовательно здание относится к категории А.
В.7 Определение категории взрывопожарной и пожарной опасности блок-бокса ГПА
Расчет см. А.2.9, приложение А СТО Газпром 2-1.1-094.
В.8 Определение категории взрывопожарной и пожарной опасности здания УПТПИГ
Расчет см. А.2.30, приложение А СТО Газпром 2-1.1-094.
В.9 Определение категории взрывопожарной и пожарной опасности здания запорной арматуры топливного и пускового газа
Расчет см. А.2.31, приложение А СТО Газпром 2-1.1-094.
В.10 Определение категории взрывопожарной и пожарной опасности блок-бокса фильтров газа собственных нужд
Расчет см. А.2.38, приложение А СТО Газпром 2-1.1-094.
В.11 Определение категории взрывопожарной и пожарной опасности здания подготовки масла общецеховой системы маслоснабжения КЦ
1 Исходные данные
Общая площадь помещений F = 36 м2.
Площадь помещения категории В1 составляет FВ1 = 36 м2.
2 Определение категории здания по взрывопожарной и пожарной опасности
FВ1 = 36 м2 = 100 % общей площади здания, следовательно здание категории В.
В.12 Определение категории взрывопожарной и пожарной опасности здания насосной склада сжиженных газов
1 Исходные данные
Общая площадь помещений F = 792 м2.
Площадь помещения категории А составляет FА = 792 м2.
2 Определение категории здания по взрывопожарной и пожарной опасности
FА = 792 м2 = 100 % общей площади здания, следовательно здание категории А.
В.13 Определение категории взрывопожарной и пожарной опасности здания насосно-компрессорного отделения СОГ
1 Исходные данные
Общая площадь помещений F= 144 м2.
Площадь помещений категории А составляет FА = 144 м2.
2 Определение категории здания по взрывопожарной и пожарной опасности
FА = 144 м2 = 100 % общей площади здания, следовательно здание категории А.
В.14 Определение категории взрывопожарной и пожарной опасности блок-бокса насосной ДЭГ
1 Исходные данные
Общая площадь помещений F = 36 м2.
Площадь помещений категории В2 составляет FВ2 = 36 м2.
2 Определение категории здания по взрывопожарной и пожарной опасности
FВ2 = 36 м2 = 100 % общей площади здания, следовательно здание категории В.
В.15а Определение категории взрывопожарной и пожарной опасности блок-бокса ГИС
1 Исходные данные
Общая площадь помещений F = 13,5 м2.
Площадь помещения категории А составляет FА = 13,5 м2.
2 Определение категории здания по взрывопожарной и пожарной опасности
FА = 13,5 м2 = 100 % общей площади здания, следовательно здание категории А.
В.15б Определение категории взрывопожарной и пожарной опасности блок-бокса приборного ГИС
Блок-бокс состоит из одного приборного помещения ГИС.
1 Исходные данные
1.1 Характеристика блок-бокса (помещения).
Длина l = 6 м, ширина b = 3 м, высота h= 2,3 м.
Минимальное расстояние от поверхности пожарной нагрузки до нижнего пояса ферм перекрытия H составляет 1 м.
1.2 Характеристика веществ и материалов, обращающихся (находящихся) в помещении, по справочным данным (приложение Г).
Карболит, ПВХ, полистирол, текстолит: твердые горючие не пылящие материалы.
1.3 Характеристика технологического процесса и оборудования.
В приборном помещении ГИС размещены приборы контроля и управления загазованности, охранно-пожарной сигнализации, искробезопасных барьеров, компьютеры.
Суммарная масса горючих материалов: карболит – 3 кг; ПВХ – 5 кг; полистирол – 3 кг; текстолит – 5 кг. Пожарная нагрузка размещена равномерно по всей площади помещения.
2 Расчет критериев пожарной опасности
2.1 Определение необходимых условий.
а) В помещении находятся твердые не пылящие горючие материалы, что соответствует необходимому условию отнесения помещения к одной из пожароопасных категорий (от В1 до В4).
б) Для конкретизации категории рассчитываются: пожарная нагрузка Q, МДж, и удельная пожарная нагрузка g, МДж/м2.
Q = (3 · 26,9) + (5 · 20,7) + (3 · 39,8) + (5 · 20,9) = 408,1 МДж,
МДж/м2.
Рассчитанная удельная пожарная нагрузка соответствует категории В4 (1 ¸ 180 МДж/м2) по таблице 4 НПБ 105-03 [1].
2.2 Определение достаточного условия отнесения помещения к категории В4.
Способ размещения пожарной нагрузки не соответствует нормируемому п. 25 НПБ 105-03 [1], так как невозможно выделить участки категории В4 площадью 10 м2 с расстояниями между ними более предельных.
3 Определение категории помещения
Результаты расчетов критериев пожарной опасности показывают, что выполняется необходимое условие для отнесения помещения к категории В4, однако достаточное условие не выполняется (способ размещения пожарной нагрузки не соответствует нормируемому), поэтому помещение следует относить к категории В3.
4 Исходные данные блок-бокса
Общая площадь блок-бокса равна площади помещения FВ3 = 13,5 м2.
5 Определение категории здания по взрывопожарной и пожарной опасности
FВ3 = 13,5 м2 = 100 % общей площади здания, следовательно здание категории В.
В.15в Определение категории взрывопожарной и пожарной опасности блок-бокса операторной ГИС
Блок-бокс состоит из одного помещения операторной ГИС.
1 Исходные данные
1.1 Характеристика блок-бокса (помещения).
Длина l = 8 м, ширина b = 3 м, высота h= 3 м.
Минимальное расстояние от поверхности пожарной нагрузки до нижнего пояса ферм перекрытия H составляет 1,5 м.
1.2 Характеристика веществ и материалов, обращающихся (находящихся) в помещении, по справочным данным (приложение Г).
Карболит, ПВХ, полистирол, текстолит: твердые горючие не пылящие материалы.
1.3 Характеристика технологического процесса и оборудования.
В помещении операторной ГИС осуществляется контроль и управление техпроцессами и находятся пульт управления, столы, компьютеры.
Суммарная масса горючих материалов: ПВХ – 7 кг; текстолит – 5 кг; полистирол – 5 кг; ДСП – 100 кг. Пожарная нагрузка размещена на участке площадью S = 12 м2.
2 Расчет критериев пожарной опасности
2.1 Определение необходимых условий.
а) В помещении находятся твердые не пылящие горючие материалы, что соответствует необходимому условию отнесения помещения к одной из пожароопасных категорий (от В1 до В4).
б) Для конкретизации категории рассчитываются: пожарная нагрузка Q, МДж, и удельная пожарная нагрузка g, МДж/м2.
,
Q = (7 · 20,7) + (5 · 20,9) + (5 · 39) + (100 · 13,8) = 1772,65 МДж,
МДж.
Рассчитанная удельная пожарная нагрузка соответствует категории В4 (1 ¸ 180 МДж/м2) по таблице 4 НПБ 105-03 [1].
2.2 Определение достаточного условия отнесения помещения к категории В4.
Способ размещения пожарной нагрузки не соответствует нормируемому п. 25 НПБ 105-03 [1], так как невозможно выделить участки категории В4 площадью 10 м2 с расстояниями между ними более предельных.
3 Определение категории помещения
Результаты расчетов критериев пожарной опасности показывают, что выполняется необходимое условие для отнесения помещения к категории В4, однако достаточное условие не выполняется (способ размещения пожарной нагрузки не соответствует нормируемому), поэтому помещение следует относить к категории В3.
4 Исходные данные блок-бокса
Общая площадь блок-бокса равна площади помещения FВ3 = 24 м2.
5 Определение категории здания по взрывопожарной и пожарной опасности
FВ3 = 24 м2 = 100 % общей площади здания, следовательно здание категории В.
В.16 Определение категории взрывопожарной и пожарной опасности блок-бокса АГРС
1 Исходные данные
Общая площадь помещений F = 109 м2.
Площадь помещения категории А составляет FА = 109 м2.
2 Определение категории здания по взрывопожарной и пожарной опасности
FА = 109 м2 = 100 % общей площади здания, следовательно здание категории А.
В.17 Определение категории взрывопожарной и пожарной опасности блок-бокса редуцирования газа
Расчет см. А.2.37, приложение А СТО Газпром 2-1.1-094.
В.18 Определение категории взрывопожарной и пожарной опасности блок-бокса переключений
Расчет см. А.2.1, приложение А СТО Газпром 2-1.1-094.
В.19 Определение категории взрывопожарной и пожарной опасности здания узла замера газа
Расчет см. А.2.32, приложение А СТО Газпром 2-1.1-094.
В.20 Определение категории взрывопожарной и пожарной опасности блок-бокса аппаратуры замера газа
1 Исходные данные
Общая площадь помещений F = 36 м2.
Площадь помещения категории А составляет FА = 36 м2.
2 Определение категории здания по взрывопожарной и пожарной опасности
FА = 36 м2 = 100 % общей площади здания, следовательно здание категории А.
В.21 Определение категории взрывопожарной и пожарной опасности блок-бокса ГРП
Расчет см. А.2.28, приложение А СТО Газпром 2-1.1-094.
В.22 Определение категории взрывопожарной и пожарной опасности блок-бокса насосной воды холодного цикла
1 Исходные данные
Общая площадь помещений F = 36 м2.
Площадь помещений категории Д составляет FД = 36 м2.
2 Определение категории здания по взрывопожарной и пожарной опасности
FД = 36 м2 = 100 % общей площади здания, следовательно здание категории Д.
В.23 Определение категории взрывопожарной и пожарной опасности здания пункта замера НГКС парка приема и хранения углеводородов
1 Исходные данные
Общая площадь помещений F = 18 м2.
Площадь помещения категории А составляет FА = 18 м2.
2 Определение категории здания по взрывопожарной и пожарной опасности
FА = 18 м2 = 100 % общей площади здания, следовательно здание категории А.
В.24 Определение категории взрывопожарной и пожарной опасности здания компрессорной сырьевого газа
1 Исходные данные
Общая площадь помещений F= 226 м2.
Площадь помещений категории А составляет FА = 195 м2.
Площадь помещения категории В3 составляет FВ3 = 31 м2.
2 Определение категории здания по взрывопожарной и пожарной опасности
FА = 195 м2 = 86,3 % общей площади здания, больше 5 %, следовательно здание относится к категории А.
В.25 Определение категории взрывопожарной и пожарной опасности здания цеха УСК
1 Исходные данные
Общая площадь помещений F = 1601 м2.
Площадь помещений категории А составляет FА = 1601 м2.
2 Определение категории здания по взрывопожарной и пожарной опасности
FА = 1601 м2 = 100 % общей площади здания, следовательно здание категории А.
В.26 Определение категории взрывопожарной и пожарной опасности здания цеха печей УСК
1 Исходные данные
Общая площадь помещений F = 983 м2.
Площадь помещения категории А составляет FА = 756 м2.
Площадь помещения категории В4 составляет FВ4 = 208 м2.
Площадь помещения категории Д составляет FД = 19 м2.
2 Определение категории здания по взрывопожарной и пожарной опасности
FА = 756 м2 = 76,9 % общей площади здания, что больше 5 % и больше 200 м2, следовательно здание относится к категории А.
В.27 Определение категории взрывопожарной и пожарной опасности здания насосной УСК
1 Исходные данные
Общая площадь помещений F = 714 м2.
Площадь помещений категории А составляет FА = 696 м2.
Площадь помещения категории Д составляет FД = 18 м2.
2 Определение категории здания по взрывопожарной и пожарной опасности
FА = 696 м2 = 97,5 % общей площади здания, что больше 5 % и больше 200 м2, следовательно здание относится к категории А.
В.28 Определение категории взрывопожарной и пожарной опасности здания насосной пропан-бутановой фракции БИИУПП
1 Исходные данные
Общая площадь помещений F = 432 м2.
Площадь помещения категории А составляет FА = 288 м2.
Площадь помещения категории В4 составляет FВ4 = 144 м2.
2 Определение категории здания по взрывопожарной и пожарной опасности
FА = 288 м2 = 66,7 % общей площади здания, больше 5 % и больше 200 м2, следовательно здание относится к категории А.
В.29 Определение категории взрывопожарной и пожарной опасности здания установки стабилизации газового конденсата и обработки сточных вод
1 Исходные данные
Общая площадь помещений F = 648 м2.
Площадь помещений категории А составляет FА = 648 м2.
2 Определение категории здания по взрывопожарной и пожарной опасности
FА = 648 м2 = 100 % общей площади здания, следовательно здание категории А.
В.30 Определение категории взрывопожарной и пожарной опасности здания машзала установки осушки и отбензинивания газа
1 Исходные данные
Общая площадь помещений F = 1998 м2.
Площадь помещений категории А составляет FА = 1998 м2.
2 Определение категории здания по взрывопожарной и пожарной опасности
FА = 1998 м2 = 100 % общей площади здания, следовательно здание категории А.
В.31 Определение категории взрывопожарной и пожарной опасности здания насосной продуктов разделения ПБФ БИИУПП
1 Исходные данные
Общая площадь помещений F = 216 м2.
Площадь помещения категории А составляет FА = 216 м2.
2 Определение категории здания по взрывопожарной и пожарной опасности
FА = 216 м2 = 100 % общей площади здания, следовательно здание к категории А.
В.32 Определение категории взрывопожарной и пожарной опасности здания насосной ПГФ, изопентана БИИУПП
1 Исходные данные
Общая площадь помещений F = 216 м2.
Площадь помещения категории А составляет FА = 216 м2.
2 Определение категории здания по взрывопожарной и пожарной опасности
FА = 216 м2 = 100 % общей площади здания, следовательно здание категории А.
В.33 Определение категории взрывопожарной и пожарной опасности здания насосной стабильного конденсата
1 Исходные данные
Общая площадь помещений F = 360 м2.
Площадь помещения категории А составляет FА = 360 м2.
2 Определение категории здания по взрывопожарной и пожарной опасности
FA = 360 м2 = 100 % общей площади здания, следовательно здание категории А.
В.34 Определение категории взрывопожарной и пожарной опасности здания насосной блока ЭЛОУ КУПГК
1 Исходные данные
Общая площадь помещений F = 648 м2.
Площадь помещения категории А составляет FА = 648 м2.
2 Определение категории здания по взрывопожарной и пожарной опасности
FА = 648 м2 = 100 % общей площади здания, следовательно здание категории А.
В.35 Определение категории взрывопожарной и пожарной опасности здания насосной блока атмосферной перегонки КУПГК
1 Исходные данные
Общая площадь помещений F = 648 м2.
Площадь помещения категории А составляет FА = 648 м2.
2 Определение категории здания по взрывопожарной и пожарной опасности
FА = 648 м2 = 100 % общей площади здания, следовательно здание категории А.
В.36 Определение категории взрывопожарной и пожарной опасности здания насосной блока вторичной перегонки КУПГК
1 Исходные данные
Общая площадь помещений F = 576 м2.
Площадь помещений категории А составляет FА = 576 м2.
2 Определение категории здания по взрывопожарной и пожарной опасности
FА = 576 м2 = 100 % общей площади здания, следовательно здание категории А.
В.37 Определение категории взрывопожарной и пожарной опасности здания насосной блока очистки и получения сжиженных газов КУПГК
1 Исходные данные
Общая площадь помещений F = 792 м2.
Площадь помещения категории А составляет FА = 792 м2.
2 Определение категории здания по взрывопожарной и пожарной опасности
FA = 792 м2 = 100 % общей площади здания, следовательно здание категории А.
В.38 Определение категории взрывопожарной и пожарной опасности здания насосной установки гидроочистки
1 Исходные данные
Общая площадь помещений F = 648 м2.
Площадь помещения категории А составляет FА = 648 м2.
2 Определение категории здания по взрывопожарной и пожарной опасности
FA = 648 м2 = 100 % общей площади здания, следовательно здание категории А.
В.39 Определение категории взрывопожарной и пожарной опасности здания компрессорной установки гидроочистки
1 Исходные данные
Общая площадь помещений F = 324 м2.
Площадь помещения категории А составляет FА = 324 м2.
2 Определение категории здания по взрывопожарной и пожарной опасности
FA = 324 м2 = 100 % общей площади здания, следовательно здание категории А.
В.40 Определение категории взрывопожарной и пожарной опасности здания компрессорной УКР
1 Исходные данные
Общая площадь помещений F = 894 м2.
Площадь помещений категории А составляет FA = 894 м2.
2 Определение категории здания по взрывопожарной и пожарной опасности
FА = 894 м2 = 100 % общей площади здания, следовательно здание категории А.
В.41 Определение категории взрывопожарной и пожарной опасности здания насосной УКР
1 Исходные данные
Общая площадь помещений F = 498 м2.
Площадь помещения категории А составляет FА = 498 м2.
2 Определение категории здания по взрывопожарной и пожарной опасности
FА = 498 м2 = 100 % общей площади здания, следовательно здание категории А.
В.42 Определение категории взрывопожарной и пожарной опасности здания насосной секции гидроочистки керосиновой фракции установки гидроочистки керосина и дизельного топлива (КОМТ)
1 Исходные данные
Общая площадь помещений F = 360 м2.
Площадь помещения категории А составляет FА = 360 м2.
2 Определение категории здания по взрывопожарной и пожарной опасности
FА = 360 м2 = 100 % общей площади здания, следовательно здание категории А.
В.43 Определение категории взрывопожарной и пожарной опасности здания насосной секции каталитического риформинга БФ КОМТ
1 Исходные данные
Общая площадь помещений F = 432 м2.
Площадь помещения категории А составляет FА = 432 м2.
2 Определение категории здания по взрывопожарной и пожарной опасности
FА = 432 м2 = 100 % общей площади здания, следовательно здание категории А.
В.44 Определение категории взрывопожарной и пожарной опасности здания насосной секции предварительной гидроочистки БФ установки каталитического риформинга КОМТ
1 Исходные данные
Общая площадь помещений F= 240 м2.
Площадь помещения категории А составляет FA = 240 м2.
2 Определение категории здания по взрывопожарной и пожарной опасности
FA = 240 м2 = 100 % общей площади здания, следовательно здание категории А.
В.45 Определение категории взрывопожарной и пожарной опасности здания газовой компрессорной КОМТ
1 Исходные данные
Общая площадь помещений F = 1296 м2.
Площадь помещения категории А составляет FA= 1296 м2.
2 Определение категории здания по взрывопожарной и пожарной опасности
FА = 1296 м2 = 100 % общей площади здания, следовательно здание категории А.
В.46 Определение категории взрывопожарной и пожарной опасности здания насосной установки моторных топлив
1 Исходные данные
Общая площадь помещений F= 307 м2.
Площадь помещения категории А составляет FА = 307 м2.
2 Определение категории здания по взрывопожарной и пожарной опасности
FА = 307 м2 = 100 % общей площади здания, следовательно здание категории А.
В.47 Определение категории взрывопожарной и пожарной опасности здания узла приготовления и ввода присадок
1 Исходные данные
Общая площадь помещений F = 144 м2.
Площадь помещения категории Б составляет FБ = 144 м2.
2 Определение категории здания по взрывопожарной и пожарной опасности
FБ = 144 м2 = 100 % общей площади здания, следовательно здание категории Б.
Б.48 Определение категории взрывопожарной и пожарной опасности здания компрессорной опытно-промышленной установки каталитического риформинга «Петрофак»
1 Исходные данные
Общая площадь помещений F = 318 м2.
Площадь помещений категории А составляет FА = 318 м2.
2 Определение категории здания по взрывопожарной и пожарной опасности
FА = 318 м2 = 100 % общей площади здания, следовательно здание категории А.
В.49 Определение категории взрывопожарной и пожарной опасности здания водородной компрессорной
1 Исходные данные
Общая площадь помещений F = 734 м2.
Площадь помещения категории А составляет FА = 144 м2.
Площадь помещения категории В2 составляет FВ2 = 50 м2.
Площадь помещения категории В3 составляет FВ3 = 540 м2.
2 Определение категории здания по взрывопожарной и пожарной опасности
FА = 144 м2 = 19,6 % общей площади здания, что больше 5 %, т.е. здание категории А.
В.50 Определение категории взрывопожарной и пожарной опасности здания установки печного производства углерода
1 Исходные данные
Общая площадь помещений F = 3518,8 м2.
Площадь помещения категории А составляет FА = 2782 м2.
Площадь помещения категории В1 составляет FВ1 = 672 м2.
Площадь помещения категории В4 составляет FВ4 = 64,8 м2.
2 Определение категории здания по взрывопожарной и пожарной опасности
FА = 2782 м2 = 79,1 % общей площади здания, больше 5 % и больше 200 м2, следовательно здание относится к категории А.
В.51 Определение категории взрывопожарной и пожарной опасности здания насосной жидкого сырья
1 Исходные данные
Общая площадь помещений F = 39 м2.
Площадь помещения категории А составляет FА = 39 м2.
2 Определение категории здания по взрывопожарной и пожарной опасности
FА = 39 м2 = 100 % общей площади здания, следовательно здание категории А.
B.52 Определение категории взрывопожарной и пожарной опасности здания пирометрической установки термического производства углерода (УТПУ)
В здании находятся два помещения: помещение пирометрической и помещение вентиляторной.
1 Исходные данные для определения категорий помещений
1.1 Характеристика помещений.
Длина l = 37 м, ширина b= 7,7 м, высота h= 4,3 м. (Помещение вентиляторной расположено под помещением пирометрической и имеет те же геометрические размеры.)
Расчетная температура воздуха tр = 35 °C – абсолютная максимальная температура воздуха (для района г. Ухты) согласно таблице 2 СНиП 23-01-99* [6].
а) Помещение пирометрической
1.2 Характеристика веществ и материалов, обращающихся (находящихся) в помещении, по справочным данным (приложение Г).
Природный газ: горючий газ (ГГ) сжигается в качестве топлива и сырья одновременно.
Водород: горючий газ (ГГ).
1.3 Характеристика технологического процесса и оборудования.
Термический (пиролизный) техуглерод получается при разложении углеводородного сырья под воздействием высокой температуры насадки генератора. Процесс является периодическим с чередованием периодов разогрева насадки и разложения. В топочной камере газогенератора при смешивании газа и технологического воздуха происходит процесс горения. Топочные газы нагревают насадку и футеровку шахт газогенераторов до 1450 - 1500 °C.
Реакция полного горения предельных углеводородов:
CnH2n+2 + 2nO2® nCO2 + 2nH2O + Q ккал.
Реакция неполного горения:
CH4 + 1,5O2® СО + 2H2O + Q ккал.
В газогенераторе имеется дымовой клапан, который является запорным органом в период пиролиза. При открытом дымовом клапане топочные газы через дымовую трубу выводятся в атмосферу. В период пиролиза при закрытом дымовом клапане углеродогазовая смесь по переходному патрубку поступает для охлаждения в трубу «Вентури» – скоростной охладитель. После пиролиза происходит процесс сдува углеродогазовой смеси в сдувочную систему улавливания. Продолжительность пиролиза – 5 мин. Производительность – 300 кг/ч (по углероду).
Разложение углеводородов в период пиролиза происходит следующим образом:
CnH2n+2 + 1500 °C® C + 2H-Q ккал.
Расход сухого вуктыльского газа на пиролиз – 3200 м3/ч (0,88 м3/с).
Средний состав отходящих газов процесса пиролиза, в % об. на сухой газ: H2 – 85,3; CO- 1,0; CH4- 9,9; CnH2n- 1,3; N2- 2,5.
2 Расчет критериев пожарной опасности
2.1 Определение необходимого условия.
В помещении обращаются горючие газы, что соответствует необходимому условию отнесения помещения к категории А.
За расчетный вариант принимается аварийный разрыв переходного патрубка на охладитель, приводящий к выбросу углеродогазовой смеси в помещение с возможностью пожара. Расчет проводится на водород, наиболее взрывоопасный газ.
2.2 Определение достаточного условия отнесения помещения к категории А.
Рассчитывается избыточное давление взрыва DP, кПа, по формуле (1гу) для водорода:
,
| где Vп | = 37 · 7,7 · 4,3 = 1225,1 м3; |
| Vг | – объем водорода в отходящей от процесса пиролиза углеродогазовой смеси с учетом исходных данных составляет, м3: |
Vг = 0,88 · 300 · 0,853 = 225,2 м3,
кПа.
3 Определение категории помещения
Результаты расчетов критериев взрывопожарной опасности показывают, что при расчетном варианте аварии достигаются необходимое (наличие в помещении ГГ) и достаточное (расчетное избыточное давление при сгорании газовоздушной смеси превышает 5 кПа) условия для отнесения данного помещения к категории А.
б) Помещение вентиляторной
1.2 Характеристика веществ и материалов, обращающихся (находящихся) в помещении, по справочным данным (приложение Г).
ПВХ, крафт-бумага, брезент – твердые горючие материалы.
Суммарная масса ПВХ – 1,5 кг, крафт-бумаги – 4 кг, брезента – 1,5 кг.
1.3 Характеристика технологического процесса и оборудования.
В помещении вентиляторной размещены вентиляторы типа ВМ-40 для подачи технологического воздуха на топку газогенераторов. На каждый блок смонтировано по два вентилятора: один – в работе, второй – в резерве (всего 20 ед.).
2 Расчет критериев пожарной опасности
2.1 Определение необходимых условий.
а) В помещении находятся горючие твердые материалы, что соответствует необходимому условию отнесения помещения к одной из пожароопасных категорий (от В1 до В4).
б) Для конкретизации категории рассчитываются: пожарная нагрузка Q, МДж, и удельная пожарная нагрузка g, МДж/м2.
,
Q = 20 (1,5 · 20,7 + 4 · 13,4 + 1,5 · 18,84) = 2258,0 МДж,
МДж/м2.
За площадь размещения пожарной нагрузки принимается площадь помещения. Рассчитанная удельная пожарная нагрузка соответствует категории В4 (g= 1 ¸ 180 МДж/м2) по таблице 4 НПБ 105-03 [1].
2.2 Определение достаточного условия.
Способ размещения пожарной нагрузки не соответствует нормируемому п. 25 НПБ 105-03 [1], так как в помещении нельзя выделить участки категории В4 с площадью размещения пожарной нагрузки 10 м2 с расстоянием между ними более предельных.
3 Определение категории помещения
Результаты расчетов критериев пожарной опасности показывают, что выполняется необходимое условие (рассчитанная удельная пожарная нагрузка соответствует категории В4) для отнесения помещения к категории В4, однако достаточное условие (способ размещения пожарной нагрузки в помещении) не выполняется, поэтому данное помещение следует отнести к категории В3.
4 Исходные данные для определения категории здания
Общая площадь помещений F = 570 м2.
Площадь помещения категории А составляет FА = 285 м2.
Площадь помещений категории В3 составляет FВ3 = 285 м2.
5 Определение категории здания по взрывопожарной и пожарной опасности
FА = 285 м2 = 50 % общей площади здания, больше 5 %, следовательно здание относится к категории А.
В.53 Определение категории взрывопожарной и пожарной опасности здания углеродоосадителей УТПУ
1 Исходные данные
Общая площадь помещений F = 159 м2.
Площадь помещения категории А составляет FА = 87 м2.
Площадь помещения категории В3 составляет FВ3 = 72 м2.
2 Определение категории здания по взрывопожарной и пожарной опасности
FА = 87 м2 = 54,7 % общей площади здания, больше 5 %, следовательно здание относится к категории А.
В.54 Определение категории взрывопожарной и пожарной опасности здания насосной орошения УТПУ
1 Исходные данные
Общая площадь помещений F = 72 м2.
Площадь помещения категории Д составляет FД = 72 м2.
2 Определение категории здания по взрывопожарной и пожарной опасности
FД = 72 м2 = 100 % общей площади здания, следовательно здание категории Д.
В.55 Определение категории взрывопожарной и пожарной опасности здания камеры сгорания производства канального (спец.) техуглерода
Здание состоит из одного помещения камеры сгорания.
1 Исходные данные для определения категорий помещений
1.1 Характеристика помещений.
Длина l = 35 м, ширина b = 3,6 м, высота h = 3,8 м.
Расчетная температура воздуха tр = 35 °C – абсолютная максимальная температура воздуха (для района г. Ухты) согласно таблице 2 СНиП 23-01-99* [6].
1.2 Характеристика веществ и материалов, обращающихся (находящихся) в помещении, по справочным данным (приложение Г).
Природный газ: горючий газ (ГГ) – сжигается в качестве топлива и сырья одновременно.
Технический углерод рыхлый – горючая пыль.
1.3 Характеристика технологического процесса и оборудования.
Принцип получения канального техуглерода заключается в осаждении частичек техуглерода из диффузионного пламени на осадительной металлической поверхности при сжигании природного газа. Смешение газа и воздуха происходит в результате диффузии, и фронт горения представляет собой границу между газом и воздухом. Кислород воздуха потребляется во фронте горения и не проникает внутрь потока газа. Во фронте горения возникает достаточно высокая температура, которая приводит к термическому разложению и образованию частиц техуглерода в слоях газа, прилегающих к фронту горения. Таким образом, хотя в камеру подается воздуха в 3-4 раза больше, чем требуется для полного сгорания газа, образование техуглерода происходит при термическом разложении углеводородов без доступа воздуха по реакции CnH2n+2® nC + H2. Образующийся в пламени горелок техуглерод осаждается на движущейся вдоль камеры платформе из швеллерных балок. С них техуглерод снимается горизонтальными и вертикальными скребками. Производительность газа на одну камеру – 150 м3/ч (0,04 м3/с). Выход по техуглероду - 75 кг/ч (0,02 кг/с), по водороду принимается (по уравнению реакции) 25 кг/ч (0,007 кг/с). Температура нагрева камеры – 350 °C.
2 Расчет критериев пожарной опасности
2.1 Определение необходимого условия.
В помещении обращаются ГГ, способные образовывать взрывоопасные смеси с воздухом, что соответствует необходимому условию отнесения помещения к категории А.
За расчетный вариант принимается аварийное прекращение подачи газа, приводящее к тому, что часть секций в камерах, а также полностью камеры могут потухнуть, при этом в камерах может образоваться взрывоопасная смесь газа с воздухом, которая воспламенится от не потухших секций или соседних камер, и произойдет взрыв. Расчет проводится на природный газ.
2.2 Определение достаточного условия отнесения помещения к категории А.
Рассчитывается избыточное давление взрыва DP, кПа, по формуле (1гу) для метана:
,
| где Vп | = 35 · 3,6 · 3,8 = 478,8 м3; |
| Vг | – объем газа, поступивший в помещение в результате аварии, с учетом исходных данных и плотности при температуре нагрева камеры, м3: |
Vг = 0,04 · 300 · 0,3 = 3,6 м3,
кПа.
3 Определение категории помещения
Результаты расчетов критериев взрывопожарной опасности показывают, что при расчетном варианте аварии достигаются необходимое и достаточное условия для отнесения данного помещения к категории А.
4 Исходные данные
Общая площадь здания равна площади помещения категории A (FА = 126 м2).
5 Определение категории здания по взрывопожарной и пожарной опасности
FА = 126 м2 = 100 % общей площади здания, следовательно здание категории А.
В.56 Определение категории взрывопожарной и пожарной опасности здания грануляции
1 Исходные данные
Общая площадь помещений F = 432 м2.
Площадь помещения категории Б составляет FБ = 432 м2.
2 Определение категории здания по взрывопожарной и пожарной опасности
FБ = 432 м2 = 100 % общей площади здания, следовательно здание категории Б.
В.57 Определение категории взрывопожарной и пожарной опасности здания упаковочной гранулированного технического углерода
1 Исходные данные
Общая площадь помещений F = 432 м2.
Площадь помещения категории Б составляет FБ = 432 м2.
2 Определение категории здания по взрывопожарной и пожарной опасности
FБ = 432 м2 = 100 % общей площади здания, следовательно здание категории Б.
В.58 Определение категории взрывопожарной и пожарной опасности здания установки сепарации пластового газа высокого давления
1 Исходные данные
Общая площадь помещений F = 216 м2.
Площадь помещений категории А составляет FА = 216 м2.
2 Определение категории здания по взрывопожарной и пожарной опасности
FА = 216 м2 = 100 % общей площади здания, следовательно здание относится к категории А.
В.59 Определение категории взрывопожарной и пожарной опасности здания установки очистки газа от сероводорода и углекислоты
1 Исходные данные
Общая площадь помещений F = 864 м2.
Площадь помещения категории А составляет FА = 864 м2.
2 Определение категории здания по взрывопожарной и пожарной опасности
FА = 864 м2 = 100 % общей площади здания, следовательно здание относится к категории А.
В.60 Определение категории взрывопожарной и пожарной опасности здания установки получения серы
1 Исходные данные
Общая площадь помещений F = 2838 м2.
Площадь помещений категории А составляет FА = 2838 м2.
2 Определение категории здания по взрывопожарной и пожарной опасности
FА = 2838 м2 = 100 % общей площади здания, следовательно здание относится к категории А.
В.61 Определение категории взрывопожарной и пожарной опасности здания установки очистки газа от кислых компонентов с повторным компримированием
1 Исходные данные
Общая площадь помещений F = 2016 м2.
Площадь помещения категории А составляет FА = 1296 м2.
Площадь помещений категории В1 составляет FВ1 = 720 м2.
2 Определение категории здания по взрывопожарной и пожарной опасности
FА = 1296 м2 = 64,3 % общей площади здания, больше 5 % и больше 200 м2, следовательно здание относится к категории А.
В.62 Определение категории взрывопожарной и пожарной опасности здания ГРС
1 Исходные данные
Здание ГРС состоит из одного технологического помещения категории А. Площадь помещения категории А составляет FА = 109 м2.
2 Определение категории здания по взрывопожарной и пожарной опасности
FА = 109 м2 = 100 % общей площади здания, следовательно здание категории А.
В.63 Определение категории взрывопожарной и пожарной опасности здания гелиевых установок
1 Исходные данные
Общая площадь помещений F = 7436 м2.
Площадь помещения категории В3 составляет FВ3 = 3145 м2.
Площадь помещения категории Д составляет FД = 4291 м2.
2 Определение категории здания по взрывопожарной и пожарной опасности
FВ3 = 3145 м2 = 42,3 % общей площади здания, больше 10 %, следовательно здание относится к категории В.
В.64 Определение категории взрывопожарной и пожарной опасности здания разделения газа
1 Исходные данные
Общая площадь помещений F = 4185 м2.
Площадь помещений категории А составляет FА = 4096 м2.
Площадь помещения категории В3 составляет FВ3 = 89 м2.
2 Определение категории здания по взрывопожарной и пожарной опасности
FА = 4096 м2 = 97,9 % общей площади здания, больше 5 % и больше 200 м2, следовательно здание относится к категории А.
В.65 Определение категории взрывопожарной и пожарной опасности здания машзала азотно-кислородной станции
1 Исходные данные
Общая площадь помещений F = 505 м2.
Площадь помещений категории В3 составляет FВ3 = 463 м2.
Площадь помещений категории Д составляет FД = 42 м2.
2 Определение категории здания по взрывопожарной и пожарной опасности
FВ3 = 463 м2 = 91,7 % общей площади здания, больше 10 %, следовательно здание относится к категории В.
В.66 Определение категории взрывопожарной и пожарной опасности здания установки регенерации метанола
1 Исходные данные
Общая площадь помещений F = 141 м2.
Площадь помещения категории А составляет FА = 141 м2.
2 Определение категории здания по взрывопожарной и пожарной опасности
FА = 141 м2 = 100 % общей площади здания, следовательно здание категории А.
В.67 Определение категории взрывопожарной и пожарной опасности здания химлаборатории
1 Исходные данные
Общая площадь помещений F = 89 м2.
Площадь помещений категории В3 составляет FВ3 = 52 м2.
Площадь помещений категории В4 составляет FВ4 = 37 м2.
2 Определение категории здания по взрывопожарной и пожарной опасности
FВ3 = 52 м2 = 58,4 % общей площади здания, больше 10 %, следовательно здание относится к категории В.
В.68 Определение категории взрывопожарной и пожарной опасности здания ЦЗЛ
1 Исходные данные
Общая площадь помещений F = 3365 м2.
Площадь помещений категории А составляет FА = 69 м2.
Площадь помещений категории В3 составляет FВ3 = 1952,5 м2.
Площадь помещений категории В4 составляет FВ4 = 1343,5 м2.
2 Определение категории здания по взрывопожарной и пожарной опасности
FА = 69 м2 = 2,1 % общей площади здания, менее 5 % и менее 200 м2, следовательно здание не относится к категории А.
FВ3 = 1952,5 м2 = 58 % общей площади здания, больше 5 %, следовательно здание относится к категории В.
В.69 Определение категории взрывопожарной и пожарной опасности здания лаборатории контроля производства
1 Исходные данные
Общая площадь помещений F= 528 м2.
Площадь помещений категории А составляет FА = 21 м2.
Площадь помещений категории В3 составляет FВ3 = 227 м2.
Площадь помещений категории В4 составляет FВ4 = 280 м2.
2 Определение категории здания по взрывопожарной и пожарной опасности
FА = 21 м2 = 4 % общей площади здания, менее 5 % и менее 200 м2, следовательно здание не относится к категории А.
FВ3 = 227 м2 = 43 % общей площади здания, больше 5 %, следовательно здание относится к категории В.
В.70 Определение категории взрывопожарной и пожарной опасности здания установки наполнения и хранения баллонов с гелием
1 Исходные данные
Общая площадь помещений F = 4344 м2.
Площадь помещения категории В3 составляет FВ3 = 80 м2.
Площадь помещений категории В4 составляет FВ4 = 317 м2.
Площадь помещений категории Д составляет FД = 3947 м2.
2 Определение категории здания по взрывопожарной и пожарной опасности
FВ3 = 80 м2 = 1,8 % общей площади здания, меньше 10 %, следовательно здание не относится к категории В.
FВ4 + FД = 317 + 3947 = 4264 м2 = 98,2 % общей площади здания, следовательно здание относится к категории Д.
В.71 Определение категории взрывопожарной и пожарной опасности здания ГНС
1 Исходные данные
Общая площадь помещений F = 108 м2.
Площадь помещений категории А составляет FА = 108 м2.
2 Определение категории здания по взрывопожарной и пожарной опасности
FА = 108 м2 = 100 % общей площади здания, следовательно здание категории А.
В.72 Определение категории взрывопожарной и пожарной опасности здания весовой ГНС
1 Исходные данные
Общая площадь помещений F = 108 м2.
Площадь помещений категории А составляет FА = 108 м2.
2 Определение категории здания по взрывопожарной и пожарной опасности
FА = 108 м2 = 100 % общей площади здания, следовательно здание категории А.
В.73 Определение категории взрывопожарной и пожарной опасности здания склада хранения технического углерода
1 Исходные данные
Общая площадь помещений F = 936 м2.
Площадь помещений категории В1 составляет FВ1 = 936 м2.
2 Определение категории здания по взрывопожарной и пожарной опасности
FВ1 = 936 м2 = 100 % общей площади здания, следовательно здание категории В.
В.74 Определение категории взрывопожарной и пожарной опасности здания насосной резервуарного парка хранения бензина
1 Исходные данные
Общая площадь помещений F= 288 м2.
Площадь помещения категории А составляет FА = 288 м2.
2 Определение категории здания по взрывопожарной и пожарной опасности
FА = 288 м2 = 100 % общей площади здания, следовательно здание категории А.
В.75 Определение категории взрывопожарной и пожарной опасности здания насосной парка приема и хранения углеводородов
1 Исходные данные
Общая площадь помещений F = 360 м2.
Площадь помещения категории А составляет FА = 360 м2.
2 Определение категории здания по взрывопожарной и пожарной опасности
FА = 360 м2 = 100 % общей площади здания, следовательно здание категории А.
В.76 Определение категории взрывопожарной и пожарной опасности здания манифольдной парка приема и хранения углеводородов
1 Исходные данные
Общая площадь помещений F = 252 м2.
Площадь помещения категории А составляет FА = 252 м2.
2 Определение категории здания по взрывопожарной и пожарной опасности
FА = 252 м2 = 100 % общей площади здания, следовательно здание категории А.
В.77 Определение категории взрывопожарной и пожарной опасности здания насосной резервуарного парка хранения ДФ и КФ
1 Исходные данные
Общая площадь помещений F = 360 м2.
Площадь помещения категории Б составляет FБ = 360 м2.
2 Определение категории здания по взрывопожарной и пожарной опасности
FБ = 360 м2 = 100 % общей площади здания, следовательно здание категории Б.
В.78 Определение категории взрывопожарной и пожарной опасности здания манифольдной резервуарного парка хранения ДФ и КФ
1 Исходные данные
Общая площадь помещений F = 360 м2.
Площадь помещения категории Б составляет FБ = 360 м2.
2 Определение категории здания по взрывопожарной и пожарной опасности
FБ = 360 м2 = 100 % общей площади здания, следовательно здание категории Б.
В.79 Определение категории взрывопожарной и пожарной опасности здания насосной резервуарного парка хранения СК
1 Исходные данные
Общая площадь помещений F = 360 м2.
Площадь помещения категории А составляет FА = 360 м2.
2 Определение категории здания по взрывопожарной и пожарной опасности
FА = 360 м2 = 100 % общей площади здания, следовательно здание категории А.
В.80 Определение категории взрывопожарной и пожарной опасности здание манифольдной резервуарного парка хранения СК
1 Исходные данные
Общая площадь помещений F = 252 м2.
Площадь помещения категории А составляет FА = 252 м2.
2 Определение категории здания по взрывопожарной и пожарной опасности
FА = 252 м2 = 100 % общей площади здания, следовательно здание категории А.
В.81 Определение категории взрывопожарной и пожарной опасности здание насосной резервуарного парка паспортизации моторных топлив
1 Исходные данные
Общая площадь помещений F = 324 м2.
Площадь помещения категории А составляет FА = 324 м2.
2 Определение категории здания по взрывопожарной и пожарной опасности
FА = 324 м2 = 100 % общей площади здания, следовательно здание категории А.
В.82 Определение категории взрывопожарной и пожарной опасности здания манифольдной резервуарного парка хранения пропана
1 Исходные данные
Общая площадь помещений F = 240 м2.
Суммарная площадь помещений категории А составляет FА = 240 м2.
2 Определение категории здания по взрывопожарной и пожарной опасности
FА = 240 м2 = 100 % общей площади здания, следовательно здание категории А.
В.83 Определение категории взрывопожарной и пожарной опасности здания насосной резервуарного парка хранения БФ и стабильного гидрогенизата
1 Исходные данные
Общая площадь помещений F= 360 м2.
Суммарная площадь помещений категории А составляет FА = 360 м2.
2 Определение категории здания по взрывопожарной и пожарной опасности
FА = 360 м2 = 100 % общей площади здания, следовательно здание категории А.
В.84 Определение категории взрывопожарной и пожарной опасности здания манифольдной резервуарного парка хранения БФ и стабильного гидрогенизата
1 Исходные данные
Общая площадь помещений F = 360 м2.
Суммарная площадь помещений категории А составляет FА = 360 м2.
2 Определение категории здания по взрывопожарной и пожарной опасности
FА = 360 м2 = 100 % общей площади здания, следовательно здание категории А.
В.85 Определение категории взрывопожарной и пожарной опасности здания насосной резервуарного парка хранения бутана технического, смеси ПБТ
1 Исходные данные
Общая площадь помещений F = 360 м2.
Суммарная площадь помещений категории А составляет FА = 360 м2.
2 Определение категории здания по взрывопожарной и пожарной опасности
FА = 360 м2 = 100 % общей площади здания, следовательно здание категории А.
В.86 Определение категории взрывопожарной и пожарной опасности здания манифольдной резервуарного парка хранения бутана технического, смеси ПБТ
1 Исходные данные
Общая площадь помещений F = 360 м2.
Суммарная площадь помещений категории А составляет FА = 360 м2.
2 Определение категории здания по взрывопожарной и пожарной опасности
FА = 360 м2 = 100 % общей площади здания, следовательно здание категории А.
В.87 Определение категории взрывопожарной и пожарной опасности здания насосной резервуарного парка хранения изопентана, ПГФ
1 Исходные данные
Общая площадь помещений F = 360 м2.
Суммарная площадь помещений категории А составляет FА = 360 м2.
2 Определение категории здания по взрывопожарной и пожарной опасности
FА = 360 м2 = 100 % общей площади здания, следовательно здание категории А.
В.88 Определение категории взрывопожарной и пожарной опасности здания манифольдной резервуарного парка хранения изопентана, ПГФ
1 Исходные данные
Общая площадь помещений F = 360 м2.
Суммарная площадь помещений категории А составляет FА = 360 м2.
2 Определение категории здания по взрывопожарной и пожарной опасности
FА = 360 м2 = 100 % общей площади здания, следовательно здание категории А.
В.89 Определение категории взрывопожарной и пожарной опасности здания насосной резервуарного парка хранения реактивного топлива
1 Исходные данные
Общая площадь помещений F = 144 м2.
Площадь помещения категории А составляет FА = 144 м2.
2 Определение категории здания по взрывопожарной и пожарной опасности
FА = 144 м2 = 100 % общей площади здания, следовательно здание категории А.
В.90 Определение категории взрывопожарной и пожарной опасности здания манифольдной резервуарного парка хранения реактивного топлива
1 Исходные данные
Общая площадь помещений F = 72 м2.
Площадь помещения категории А составляет FА = 72 м2.
2 Определение категории здания по взрывопожарной и пожарной опасности
FА = 72 м2 = 100 % общей площади здания, следовательно здание категории А.
В.91 Определение категории взрывопожарной и пожарной опасности здания насосной метанола
Расчет см. А.2.25, приложение А СТО Газпром 2-1.1-094.
В.92 Определение категории взрывопожарной и пожарной опасности здания маслонасосной склада масел
Расчет см. А.2.64, приложение А СТО Газпром 2-1.1-094.
В.93 Определение категории взрывопожарной и пожарной опасности здания обезжелезивания воды водоочистных сооружений
1 Исходные данные
Общая площадь помещений F = 576 м2.
Площадь помещений категории Д составляет FД = 576 м2.
2 Определение категории здания по взрывопожарной и пожарной опасности
FД = 576 м2 = 100 % общей площади здания, следовательно здание категории Д.
В.94 Определение категории взрывопожарной и пожарной опасности здания насосной загрязненных вод установки фильтрации и сжигания промотходов
1 Исходные данные
1.1 Характеристика здания.
Здание имеет одно помещение габаритами:
длина l = 18,8 м, ширина b= 12 м, высота h= 13,4 м.
Минимальное расстояние от поверхности пожарной нагрузки до нижнего пояса ферм перекрытия H составляет 11,4 м.
1.2 Характеристика веществ и материалов, обращающихся (находящихся) в помещении, по справочным данным (приложение Г).
Пластовая вода (H2O- 97,06 %, H2S- 2,34 %, CO2- 0,52 %, C1- 0,07 %, N2- 0,01 %): негорючая жидкость.
Аминовый шлам (H2O – 99,3 %, целлюлоза – 0,5 %, амины – 0,2 %): негорючая жидкость.
Карболит, ПВХ: твердые горючие не пылящие материалы.
1.3 Характеристика технологического процесса и оборудования.
В помещении осуществляется фильтрация загрязненных аминовым шламом пластовых вод и находятся 4 насоса перекачки загрязненных вод, 2 емкости с водой и 2 фильтра, щит управления площадью 0,23 м2.
Суммарная масса горючих материалов: карболит – 1,5 кг; ПВХ – 0,5 кг.
Площадь размещения пожарной нагрузки в составе щита управления S= 0,4 м2.
2 Расчет критериев пожарной опасности
2.1 Определение необходимых условий.
а) В помещении находятся твердые не пылящие горючие материалы, что соответствует необходимому условию отнесения помещения к пожароопасной категории (от В1 до В4).
б) Для конкретизации категории рассчитываются пожарная нагрузка Q, МДж, и удельная пожарная нагрузка g, МДж/м2:
,
Q = (1,5 · 26,9) + (0,5 · 20,7) = 50,7 МДж,
МДж/м2.
За площадь размещения пожарной нагрузки принимается участок 10 м2 (по п. 25 НПБ 105-03 [1]).
Рассчитанная удельная пожарная нагрузка соответствует категории В4 (g = 1 ¸ 180 МДж/м2) по таблице 4 НПБ 105-03 [1].
2.2 Определение достаточного условия отнесения помещения к категории В4.
Способ размещения пожарной нагрузки соответствует нормируемому п. 25 НПБ 105-03 [1].
3 Определение категории помещения
Результаты расчетов критериев пожарной опасности показывают, что выполняются необходимое (рассчитанная удельная пожарная нагрузка соответствует категории В4) и достаточное (способ размещения пожарной нагрузки в помещении соответствует нормируемому) условия, что позволяет отнести данное помещение к категории В4.
4 Исходные данные для определения категории здания
Здание общей площадью 225,6 м2 состоит из одного помещения категории В4.
5 Определение категории здания по взрывопожарной и пожарной опасности
Площадь помещения категории В4 составляет FВ4 = 225,6 м2 – 100 % общей площади здания, следовательно здание категории Д.
В.95 Определение категории взрывопожарной и пожарной опасности здания кустовой фильтрационной насосной станции (КФНС)
1 Исходные данные
Здание общей площадью 180 м2 состоит из одного помещения категории В4. Площадь помещения категории В4 составляет FВ4 = 180 м2.
2 Определение категории здания по взрывопожарной и пожарной опасности
FВ4 = 180 м2 = 100 % общей площади здания, следовательно здание категории Д.
В.96 Определение категории взрывопожарной и пожарной опасности здания насосной гидроциклона КОС
1 Исходные данные
Общая площадь помещений F = 81 м2.
Площадь помещений категории А составляет FА = 81 м2.
2 Определение категории здания по взрывопожарной и пожарной опасности
FА = 81 м2 = 100 % общей площади здания, следовательно здание категории А.
В.97 Определение категории взрывопожарной и пожарной опасности блок-бокса доочистки КОС
1 Исходные данные
Общая площадь помещений F = 36 м2.
Площадь помещения категории Д составляет FД = 36 м2.
2 Определение категории здания по взрывопожарной и пожарной опасности
FД = 36 м2 = 100 % общей площади здания, следовательно здание категории Д.
В.98 Определение категории взрывопожарной и пожарной опасности блок-бокса насосной фильтрации КОС
1 Исходные данные
Общая площадь помещений F = 36 м2.
Площадь помещения категории Д составляет FД = 36 м2.
2 Определение категории здания по взрывопожарной и пожарной опасности
FД = 36 м2 = 100 % общей площади здания, следовательно здание категории Д.
В.99 Определение категории взрывопожарной и пожарной опасности здания насосной установки регенерации метанола КОС
1 Исходные данные
Общая площадь помещений F = 51 м2.
Площадь помещения категории В4 составляет FВ4 = 51 м2.
2 Определение категории здания по взрывопожарной и пожарной опасности
FВ4 = 51 м2 = 100 % общей площади здания, следовательно здание категории Д.
В.100 Определение категории взрывопожарной и пожарной опасности здания флотаторной КОС
1 Исходные данные
Общая площадь помещений F = 671 м2.
Площадь помещения категории В4 составляет FВ4 = 216 м2.
Площадь помещений категории Д составляет FД = 455 м2.
2 Определение категории здания по взрывопожарной и пожарной опасности
FВ4 + FД = 216 + 455 = 671 м2 = 100 % общей площади здания, следовательно здание относится к категории Д.
В.101 Определение категории взрывопожарной и пожарной опасности здания хранения и дозирования коагулянта и флоакулянта КОС
1 Исходные данные
Общая площадь помещений F= 144 м2.
Площадь помещения категории В4 составляет FВ4 = 144 м2.
2 Определение категории здания по взрывопожарной и пожарной опасности
FВ4 = 144 м2 = 100 % общей площади здания, следовательно здание категории Д.
В.102 Определение категории взрывопожарной и пожарной опасности здания барабанных сеток КОС
1 Исходные данные
Общая площадь помещений F = 108 м2.
Площадь помещения категории В4 составляет FВ4 = 108 м2.
2 Определение категории здания по взрывопожарной и пожарной опасности
FВ4 = 108 м2 = 100 % общей площади здания, следовательно здание категории Д.
В.103 Определение категории взрывопожарной и пожарной опасности здания бактерицидной очистки КОС
1 Исходные данные
Общая площадь помещений F = 140 м2.
Площадь помещений категории Д составляет FД = 140 м2.
2 Определение категории здания по взрывопожарной и пожарной опасности
FД = 140 м2 = 100 % общей площади здания, следовательно здание категории Д.
В.104 Определение категории взрывопожарной и пожарной опасности блок-бокса биоочистки хозбытовых стоков
1 Исходные данные
Общая площадь помещений F = 4,5 м2.
Площадь помещения категории В4 составляет FВ4 = 4,5 м2.
2 Определение категории здания по взрывопожарной и пожарной опасности
FВ4 = 4,5 м2 = 100 % общей площади здания, следовательно здание категории Д.
В.105 Определение категории взрывопожарной и пожарной опасности здания станции очистки промстоков
1 Исходные данные
Общая площадь помещений F = 102 м2.
Площадь помещения категории Д составляет FД = 102 м2.
2 Определение категории здания по взрывопожарной и пожарной опасности
FД = 102 м2 = 100 % общей площади здания, следовательно здание категории Д.
В.106 Определение категории взрывопожарной и пожарной опасности здания дополнительной очистки промстоков
1 Исходные данные
Общая площадь помещений F= 108 м2.
Площадь помещения категории Д составляет FД = 108 м2.
2 Определение категории здания по взрывопожарной и пожарной опасности
FД = 108 м2 = 100 % общей площади здания, следовательно здание категории Д.
В.107 Определение категории взрывопожарной и пожарной опасности здания насосной бензинсодержащих промстоков
1 Исходные данные
Общая площадь помещений F = 46 м2.
Площадь помещения категории А составляет FА = 23 м2.
Площадь помещения категории Д составляет FД = 23 м2.
2 Определение категории здания по взрывопожарной и пожарной опасности
FА = 23 м2 = 50 % общей площади здания, следовательно здание категории А.
В.108 Определение категории взрывопожарной и пожарной опасности блок-бокса водоумягчительной станции
1 Исходные данные
Общая площадь помещений F = 36 м2.
Площадь помещения категории В4 составляет FВ4 = 36 м2.
2 Определение категории здания по взрывопожарной и пожарной опасности
FВ4 = 36 м2 = 100 % общей площади здания, следовательно здание категории Д.
В.109 Определение категории взрывопожарной и пожарной опасности здания КНС хозбытовых стоков
1 Исходные данные
Общая площадь помещений F = 27 м2.
Площадь помещения категории В4 составляет FВ4 = 27 м2.
2 Определение категории здания по взрывопожарной и пожарной опасности
FВ4 = 27 м2 = 100 % общей площади здания, следовательно здание категории Д.
В.110 Определение категории взрывопожарной и пожарной опасности здания аппаратной химводоочистки
Расчет см. А.2.41, приложение А СТО Газпром 2-1.1-094.
В.111 Определение категории взрывопожарной и пожарной опасности здания насосной второго водоподъема
Расчет см. А.2.50, приложение А СТО Газпром 2-1.1-094.
В.112 Определение категории взрывопожарной и пожарной опасности здания насосной станции хозяйственно-питьевого и противопожарного водоснабжения
Расчет см. А.2.52, приложение А СТО Газпром 2-1.1-094.
В.113 Определение категории взрывопожарной и пожарной опасности здания утилизационной насосной станции
Расчет см. А.2.56, приложение А СТО Газпром 2-1.1-094.
В.114 Определение категории взрывопожарной и пожарной опасности здания ПЭБ
1 Исходные данные
Общая площадь помещений F = 585 м2.
Площадь помещения категории А составляет FА = 24 м2.
Площадь помещения категории В2 составляет FВ2 = 280 м2.
Площадь помещения категории В3 составляет FВ3 = 232 м2.
Площадь помещения категории В4 составляет FВ4 = 49 м2.
2 Определение категории здания по взрывопожарной и пожарной опасности
FА = 24 м2 = 4,1 % общей площади здания, менее 5 %, следовательно здание не относится к категории А.
FВ2 + FВ3 = 280 м2 + 232 м2 = 512 м2 = 87,5 % общей площади здания, больше 5 %, следовательно здание относится к категории В.
В.115 Определение категории взрывопожарной и пожарной опасности здания электростанции собственных нужд
1 Исходные данные
Общая площадь помещений F = 460 м2.
Площадь помещений категории В1 составляет FВ1 = 31 м2.
Площадь помещений категории В2 составляет FВ2 = 429 м2.
2 Определение категории здания по взрывопожарной и пожарной опасности
FВ1 + FВ2 = 31 м2 + 429 м2 = 460 м2 = 100 % общей площади здания, следовательно здание относится к категории В.
В.116 Определение категории взрывопожарной и пожарной опасности блок-бокса ДЭС
Расчет см. А.2.35, приложение А СТО Газпром 2-1.1-094.
В.117 Определение категории взрывопожарной и пожарной опасности блок-бокса БКЭС
1 Исходные данные
Общая площадь помещений F = 27 м2.
Площадь помещений категории В3 составляет FВ3 = 27 м2.
2 Определение категории здания по взрывопожарной и пожарной опасности
FВ3 = 27 м2 = 100 % общей площади здания, следовательно здание категории В.
В.118 Определение категории взрывопожарной и пожарной опасности здания ЗРУ
Расчет см. А.2.45, приложение А СТО Газпром 2-1.1-094.
В.119 Определение категории взрывопожарной и пожарной опасности блок-бокса оперативного пульта управления ОРУН
Расчет см. А.2.36, приложение А СТО Газпром 2-1.1-094.
В.120 Определение категории взрывопожарной и пожарной опасности здания КТП
Расчет см. А.2.48, приложение А СТО Газпром 2-1.1-094.
В.121 Определение категории взрывопожарной и пожарной опасности блок-бокса газопоршневой электростанции
Расчет см. А.2.34, приложение А СТО Газпром 2-1.1-094.
В.122 Определение категории взрывопожарной и пожарной опасности здания для передвижной автоматизированной электростанции (ПАЭС-2500)
Расчет см. А.2.44, приложение А СТО Газпром 2-1.1-094.
В.123а Определение категории взрывопожарной и пожарной опасности здания компрессорной сжатого воздуха (масляные компрессоры)
Расчет см. А.2.46, приложение А СТО Газпром 2-1.1-094.
В.123б Определение категории взрывопожарной и пожарной опасности здания компрессорной сжатого воздуха (безмасляные компрессоры)
Здание (блок-бокс) компрессорной состоит из одного помещения.
1 Исходные данные
Общая площадь блок-бокса равна площади помещения категории В4 FВ4 = 36 м2.
2 Определение категории здания по взрывопожарной и пожарной опасности
FВ4 = 36 м2 = 100 % общей площади здания, следовательно здание категории Д.
В.124 Определение категории взрывопожарной и пожарной опасности здания котельной
Расчет см. А.2.47, приложение А СТО Газпром 2-1.1-094.
В.125 Определение категории взрывопожарной и пожарной опасности блок-бокса теплонасосной
1 Исходные данные
Общая площадь помещений F= 24 м2.
Площадь помещения категории В4 составляет FВ4 = 24 м2.
2 Определение категории здания по взрывопожарной и пожарной опасности
FВ4 = 24 м2 = 100 % общей площади здания, следовательно здание категории Д.
В.126 Определение категории взрывопожарной и пожарной опасности здания мотопомпы
1 Исходные данные
Общая площадь помещений F= 26 м2.
Площадь помещения категории А составляет FА = 11 м2.
Площадь помещений категории В3 составляет FВ3 = 9 м2.
Площадь помещений категории Д составляет FД = 6 м2.
2 Определение категории здания по взрывопожарной и пожарной опасности
FА = 11 м2 = 42,3 % общей площади здания, больше 5 %, следовательно здание относится к категории А.
В.127 Определение категории взрывопожарной и пожарной опасности здания МИЖУ
1 Исходные данные
Общая площадь помещений F= 120 м2.
Площадь помещения категории Д составляет FД = 120 м2.
2 Определение категории здания по взрывопожарной и пожарной опасности
FД = 120 м2 = 100 % общей площади здания, следовательно здание категории Д.
В.128 Определение категории взрывопожарной и пожарной опасности здания насосной пенопожаротушения
Расчет см. А.2.51, приложение А СТО Газпром 2-1.1-094.
В.129 Определение категории взрывопожарной и пожарной опасности блок-бокса задвижек противопожарного водоснабжения
1 Исходные данные
Здание состоит из одного помещения категории Д, площадь которого FД = 22,4 м2.
2 Определение категории здания по взрывопожарной и пожарной опасности
fД= 22,4 м2 = 100 % общей площади здания, следовательно здание категории Д.
В.130 Определение категории взрывопожарной и пожарной опасности здания блок-бокса КП телемеханики
1 Исходные данные
1.1 Характеристика помещения.
Длина l = 4,5 м, ширина b= 2,5 м, высота h= 2,5 м.
Минимальное расстояние от поверхности пожарной нагрузки до нижнего пояса ферм перекрытия H составляет 1,5 м.
1.2 Характеристика веществ и материалов, обращающихся (находящихся) в помещении, по справочным данным (приложение Г).
Карболит, ПВХ, полистирол, текстолит: твердые горючие материалы.
1.3 Характеристика технологического процесса и оборудования.
В помещении КП (контролируемый пункт), предназначенном для контроля системы телемеханики, находятся 2 шкафа (1-й шкаф – бесперебойного питания, 2-й шкаф – связи и управления, телемеханики).
Суммарная масса горючих материалов: ПВХ - 3 кг; полистирол - 1,5 кг; текстолит - 4 кг. Пожарная нагрузка размещена в двух шкафах на площади 2 м2.
2 Расчет критериев пожарной опасности
2.1 Определение необходимых условий.
а) В помещении находятся твердые не пылящие горючие материалы, что соответствует необходимому условию отнесения помещения к одной из пожароопасных категорий (от В1 до В4).
б) Для конкретизации категории рассчитываются: пожарная нагрузка Q, МДж, и удельная пожарная нагрузка g, МДж/м2:
,
Q = (3 · 20,7) + (1,5 · 39,8) + (4 · 20,9) = 205,4 МДж,
МДж/м2.
Рассчитанная удельная пожарная нагрузка соответствует категории В4 (g = 1 ¸ 180 МДж/м2) по таблице 4 НПБ 105-03 [1].
2.2 Определение достаточного условия.
Способ размещения пожарной нагрузки соответствует нормируемому п. 25 НПБ 105-03 [1].
3 Определение категории помещения
Результаты расчетов критериев пожарной опасности показывают, что выполняются необходимое и достаточное условия для отнесения данного помещения к категории В4.
4 Исходные данные блок-бокса
Общая площадь блок-бокса равна площади помещения FВ4 = 11,25 м2.
5 Определение категории здания по взрывопожарной и пожарной опасности
FВ4 = 11,25 м2 = 100 % общей площади здания, следовательно здание категории Д.
В.131 Определение категории взрывопожарной и пожарной опасности здания блок-бокса САУ ГПА
Блок-бокс системы автоматизированного управления (САУ) ГПА состоит из одного помещения.
1 Исходные данные
1.1 Характеристика помещения.
Длина l = 4 м, ширина b = 3 м, высота h= 2,2 м.
Минимальное расстояние от поверхности пожарной нагрузки до нижнего пояса ферм перекрытия H составляет 0,6 м.
1.2 Характеристика веществ и материалов, обращающихся (находящихся) в помещении, по справочным данным (приложение Г).
Карболит, ПВХ, полистирол, текстолит: твердые горючие не пылящие материалы.
1.3 Характеристика технологического процесса и оборудования.
В помещении, предназначенном для САУ ГПА, находятся соответствующие приборы управления.
Суммарная масса горючих материалов: карболит – 1 кг; ПВХ – 4 кг; полистирол – 2 кг; текстолит – 3 кг. Пожарная нагрузка размещена равномерно по всей площади помещения.
2 Расчет критериев пожарной опасности
2.1 Определение необходимых условий.
а) В помещении находятся твердые не пылящие горючие материалы, что соответствует необходимому условию отнесения помещения к одной из пожароопасных категорий (от В1 до В4).
б) Для конкретизации категории рассчитываются: пожарная нагрузка Q, МДж, и удельная пожарная нагрузка g, МДж/м2:
,
Q= (1 · 26,9) + (4 · 20,7) + (2 · 39,8) + (3 · 20,9) = 252 МДж,
МДж/м2.
Рассчитанная удельная пожарная нагрузка соответствует категории В4 (1 ¸ 180 МДж/м2) по таблице 4 НПБ 105-03 [1].
2.2 Определение достаточного условия отнесения помещения к категории В4.
Способ размещения пожарной нагрузки не соответствует нормируемому п. 25 НПБ 105-03 [1], так как невозможно выделить участки категории В4 площадью 10 м2 с расстояниями между ними более предельных.
3 Определение категории помещения
Результаты расчетов критериев пожарной опасности показывают, что выполняется необходимое условие для отнесения помещения к категории В4, однако достаточное условие не выполняется (способ размещения пожарной нагрузки не соответствует нормируемому), поэтому помещение следует относить к категории В3.
4 Исходные данные блок-бокса
Общая площадь блок-бокса равна площади помещения FВ3 = 12 м2.
5 Определение категории здания по взрывопожарной и пожарной опасности
FВ3 = 12 м2 = 100 % общей площади здания, следовательно здание категории В.
В.132 Определение категории взрывопожарной и пожарной опасности здания ремонтно-механического участка
1 Исходные данные
Общая площадь помещений F = 806 м2.
Площадь помещений категории В3 составляет FВ3 = 456 м2.
Площадь помещений категории Г составляет Fг = 350 м2.
2 Определение категории здания по взрывопожарной и пожарной опасности
FВ3 = 456 м2 = 56,6 % общей площади здания, больше 10 %, следовательно здание относится к категории В.
В.133 Определение категории взрывопожарной и пожарной опасности здания ремонта и наполнения баллонов
1 Исходные данные
Общая площадь помещений F = 763 м2.
Площадь помещений категории В4 составляет FВ4 = 420 м2.
Площадь помещений категории Д составляет FД = 343 м2.
2 Определение категории здания по взрывопожарной и пожарной опасности
FВ4 + FД = 420 м2 + 343 м2 = 763 м2 = 100 % общей площади здания, следовательно здание относится к категории Д.
В.134 Определение категории взрывопожарной и пожарной опасности здания склада запасного оборудования
1 Исходные данные
Здание состоит из одного помещения площадью FД = 36 м2.
2 Определение категории здания по взрывопожарной и пожарной опасности
FД = 36 м2 = 100 % общей площади здания, следовательно здание категории Д.
В.135 Определение категории взрывопожарной и пожарной опасности здания хранения баллонов с кислородом
1 Исходные данные
Здание состоит из одного помещения площадью FД = 72 м2.
2 Определение категории здания по взрывопожарной и пожарной опасности
FД = 72 м2 = 100 % общей площади здания, следовательно здание категории Д.
В.136 Определение категории взрывопожарной и пожарной опасности здания склада тарного хранения масла
Расчет см. А.2.61, приложение А. СТО Газпром 2-1.1-094.
В.137 Определение категории взрывопожарной и пожарной опасности блок-бокса насосной склада ГСМ
Расчет см. А.2.63, приложение А СТО Газпром 2-1.1-094.
Приложение Г
(справочное)
Физико-химические характеристики и значения показателей пожарной опасности некоторых индивидуальных веществ, смесей и технических продуктов
Таблица Г.1
| Вещество | Группа горючести [8, 9] | Химическая формула [7] | Молярная масса, кг/кмоль [7] | Плотность, кг/м3 [7] | Температура вспышки, °C [8, 9] | Константы уравнения Антуана [7, 8, 9] | НКПР, %об. [8,9] | Низшая удельная теплота сгорания, кДж/кг [8, 9] | ||
| A | B | C | ||||||||
| 1 Ацетон | ЛВЖ | С3H6O | 58,08 | 790,8 | - 18 | 6,37551 | 1281,721 | 237,088 | 2,7 | 31360 |
| 2 Бензин авиационный Б-70 | ЛВЖ | C7,267H14,796 | 102,2 | - | - 34 | 7,54424 | 2629,65 | 384,195 | 0,79 | 44094 |
| 3 Бензин АИ-93 (зимний) | ЛВЖ | C6,911H12,168 | 95,3 | 725 | - 37 | 4,26511 | 695,019 | 223,220 | 1,1 | 43641 |
| 4 Бензол | ЛВЖ | C6H6 | 78,113 | 873,68 | - 11 | 6,10906 | 1252,776 | 225,178 | 1,43 | 40576 |
| 5 н-Бутан | ГГ | C4H10 | 58,123 | 2,7 | - 69 | 6,00525 | 968,098 | 242,555 | 1,8 | 45713 |
| 6 Водород | ГГ | H2 | 2,016 | 0,0837 | - | - | - | - | 4,12 | 119841 |
| 7 н-Гексан | ЛВЖ | C6H14 | 86,177 | 654,81 | - 23 | 5,99517 | 1166,274 | 223,661 | 1,24 | 45106 |
| 8 Гептан | ЛВЖ | C7H16 | 100,203 | 683,76 | - 4 | 6,07647 | 1295,405 | 219,819 | 1,07 | 44919 |
| 9 Дизельное топливо «З» | ЛВЖ | C12,343H23,889 | 172,3 | 804 | > + 35 | 5,9534 | 1255,73 | 199,523 | 0,61 | 43590 |
| 10 Диэтиленгликоль | ГЖ | C4H10O3 | 106,12 | 1119 | + 143 | - | - | - | - | 22370,9 |
| 11 Изооктан | ЛВЖ | C3H18 | 114,23 | 703 | - 10 | 6,01307 | 1319,529 | 211,625 | 0,95 | 44817 |
| 12 Изопентан | ЛВЖ | C5H12 | 72,15 | 619,6 | - 52 | 5,91799 | 1022,551 | 233,493 | 1,36 | 45239 |
| 13 Керосин осветительный КО-20 | ЛВЖ | C13,595H26,860 | 191,7 | 797 | > + 40 | 5,697 | 1211,73 | 194,677 | 0,55 | 43692 |
| 14 Ксилол (смесь изомеров) | ЛВЖ | C8H10 | 106,17 | 855 | + 29 | 6,17972 | 1478,16 | 220,535 | 1,1 | 43154 |
| 15 Масло трансформаторное | ГЖ | C21,74H42,28S0,04 | 303,9 | 885 | > + 135 | 2524,17 | 174,010 | 0,29 | 0,29 | 43111 |
| 16 Метан | ГГ | CH4 | 16,04 | 0,668 | - | - | - | - | 5,28 | 50000 |
| 17 н-Октан | ЛВЖ | C8H18 | 114,23 | 702,52 | + 14 | 6,09396 | 1379,556 | 211,896 | 0,9 | 44787 |
| 18 н-Пентан | ЛВЖ | C5H12 | 72,15 | 621,4 | - 44 | 5,97208 | 1062,555 | 231,805 | 1,47 | 45350 |
| 19 Пропан | ГГ | C3H8 | 44,096 | 1,872 | - | - | - | - | 2,3 | 46353 |
| 20 Растворитель 646 (толуол – 50, ацетон – 11,7, этанол – 17,5, бутилацетат – 5,8) | ЛВЖ | C2,645H6,810O1,038 | 55,24 | - | + 6 | 2487,728 | 290,920 | 2,85 | - | 40936 |
| 21 Сера техническая | Горючее вещество | S8 | 32,064 | 1960 ¸ 2070 | - | - | - | - | 35 | 9205 |
| 22 Сероводород | ГГ | H2S | 34,076 | 1,538 | - | - | - | - | 4,3 | 16988,8 |
| 23 Толуол | ЛВЖ | C7H8 | 92,14 | 866,9 | + 7 | 6,0507 | 1328,171 | 217,713 | 1,27 | 40936 |
| 24 Уайт-спирит | ЛВЖ | C10,5H21,0 | 147,3 | 760 ¸ 790 | > + 33 | 7,13623 | 2218,3 | 373,15 | 0,7 | 43966 |
| 25 Этан | ГГ | C2H6 | 30,069 | 1,263 | - | - | - | - | 2,9 | 52413 |
| 26 Этиловый спирт | ЛВЖ | C2H6О | 46,07 | 785 | + 16 | 7,81158 | 1918,508 | 252,125 | 3,6 | 30562,2 |
Таблица Г.2
| Вещества и материалы | Скорость потери массы ´ 10-3, кг/(м2·с) | Низшая теплота сгорания, кДж/кг |
| Бензин | 61,7 | 41870 |
| Ацетон | 44,0 | 28890 |
| Диэтиловый спирт | 60,0 | 33500 |
| Бензол | 73,3 | 38520 |
| Дизельное топливо | 42,0 | 48870 |
| Керосин | 48,3 | 43540 |
| Мазут | 34,7 | 39770 |
| Нефть | 28,3 | 41870 |
| Этиловый спирт | 33,0 | 27200 |
| Турбинное масло (ТП-22) | 30,0 | 41870 |
| Изопропиловый спирт | 31,3 | 30145 |
| Изопентан | 10,3 | 45220 |
| Толуол | 48,3 | 41030 |
| Древесина (бруски) – 13,7 % | 39,3 | 13800 |
| Древесина (мебель в жилых и административных зданиях – 8-10 %) | 14,0 | 13800 |
| Бумага разрыхленная | 8,0 | 13400 |
| Карболитовые изделия | 9,5 | 26900 |
| Органическое стекло | 16,1 | 27670 |
| Полистирол | 14,4 | 39000 |
| Резина | 11,2 | 33520 |
| Текстолит | 6,7 | 20900 |
| Полиэтилен | 10,3 | 47140 |
| Полипропилен | 14,5 | 45670 |
| Хлопок разрыхленный | 21,3 | 15700 |
| ПВХ | - | 20700 |
| Сера | - | 9205 |
Библиография
| [1] Нормы пожарной безопасности НПБ 105-03 | Определение категорий помещений, зданий и наружных установок по взрывопожарной и пожарной опасности |
| [2] Федеральный закон от 21 декабря 1994 г. № 69-ФЗ «О пожарной безопасности» | |
| [3] Строительные нормы и правила СНиП 21-01-97* | Пожарная безопасность зданий и сооружений |
| [4] «Определение категорий помещений и зданий по взрывопожарной и пожарной опасности» при рассмотрении проектно-сметной документации. ФГУ ВНИИПО МВД России: Пособие по применению НПБ 105-95. - М.: ВНИИПО, 1998. | |
| [5] Строительные нормы и правила СНиП 41-01-2003 | Отопление, вентиляция и кондиционирование |
| [6] Строительные нормы и правила СНиП 23-01-99* | Строительная климатология |
| [7] Свойства вредных и опасных веществ, обращающихся в нефтегазовом комплексе: Справочник / Под ред. Г.Ж. Литвиновой - М.: ВНИИПО, 2005 | |
| [8] Баратов А.Н., Корольченко А.Я. и др. Пожаровзрывоопасность веществ и материалов и средства их тушения: Справочник. В 2-х кн. – М.: Химия, 1990 | |
| [9] Корольченко А.Я., Корольченко Д.А. Пожароопасность веществ и материалов и средства их тушения: Справочник. В 2-х ч.; 2-е изд., перераб. и доп. – М.: Пожнаука, 2004 | |
| [10] Стаскевич Н.Л., Вигдорчик Д.Я. Справочник по сжиженным углеводородным газам. - Л., 1989 | |
| [11] Тищенко Н.Ф., Тищенко А.Н. Охрана атмосферного воздуха. Ч. 2. – М.: Химия, 1993 | |
| [12] Пчелинцев В.А., Беспалов Н.П. Оценка взрывопожароопасности закрытых складов комовой серы. Проблемы пожарной безопасности зданий и сооружений. Материалы X Всесоюзной научно-практической конференции. – М.: ВНИИПО, 1990. – С. 67-69
| |
| [13] Технические условия ТУ 51-81-88 Одорант СПМ | |
Ключевые слова: категории по взрывопожарной и пожарной опасности, объекты транспортировки, подземного хранения и переработки газа ОАО «Газпром», помещения, здания, наружные установки
Содержание
1 Область применения
2 Нормативные ссылки
3 Термины и определения
4 Обозначения и сокращения
5 Общие положения
6 Алгоритм расчета критериев взрывопожарной и пожарной опасности помещений
7 Алгоритм расчета критериев пожарной опасности наружных установок
8 Перечень типопредставителей зданий объектов транспортировки, подземного хранения и переработки газа ОАО «Газпром» с категориями по взрывопожарной и пожарной опасности
9 Перечень типопредставителей помещений объектов транспортировки, подземного хранения и переработки газа ОАО «Газпром» с категориями по взрывопожарной и пожарной опасности
10 Перечень типопредставителей наружных установок объектов транспортировки, подземного хранения и переработки газа ОАО «Газпром» с категориями по взрывопожарной и пожарной опасности
Приложение А (справочное) Расчеты критериев взрывопожарной и пожарной опасности и определение категорий типопредставителей помещений объектов транспортировки, подземного хранения и переработки газа ОАО «Газпром»
А.1 Расчет критериев взрывопожарной и пожарной опасности и определение категории помещения узла подключения КС к МГ
А.2 Расчет критериев взрывопожарной и пожарной опасности и определение категории помещения блока сепарации СПХГ
А.3 Расчет критериев взрывопожарной и пожарной опасности и определение категории помещения цеха осушки газа
А.4 Расчет критериев взрывопожарной и пожарной опасности и определение категории помещения цеха очистки газа
А.5 Расчет критериев взрывопожарной и пожарной опасности и определение категории помещения галереи нагнетателей компрессорного цеха (или отсека нагнетателя)
А.6 Расчет критериев взрывопожарной и пожарной опасности и определение категории помещения машинного зала КЦ
А.7 Расчет критериев взрывопожарной и пожарной опасности и определение категории помещения машинного зала с ГПА
А.8 Расчет критериев взрывопожарной и пожарной опасности и определение категории помещения отсека автоматики ГПА
А.9 Расчет критериев взрывопожарной и пожарной опасности и определение категории помещения отсека автоматической системы пожаротушения ГПА
А.10 Расчет критериев взрывопожарной и пожарной опасности и определение категории помещения отсека маслоблока ГПА
А.11 Расчет критериев взрывопожарной и пожарной опасности и определение категории помещения отсека маслоохладителей ГПА
А.12 Расчет критериев взрывопожарной и пожарной опасности и определение категории помещения фильтров газа
А.13 Расчет критериев взрывопожарной и пожарной опасности и определение категории помещения подготовки масла КЦ
А.14 Расчет критериев взрывопожарной и пожарной опасности и определение категории помещения блока запорной арматуры топливного и пускового газа
А.15 Расчет критериев взрывопожарной и пожарной опасности и определение категории помещения установки подготовки топливного, пускового и импульсного газа
А.16 Расчет критериев взрывопожарной и пожарной опасности и определение категории помещения блока распределения газа
А.17 Расчет критериев взрывопожарной и пожарной опасности и определение категории помещения блока редуцирования газа
А.18 Расчет критериев взрывопожарной и пожарной опасности и определение категории помещения аппарата воздушного охлаждения масла
А.19 Расчет критериев взрывопожарной и пожарной опасности и определение категории помещения турбокомпрессорного агрегата пропана СОГ
А.20 Расчет критериев взрывопожарной и пожарной опасности и определение категории помещения насосной установки сепарации пластового газа высокого давления
А.21 Расчет критериев взрывопожарной и пожарной опасности и определение категории помещения машзала установки получения серы
А.22 Расчет критериев взрывопожарной и пожарной опасности и определение категории помещения компрессорной установки очистки газа от кислых компонентов с повторным компримированием
А.23 Расчет критериев взрывопожарной и пожарной опасности и определение категории помещения компрессорной установки осушки и отбензинивания газа
А.24 Расчет критериев взрывопожарной и пожарной опасности и определение категории помещения насосной установки осушки и отбензинивания газа
А.25 Расчет критериев взрывопожарной и пожарной опасности и определение категории помещения насосной блока ЭЛОУ комбинированной установки по переработке газового конденсата
А.26 Расчет критериев взрывопожарной и пожарной опасности и определение категории помещения насосной блока AT комбинированной установки по переработке газового конденсата
А.27 Расчет критериев взрывопожарной и пожарной опасности и определение категории помещения насосной блока ВП комбинированной установки по переработке газового конденсата
А.28 Расчет критериев взрывопожарной и пожарной опасности и определение категории помещения горячей насосной блока AT комбинированной установки по переработке газового конденсата
А.29 Расчет критериев взрывопожарной и пожарной опасности и определение категории помещения насосной БОПСГ комбинированной установки по переработке газового конденсата
А.30 Расчет критериев взрывопожарной и пожарной опасности и определение категории помещения насосной установки гидроочистки
А.31 Расчет критериев взрывопожарной и пожарной опасности и определение категории помещения компрессорной установки гидроочистки
А.32 Расчет критериев взрывопожарной и пожарной опасности и определение категории помещения компрессорной УКР
А.33 Расчет критериев взрывопожарной и пожарной опасности и определение категории помещения пункта замера НГКС парка приема и хранения углеводородов
А.34 Расчет критериев взрывопожарной и пожарной опасности и определение категории помещения реакторов печного отделения УППУ
А.35 Расчет критериев взрывопожарной и пожарной опасности и определение категории помещения отделения улавливания техуглерода УППУ
А.36 Расчет критериев взрывопожарной и пожарной опасности и определение категории помещения преобразователей подстанции УППУ
А.37 Расчет критериев взрывопожарной и пожарной опасности и определение категории помещения отделения грануляции углерода
А.38 Расчет критериев взрывопожарной и пожарной опасности и определение категории помещения упаковочного отделения
А.39 Расчет критериев взрывопожарной и пожарной опасности и определение категории помещения насосной жидкого сырья
А.40 Расчет критериев взрывопожарной и пожарной опасности и определение категории помещения шнекового коридора углеродоосадителей УТПУ
А.41 Расчет критериев взрывопожарной и пожарной опасности и определение категории помещения насосной орошения
А.42 Расчет критериев взрывопожарной и пожарной опасности и определение категории помещения рассевов техуглерода
А.43 Расчет критериев взрывопожарной и пожарной опасности и определение категории помещения насосной УСК
А.44 Расчет критериев взрывопожарной и пожарной опасности и определение категории помещения печей УСК
А.45 Расчет критериев взрывопожарной и пожарной опасности и определение категории помещения манифольдной УСК
А.46 Расчет критериев взрывопожарной и пожарной опасности и определение категории помещения конденсатной насосной БИИУПП
А.47 Расчет критериев взрывопожарной и пожарной опасности и определение категории помещения насосной пропан-бутановой фракции БИИУПП
А.48 Расчет критериев взрывопожарной и пожарной опасности и определение категории помещения насосной секции гидроочистки КФ установки гидроочистки керосина и дизельного топлива КОМТ
А.49 Расчет критериев взрывопожарной и пожарной опасности и определение категории помещения холодной насосной секции гидроочистки и депарафинизации КОМТ
А.50 Расчет критериев взрывопожарной и пожарной опасности и определение категории помещения горячей насосной секции гидроочистки и депарафинизации КОМТ
А.51 Расчет критериев взрывопожарной и пожарной опасности и определение категории помещения узла сульфидирования КОМТ
А.52 Расчет критериев взрывопожарной и пожарной опасности и определение категории помещения газовой компрессорной КОМТ
А.53 Расчет критериев взрывопожарной и пожарной опасности и определение категории помещения компрессорной опытно-промышленной установки каталитического риформинга «Петрофак»
A.54 Расчет критериев взрывопожарной и пожарной опасности и определение категории помещения водородной компрессорной
A.55 Расчет критериев взрывопожарной и пожарной опасности и определение категории помещения отделения азотных и гелиевых компрессоров
А.56 Расчет критериев взрывопожарной и пожарной опасности и определение категории помещения машзала гелиевых компрессоров гелиевой установки
А.57 Расчет критериев взрывопожарной и пожарной опасности и определение категории помещения пункта распределения метанола
А.58 Расчет критериев взрывопожарной и пожарной опасности и определение категории помещения насосной ДЭГ
А.59 Расчет критериев взрывопожарной и пожарной опасности и определение категории помещения одоризации газа ГРС
А.60 Расчет критериев взрывопожарной и пожарной опасности и определение категории помещения ГРП
А.61 Расчет критериев взрывопожарной и пожарной опасности и определение категории помещения блока предочистки установки регенерации метанола
A.62 Расчет критериев взрывопожарной и пожарной опасности и определение категории помещения диспетчерской
А.63 Расчет критериев взрывопожарной и пожарной опасности и определение категории помещения баллонной воздуха
А.64 Расчет критериев взрывопожарной и пожарной опасности и определение категории помещения компрессорной сжатого воздуха (масляные компрессоры)
А.65 Расчет критериев взрывопожарной и пожарной опасности и определение категории помещения компрессорной сжатого воздуха (безмасляные компрессоры)
А.66 Расчет критериев взрывопожарной и пожарной опасности и определение категории помещения установки производства технологического воздуха и инертного газа
А.67 Расчет критериев взрывопожарной и пожарной опасности и определение категории помещения лаборатории автоматизации и метрологии
А.68 Расчет критериев взрывопожарной и пожарной опасности и определение категории помещения лаборатории испытаний моторных топлив
А.69 Расчет критериев взрывопожарной и пожарной опасности и определение категории помещения лаборатории физико-механических испытаний технического углерода
А.70 Расчет критериев взрывопожарной и пожарной опасности и определение категории помещения лаборатории мокрого просева технического углерода
А.71 Расчет критериев взрывопожарной и пожарной опасности и определение категории помещения лаборатории физико-химических испытаний (определение удельной поверхности) технического углерода
А.72 Расчет критериев взрывопожарной и пожарной опасности и определение категории помещения лаборатории определения ионного числа технического углерода
А.73 Расчет критериев взрывопожарной и пожарной опасности и определение категории помещения лаборатории компонентного состава отходящего газа
А.74 Расчет критериев взрывопожарной и пожарной опасности и определение категории помещения лаборатории пикнометрического анализа газов
А.75 Расчет критериев взрывопожарной и пожарной опасности и определение категории помещения лаборатории физико-химических испытаний нефтепродуктов
А.76 Расчет критериев взрывопожарной и пожарной опасности и определение категории помещения лаборатории хроматографии горючих газов и нефтепродуктов
А.77 Расчет критериев взрывопожарной и пожарной опасности и определение категории помещения лаборатории хроматографии нестабильного газового конденсата
А.78 Расчет критериев взрывопожарной и пожарной опасности и определение категории помещения лаборатории калибровки аналитических проб
А.79 Расчет критериев взрывопожарной и пожарной опасности и определение категории помещения приготовления растворов
А.80 Расчет критериев взрывопожарной и пожарной опасности и определение категории помещения лаборатории теплоэнергетических процессов
А.81 Расчет критериев взрывопожарной и пожарной опасности и определение категории помещения лаборатории анализа аминов
А.82 Расчет критериев взрывопожарной и пожарной опасности и определение категории помещения лаборатории анализа стабильного конденсата
А.83 Расчет критериев взрывопожарной и пожарной опасности и определение категории помещения лаборатории анализа общей серы
А.84 Расчет критериев взрывопожарной и пожарной опасности и определение категории помещения лаборатории анализа нефтепродуктов
А.85 Расчет критериев взрывопожарной и пожарной опасности и определение категории помещения лаборатории внутреннего контроля
А.86 Расчет критериев взрывопожарной и пожарной опасности и определение категории помещения лаборатории анализа серы
А.87 Расчет критериев взрывопожарной и пожарной опасности и определение категории помещения лаборатории контроля товарных нефтепродуктов
А.88 Расчет критериев взрывопожарной и пожарной опасности и определение категории помещения лаборатории анализа бензинов
А.89 Расчет критериев взрывопожарной и пожарной опасности и определение категории помещения колориметрической лаборатории
А.90 Расчет критериев взрывопожарной и пожарной опасности и определение категории помещения лаборатории входного контроля
А.91 Расчет критериев взрывопожарной и пожарной опасности и определение категории помещения санитарной лаборатории анализа пластовых вод
А.92 Расчет критериев взрывопожарной и пожарной опасности и определение категории помещения лаборатории экоаналитического анализа воздуха
А.93 Расчет критериев взрывопожарной и пожарной опасности и определение категории помещения технологического отделения кислородно-азотной станции
А.94 Расчет критериев взрывопожарной и пожарной опасности и определение категории помещения ремонта и испытания баллонов на герметичность
А.95 Расчет критериев взрывопожарной и пожарной опасности и определение категории помещения окрасочного отделения ремонта и испытания баллонов
А.96 Расчет критериев взрывопожарной и пожарной опасности и определение категории помещения наполнения баллонов кислородом
А.97 Расчет критериев взрывопожарной и пожарной опасности и определение категории помещения наполнения баллонов азотом
А.98 Расчет критериев взрывопожарной и пожарной опасности и определение категории помещения хранения баллонов с кислородом
А.99 Расчет критериев взрывопожарной и пожарной опасности и определение категории помещения аппарата воздушного охлаждения воды
А.100 Расчет критериев взрывопожарной и пожарной опасности и определение категории помещения приточной венткамеры
А.101 Расчет критериев взрывопожарной и пожарной опасности и определение категории помещения вытяжной венткамеры
А.102 Расчет критериев взрывопожарной и пожарной опасности и определение категории помещения газонаполнительного отделения ГНС
А.103 Расчет критериев взрывопожарной и пожарной опасности и определение категории помещения насосной резервуарного парка хранения ДФ и КФ
А.104 Расчет критериев взрывопожарной и пожарной опасности и определение категории помещения манифольдной резервуарного парка хранения ДТ и керосина
А.105 Расчет критериев взрывопожарной и пожарной опасности и определение категории помещения насосной резервуарного парка паспортизации моторных топлив
А.106 Расчет критериев взрывопожарной и пожарной опасности и определение категории помещения манифольдной резервуарного парка хранения пропана
А.107 Расчет критериев взрывопожарной и пожарной опасности и определение категории помещения насосной резервуарного парка хранения бензина и стабильного гидрогенизата
А.108 Расчет критериев взрывопожарной и пожарной опасности и определение категории помещения манифольдной резервуарного парка хранения БФ и стабильного гидрогенизата
А.109 Расчет критериев взрывопожарной и пожарной опасности и определение категории помещения насосной резервуарного парка хранения бутана технического, СПБТ
А.110 Расчет критериев взрывопожарной и пожарной опасности и определение категории помещения насосной резервуарного парка хранения изопентана, ПГФ
А.111 Расчет критериев взрывопожарной и пожарной опасности и определение категории помещения насосной резервуарного парка хранения реактивного топлива
А.112 Расчет критериев взрывопожарной и пожарной опасности и определение категории помещения насосной дизтоплива
А.113 Расчет критериев взрывопожарной и пожарной опасности и определение категории помещения насосной сжиженного пропана
А.114 Расчет критериев взрывопожарной и пожарной опасности и определение категории помещения склада хранения технического углерода
А.115 Расчет критериев взрывопожарной и пожарной опасности и определение категории помещения насосной склада ГСМ
А.116 Расчет критериев взрывопожарной и пожарной опасности и определение категории помещения маслонасосной склада масел
А.117 Расчет критериев взрывопожарной и пожарной опасности и определение категории помещения насосной воды горячего цикла
А.118 Расчет критериев взрывопожарной и пожарной опасности и определение категории помещения насосной воды холодного цикла
А.119 Расчет критериев взрывопожарной и пожарной опасности и определение категории помещения станции оборотного водоснабжения СОГ
А.120 Расчет критериев взрывопожарной и пожарной опасности и определение категории помещения насосной промстоков
А.121 Расчет критериев взрывопожарной и пожарной опасности и определение категории помещения мокрого отделения (решеток) хозбытовых стоков
А.122 Расчет критериев взрывопожарной и пожарной опасности и определение категории помещения водоумягчительной станции
А.123 Расчет критериев взрывопожарной и пожарной опасности и определение категории помещения химводоподготовки котельной
А.124 Расчет критериев взрывопожарной и пожарной опасности и определение категории помещения ЦТП
А.125 Расчет критериев взрывопожарной и пожарной опасности и определение категории помещения кустовой фильтрационной насосной станции
А.126 Расчет критериев взрывопожарной и пожарной опасности и определение категории помещения насосной станции хозяйственно-питьевого и противопожарного водоснабжения
А.127 Расчет критериев взрывопожарной и пожарной опасности и определение категории помещения аппаратной химводоочистки
А.128 Расчет критериев взрывопожарной и пожарной опасности и определение категории помещения насосной 2 водоподъема
А.129 Расчет критериев взрывопожарной и пожарной опасности и определение категории помещения машзала электростанции собственных нужд
А.130 Расчет критериев взрывопожарной и пожарной опасности и определение категории помещения выпрямительной
А.131 Расчет критериев взрывопожарной и пожарной опасности и определение категории помещения газопоршневой электростанции
А.132 Расчет критериев взрывопожарной и пожарной опасности и определение категории помещения для передвижной автоматизированной электростанции (ПАЭС)
А.133 Расчет критериев взрывопожарной и пожарной опасности и определение категории помещения аварийных турбогенераторов
А.134 Расчет критериев взрывопожарной и пожарной опасности и определение категории помещения ДЭС
А.135 Расчет критериев взрывопожарной и пожарной опасности и определение категории помещения дистилляторной
А.136 Расчет критериев взрывопожарной и пожарной опасности и определение категории помещения аккумуляторной (гелевые аккумуляторы)
А.137 Расчет критериев взрывопожарной и пожарной опасности и определение категории помещения аккумуляторной (кислотные аккумуляторы)
А.138 Расчет критериев взрывопожарной и пожарной опасности и определение категории помещения аккумуляторной (щелочные аккумуляторы)
А.139 Расчет критериев взрывопожарной и пожарной опасности и определение категории помещения блока автоматики бесперебойного питания
А.140 Расчет критериев взрывопожарной и пожарной опасности и определение категории помещения ЗРУ
А.141 Расчет критериев взрывопожарной и пожарной опасности и определение категории помещения КТП
А.142 Расчет критериев взрывопожарной и пожарной опасности и определение категории помещения щитовых (ЩСУ, НКУ и т.п.)
А.143 Расчет критериев взрывопожарной и пожарной опасности и определение категории помещения распределительного пункта ЭХЗ
А.144 Расчет критериев взрывопожарной и пожарной опасности и определение категории помещения котлоагрегатов котельной
А.145 Расчет критериев взрывопожарной и пожарной опасности и определение категории помещения теплового узла
А.146 Расчет критериев взрывопожарной и пожарной опасности и определение категории помещения утилизационной насосной станции
А.147 Расчет критериев взрывопожарной и пожарной опасности и определение категории помещения операторной ЦПУ
А.148 Расчет критериев взрывопожарной и пожарной опасности и определение категории помещения операторной
А.149 Расчет критериев взрывопожарной и пожарной опасности и определение категории помещения аппаратной
А.150 Расчет критериев взрывопожарной и пожарной опасности и определение категории помещения аппаратной КИПиА
А.151 Расчет критериев взрывопожарной и пожарной опасности и определение категории помещения мультиплексорной
А.152 Расчет критериев взрывопожарной и пожарной опасности и определение категории помещения серверной
А.153 Расчет критериев взрывопожарной и пожарной опасности и определение категории помещения микропроцессорной
А.154 Расчет критериев взрывопожарной и пожарной опасности и определение категории помещения кроссовой
А.155 Расчет критериев взрывопожарной и пожарной опасности и определение категории помещения радиомастерской
А.156 Расчет критериев взрывопожарной и пожарной опасности и определение категории помещения линейно-аппаратного зала
А.157 Расчет критериев взрывопожарной и пожарной опасности и определение категории помещения АТС
А.158 Расчет критериев взрывопожарной и пожарной опасности и определение категории помещения мотопомпы
A.159 Расчет критериев взрывопожарной и пожарной опасности и определение категории помещения задвижек пенного пожаротушения
А.160 Расчет критериев взрывопожарной и пожарной опасности и определение категории помещения узла пенопожаротушения
А.161 Расчет критериев взрывопожарной и пожарной опасности и определение категории помещения узла газового пожаротушения
А.162 Расчет критериев взрывопожарной и пожарной опасности и определение категории помещения МИЖУ
А.163 Расчет критериев взрывопожарной и пожарной опасности и определение категории помещения узла управления задвижками ППВ
А.164 Расчет критериев взрывопожарной и пожарной опасности и определение категории помещения задвижек ППВ
А.165 Расчет критериев взрывопожарной и пожарной опасности и определение категории помещения токарной мастерской
А.166 Расчет критериев взрывопожарной и пожарной опасности и определение категории помещения слесарной мастерской
А.167 Расчет критериев взрывопожарной и пожарной опасности и определение категории помещения ремонта и тарировки предохранительных клапанов
А.168 Расчет критериев взрывопожарной и пожарной опасности и определение категории помещения сварочного поста
А.169 Расчет критериев взрывопожарной и пожарной опасности и определение категории помещения стеклодувной мастерской
А.170 Расчет критериев взрывопожарной и пожарной опасности и определение категории помещения кузнечного цеха
А.171 Расчет критериев взрывопожарной и пожарной опасности и определение категории помещения склада ЛКМ
А.172 Расчет критериев взрывопожарной и пожарной опасности и определение категории помещения склада приборов
А.173 Расчет критериев взрывопожарной и пожарной опасности и определение категории помещения склада химической посуды
А.174 Расчет критериев взрывопожарной и пожарной опасности и определение категории помещения склада хранения тары
А.175 Расчет критериев взрывопожарной и пожарной опасности и определение категории помещения склада ЛВЖ и ГЖ
А.176 Расчет критериев взрывопожарной и пожарной опасности и определение категории помещения склада аварийного запаса
А.177 Расчет критериев взрывопожарной и пожарной опасности и определение категории помещения склада ГО ЧС
А.178 Расчет критериев взрывопожарной и пожарной опасности и определение категории помещения склада спецодежды
А.179 Расчет критериев взрывопожарной и пожарной опасности и определение категории помещения инструментального склада
А.180 Расчет критериев взрывопожарной и пожарной опасности и определение категории помещения склада хранения шин
А.181 Расчет критериев взрывопожарной и пожарной опасности и определение категории помещения склада запасного оборудования
А.182 Расчет критериев взрывопожарной и пожарной опасности и определение категории помещения склада КИПиА
А.183 Расчет критериев взрывопожарной и пожарной опасности и определение категории помещения кладовой ЗИП
А.184 Расчет критериев взрывопожарной и пожарной опасности и определение категории помещения склада хранения металла
А.185 Расчет критериев взрывопожарной и пожарной опасности и определение категории помещения склада тарного хранения масла
А.186 Расчет критериев взрывопожарной и пожарной опасности и определение категории помещения материально-технического склада
А.187 Расчет критериев взрывопожарной и пожарной опасности и определение категории помещения хранения баллонов с пропаном
А.188 Расчет критериев взрывопожарной и пожарной опасности и определение категории помещения гаража (помещение пожарной техники)
А.189 Расчет критериев взрывопожарной и пожарной опасности и определение категории помещения стоянки погрузчика
А.190 Расчет критериев взрывопожарной и пожарной опасности и определение категории помещения зарядки аккумуляторных батарей электропогрузчика
Приложение Б (справочное) Расчеты критериев пожарной опасности и определение категорий типопредставителей наружных установок объектов транспортировки, подземного хранения и переработки газа ОАО «Газпром»
Б.1 Расчет критериев пожарной опасности и определение категории скважины
Б.2 Расчет критериев пожарной опасности и определение категории кранового узла
Б.3 Расчет критериев пожарной опасности и определение категории пункта исключающей арматуры
Б.4 Расчет критериев пожарной опасности и определение категории абсорберов
Б.5 Расчет критериев пожарной опасности и определение категории пылеуловителей мехочистки газа
Б.6 Расчет критериев пожарной опасности и определение категории пробкоуловителя
Б.7 Расчет критериев пожарной опасности и определение категории сепараторов газа
Б.8 Расчет критериев пожарной опасности и определение категории узла замера газа
Б.9 Расчет критериев пожарной опасности и определение категории узла редуцирования газа
Б.10 Расчет критериев пожарной опасности и определение категории АВО газа
Б.11 Расчет критериев пожарной опасности и определение категории аппаратного двора СОГ
Б.12 Расчет критериев пожарной опасности и определение категории резервуарного парка общецеховой системы маслоснабжения КЦ
Б.13 Расчет критериев пожарной опасности и определение категории АВО ДЭГ
Б.14 Расчет критериев пожарной опасности и определение категории блока УПТПИГ
Б.15 Расчет критериев пожарной опасности и определение категории аккумуляторов импульсного газа
Б.16 Расчет критериев пожарной опасности и определение категории испарителей дренажной системы
Б.17-18 Расчет критериев пожарной опасности и определение категории установки запуска (приема) очистного устройства (УЗОУ, УПОУ)
Б.19 Расчет критериев пожарной опасности и определение категории блока сепарации УСК
Б.20 Расчет критериев пожарной опасности и определение категории печи подогрева УСК
Б.21 Расчет критериев пожарной опасности и определение категории АВО сжиженного пропана
Б.22 Расчет критериев пожарной опасности и определение категории циклонов участка термического производства техуглерода (УТПУ)
Б.23 Расчет критериев пожарной опасности и определение категории газовых генераторов УТПУ
Б.24 Расчет критериев пожарной опасности и определение категории углеродоосадителей УТПУ
Б.25 Расчет критериев пожарной опасности и определение категории узла одоризации цеха налива сжиженного газа и конденсата
Б.26 Расчет критериев пожарной опасности и определение категории аппаратного двора установки сепарации пластового газа высокого давления
Б.27 Расчет критериев пожарной опасности и определение категории метанольного узла установки сепарации пластового газа высокого давления
Б.28 Расчет критериев пожарной опасности и определение категории аппаратного двора установки очистки газа от сероводорода и углекислоты
Б.29 Расчет критериев пожарной опасности и определение категории аппаратного двора установки получения серы
Б.30 Расчет критериев пожарной опасности и определение категории аппаратного двора установки стабилизации газового конденсата и обработки сточных вод
Б.31 Расчет критериев пожарной опасности и определение категории аппаратного двора установки очистки газа от кислых компонентов с повторным компримированием
Б.32 Расчет критериев пожарной опасности и определение категории аппаратного двора установки осушки и отбензинивания газа
Б.33 Расчет критериев пожарной опасности и определение категории блока атмосферной перегонки комбинированной установки по переработке газового конденсата
Б.34 Расчет критериев пожарной опасности и определение категории блока ВП комбинированной установки по переработке газового конденсата
Б.35 Расчет критериев пожарной опасности и определение категории блока очистки и получения сжиженных газов комбинированной установки по переработке газового конденсата
Б.36 Расчет критериев пожарной опасности и определение категории блока электрообессоливания и обезвоживания комбинированной установки но переработке газового конденсата
Б.37 Расчет критериев пожарной опасности и определение категории аппаратного двора установки гидроочистки
Б.38 Расчет критериев пожарной опасности и определение категории аппаратного двора УКР
Б.39 Расчет критериев пожарной опасности и определение категории блока Hawaii установки грануляции серы
Б.40 Расчет критериев пожарной опасности и определение категории блока колонн и емкостей пропана блока извлечения изопентана и узла получения пропана
Б.41 Расчет критериев пожарной опасности и определение категории АВО изопентана и ПБФ
Б.42 Расчет критериев пожарной опасности и определение категории аппаратного двора секции гидроочистки КФ установки гидроочистки керосина и дизельного топлива
Б.43 Расчет критериев пожарной опасности и определение категории аппаратного двора секции гидроочистки и депарафинизации установки гидроочистки керосина и дизельного топлива
Б.44 Расчет критериев пожарной опасности и определение категории реакторных блоков установки гидроочистки керосина и дизельного топлива.
Б.45 Расчет критериев пожарной опасности и определение категории сырьевых теплообменников секции каталитического риформинга БФ установки гидроочистки керосина и дизельного топлива
Б.46 Расчет критериев пожарной опасности и определение категории аппаратного двора секции каталитического риформинга БФ и ДТ установки каталитического риформинга
Б.47 Расчет критериев пожарной опасности и определение категории холодильников секции каталитического риформинга БФ установки гидроочистки керосина и дизельного топлива
Б.48 Расчет критериев пожарной опасности и определение категории аппаратного двора секции предварительной гидроочистки БФ установки каталитического риформинга
Б.49 Расчет критериев пожарной опасности и определение категории блока отпарки секции предварительной гидроочистки БФ установки каталитического риформинга
Б.50 Расчет критериев пожарной опасности и определение категории реакторных блоков секции каталитического риформинга БФ
Б.51 Расчет критериев пожарной опасности и определение категории сепараторов секции каталитического риформинга БФ
Б.52 Расчет критериев пожарной опасности и определение категории сепараторов секции предварительной гидроочистки БФ
Б.53 Расчет критериев пожарной опасности и определение категории аппаратного двора опытно-промышленной установки каталитического риформинга «Петрофак»
Б.54 Расчет критериев пожарной опасности и определение категории узла смешения установки моторных топлив
Б.55 Расчет критериев пожарной опасности и определение категории узла подачи охлаждающей жидкости установки моторных топлив
Б.56 Расчет критериев пожарной опасности и определение категории аппаратного двора узла приготовления присадок
Б.57 Расчет критериев пожарной опасности и определение категории аппаратного двора установки получения гелиевого концентрата, этана и ШФЛУ
Б.58 Расчет критериев пожарной опасности и определение категории аппаратного двора блока тонкой очистки гелия установки получения гелия из гелиевого концентрата
Б.59 Расчет критериев пожарной опасности и определение категории блока очистки этановой фракции установки очистки сырьевого газа от сернистых соединений
Б.60 Расчет критериев пожарной опасности и определение категории ресиверов сжатого азота
Б.61 Расчет критериев пожарной опасности и определение категории установки получения жидкого кислорода, азота и осушки воздуха
Б.62 Расчет критериев пожарной опасности и определение категории емкости дегазации установки фильтрации загрязненных вод и сжигания промотходов
Б.63 Расчет критериев пожарной опасности и определение категории печи дожига установки фильтрации загрязненных вод и сжигания промотходов
Б.64 Расчет критериев пожарной опасности и определение категории градирни
Б.65 Расчет критериев пожарной опасности и определение категории АВО воды
Б.66 Расчет критериев пожарной опасности и определение категории резервуарного парка хранения подтоварной воды
Б.67 Расчет критериев пожарной опасности и определение категории наливной ж/д эстакады сжиженных газов
Б.68 Расчет критериев пожарной опасности и определение категории пункта приема и выдачи баллонов на ремонт и освидетельствование ГНС
Б.69 Расчет критериев пожарной опасности и определение категории пункта правки газобаллонных автомобилей ГНС
Б.70 Расчет критериев пожарной опасности и определение категории арматуры (манифольдной) налива сжиженного газа и конденсата
Б.71 Расчет критериев пожарной опасности и определение категории склада сжиженных газов
Б.72 Расчет критериев пожарной опасности и определение категории наливной эстакады сжиженных газов в автоцистерны
Б.73 Расчет критериев пожарной опасности и определение категории склада гранулированной серы установки грануляции серы
Б.74 Расчет критериев пожарной опасности и определение категории резервуарного парка хранения керосиновой и дизельной фракций
Б.75 Расчет критериев пожарной опасности и определение категории пункта налива светлых нефтепродуктов в автоцистерны
Б.76 Расчет критериев пожарной опасности и определение категории насосной светлых нефтепродуктов
Б.77 Расчет критериев пожарной опасности и определение категории насосной темных нефтепродуктов
Б.78 Расчет критериев пожарной опасности и определение категории газгольдеров хранения водорода и азота
Б.79 Расчет критериев пожарной опасности и определение категории резервуарного парка хранения изопентана и ПГФ
Б.80 Расчет критериев пожарной опасности и определение категории сливоналивной ж/д эстакады изопентана и ПГФ
Б.81 Расчет критериев пожарной опасности и определение категории резервуарного парка хранения реактивного топлива
Б.82 Расчет критериев пожарной опасности и определение категории резервуарного парка хранения ДЭГ.
Б.83 Расчет критериев пожарной опасности и определение категории резервуарного парка хранения метанола
Б.84 Расчет критериев пожарной опасности и определение категории подземного склада хранения метанола
Б.85 Расчет критериев пожарной опасности и определение категории насосной метанола
Б.86 Расчет критериев пожарной опасности и определение категории узла переключающих задвижек (манифольдной) метанола
Б.87 Расчет критериев пожарной опасности и определение категории пункта налива метанола в автоцистерны
Б.88 Расчет критериев пожарной опасности и определение категории сливоналивной ж/д эстакады метанола
Б.89 Расчет критериев пожарной опасности и определение категории электрозадвижек наливного причала
Б.90 Расчет критериев пожарной опасности и определение категории резервуарного парка хранения СК
Б.91 Расчет критериев пожарной опасности и определение категории узла приема и хранения одоранта
Б.92 Расчет критериев пожарной опасности и определение категории ТЗП
Б.93 Расчет критериев пожарной опасности и определение категории открытого распределительного устройства напряжения (ОРУН)
Б.94 Расчет критериев пожарной опасности и определение категории установки ЭХЗ
Б.95 Расчет критериев пожарной опасности и определение категории блока приема и откачки шлама и нефтепродуктов резервуарного парка комплекса очистных сооружений (КОС)
Б.96 Расчет критериев пожарной опасности и определение категории разделочных резервуаров резервуарного парка КОС
Б.97 Расчет критериев пожарной опасности и определение категории резервуаров-аккумуляторов КОС
Б.98 Расчет критериев пожарной опасности и определение категории резервуаров сброса аварийных илов КОС
Б.99 Расчет критериев пожарной опасности и определение категории резервуарного парка хранения ГСМ
Б.100 Расчет критериев пожарной опасности и определение категории резервуарного парка хранения дизтоплива
Б.101 Расчет критериев пожарной опасности и определение категории склада тарного хранения ГСМ
Б.102 Расчет критериев пожарной опасности и определение категории открытого склада хранения металла
Б.103 Расчет критериев пожарной опасности и определение категории парка хранения азота
Приложение В (справочное) Определение категорий взрывопожарной и пожарной опасности типопредставителей зданий объектов транспортировки, подземного хранения и переработки газа ОАО «Газпром»
В.1 Определение категории взрывопожарной и пожарной опасности здания узла подключения КС к МГ
В.2 Определение категории взрывопожарной и пожарной опасности здания блока сепарации
В.3 Определение категории взрывопожарной и пожарной опасности здания установки очистки газа (пылеуловителей)
В.4 Определение категории взрывопожарной и пожарной опасности здания КЦ
В.5 Определение категории взрывопожарной и пожарной опасности укрытия турбоагрегата
В.6 Определение категории взрывопожарной и пожарной опасности укрытия поршневого компрессора ГПА
В.7 Определение категории взрывопожарной и пожарной опасности блок-бокса ГПА
В.8 Определение категории взрывопожарной и пожарной опасности здания УПТПИГ
В.9 Определение категории взрывопожарной и пожарной опасности здания запорной арматуры топливного и пускового газа
В.10 Определение категории взрывопожарной и пожарной опасности блок-бокса фильтров газа собственных нужд
В.11 Определение категории взрывопожарной и пожарной опасности здания подготовки масла общецеховой системы маслоснабжения КЦ
В.12 Определение категории взрывопожарной и пожарной опасности здания насосной склада сжиженных газов
В.13 Определение категории взрывопожарной и пожарной опасности здания насосно-компрессорного отделения СОГ
В.14 Определение категории взрывопожарной и пожарной опасности блок-бокса насосной ДЭГ
В.15а Определение категории взрывопожарной и пожарной опасности блок-бокса ГИС
В.15б Определение категории взрывопожарной и пожарной опасности блок-бокса приборного ГИС
В.15в Определение категории взрывопожарной и пожарной опасности блок-бокса операторной ГИС
В.16 Определение категории взрывопожарной и пожарной опасности блок-бокса АГРС
В.17 Определение категории взрывопожарной и пожарной опасности блок-бокса редуцирования газа
В.18 Определение категории взрывопожарной и пожарной опасности блок-бокса переключений
В.19 Определение категории взрывопожарной и пожарной опасности здания узла замера газа
В.20 Определение категории взрывопожарной и пожарной опасности блок-бокса аппаратуры замера газа
В.21 Определение категории взрывопожарной и пожарной опасности блок-бокса ГРП
В.22 Определение категории взрывопожарной и пожарной опасности блок-бокса насосной воды холодного цикла
В.23 Определение категории взрывопожарной и пожарной опасности здания пункта замера НГКС парка приема и хранения углеводородов
В.24 Определение категории взрывопожарной и пожарной опасности здания компрессорной сырьевого газа
В.25 Определение категории взрывопожарной и пожарной опасности здания цеха УСК
В.26 Определение категории взрывопожарной и пожарной опасности здания цеха печей УСК
В.27 Определение категории взрывопожарной и пожарной опасности здания насосной УСК
В.28 Определение категории взрывопожарной и пожарной опасности здания насосной пропан-бутановой фракции БИИУПП
В.29 Определение категории взрывопожарной и пожарной опасности здания установки стабилизации газового конденсата и обработки сточных вод
В.30 Определение категории взрывопожарной и пожарной опасности здания машзала установки осушки и отбензинивания газа
В.31 Определение категории взрывопожарной и пожарной опасности здания насосной продуктов разделения ПБФ БИИУПП
В.32 Определение категории взрывопожарной и пожарной опасности здания насосной ПГФ, изопентана БИИУПП
В.33 Определение категории взрывопожарной и пожарной опасности здания насосной стабильного конденсата
В.34 Определение категории взрывопожарной и пожарной опасности здания насосной блока ЭЛОУ КУПГК
В.35 Определение категории взрывопожарной и пожарной опасности здания насосной блока атмосферной перегонки КУПГК
В.36 Определение категории взрывопожарной и пожарной опасности здания насосной блока вторичной перегонки КУПГК
В.37 Определение категории взрывопожарной и пожарной опасности здания насосной блока очистки и получения сжиженных газов КУПГК
В.38 Определение категории взрывопожарной и пожарной опасности здания насосной установки гидроочистки
В.39 Определение категории взрывопожарной и пожарной опасности здания компрессорной установки гидроочистки
В.40 Определение категории взрывопожарной и пожарной опасности здания компрессорной УКР
В.41 Определение категории взрывопожарной и пожарной опасности здания насосной УКР
В.42 Определение категории взрывопожарной и пожарной опасности здания насосной секции гидроочистки керосиновой фракции установки гидроочистки керосина и дизельного топлива (КОМТ)
В.43 Определение категории взрывопожарной и пожарной опасности здания насосной секции каталитического риформинга БФ КОМТ
В.44 Определение категории взрывопожарной и пожарной опасности здания насосной секции предварительной гидроочистки БФ установки каталитического риформинга КОМТ
В.45 Определение категории взрывопожарной и пожарной опасности здания газовой компрессорной КОМТ
В.46 Определение категории взрывопожарной и пожарной опасности здания насосной установки моторных топлив
В.47 Определение категории взрывопожарной и пожарной опасности здания узла приготовления и ввода присадок
В.48 Определение категории взрывопожарной и пожарной опасности здания компрессорной опытно-промышленной установки каталитического риформинга «Петрофак»
В.49 Определение категории взрывопожарной и пожарной опасности здания водородной компрессорной
В.50 Определение категории взрывопожарной и пожарной опасности здания установки печного производства углерода
В.51 Определение категории взрывопожарной и пожарной опасности здания насосной жидкого сырья
В.52 Определение категории взрывопожарной и пожарной опасности здания пирометрической установки термического производства углерода (УТПУ)
В.53 Определение категории взрывопожарной и пожарной опасности здания углеродоосадителей УТПУ
В.54 Определение категории взрывопожарной и пожарной опасности здания насосной орошения УТПУ
В.55 Определение категории взрывопожарной и пожарной опасности здания камеры сгорания производства канального (спец.) техуглерода
В.56 Определение категории взрывопожарной и пожарной опасности здания грануляции
В.57 Определение категории взрывопожарной и пожарной опасности здания упаковочной гранулированного технического углерода
В.58 Определение категории взрывопожарной и пожарной опасности здания установки сепарации пластового газа высокого давления
В.59 Определение категории взрывопожарной и пожарной опасности здания установки очистки газа от сероводорода и углекислоты
В.60 Определение категории взрывопожарной и пожарной опасности здания установки получения серы
В.61 Определение категории взрывопожарной и пожарной опасности здания установки очистки газа от кислых компонентов с повторным компримированием
В.62 Определение категории взрывопожарной и пожарной опасности здания ГРС
В.63 Определение категории взрывопожарной и пожарной опасности здания гелиевых установок
В.64 Определение категории взрывопожарной и пожарной опасности здания разделения газа
В.65 Определение категории взрывопожарной и пожарной опасности здания машзала азотно-кислородной станции
В.66 Определение категории взрывопожарной и пожарной опасности здания установки регенерации метанола
В.67 Определение категории взрывопожарной и пожарной опасности здания химлаборатории
В.68 Определение категории взрывопожарной и пожарной опасности здания ЦЗЛ
В.69 Определение категории взрывопожарной и пожарной опасности здания лаборатории контроля производства
В.70 Определение категории взрывопожарной и пожарной опасности здания установки наполнения и хранения баллонов с гелием
В.71 Определение категории взрывопожарной и пожарной опасности здания ГНС
В.72 Определение категории взрывопожарной и пожарной опасности здания весовой ГНС
В.73 Определение категории взрывопожарной и пожарной опасности здания склада хранения технического углерода
В.74 Определение категории взрывопожарной и пожарной опасности здания насосной резервуарного парка хранения бензина
В.75 Определение категории взрывопожарной и пожарной опасности здания насосной парка приема и хранения углеводородов
В.76 Определение категории взрывопожарной и пожарной опасности здания манифольдной парка приема и хранения углеводородов
В.77 Определение категории взрывопожарной и пожарной опасности здания насосной резервуарного парка хранения ДФ и КФ
В.78 Определение категории взрывопожарной и пожарной опасности здания манифольдной резервуарного парка хранения ДФ и КФ
В.79 Определение категории взрывопожарной и пожарной опасности здания насосной резервуарного парка хранения СК
В.80 Определение категории взрывопожарной и пожарной опасности здания манифольдной резервуарного парка хранения СК
В.81 Определение категории взрывопожарной и пожарной опасности здания насосной резервуарного парка паспортизации моторных топлив
В.82 Определение категории взрывопожарной и пожарной опасности здания манифольдной резервуарного парка хранения пропана
В.83 Определение категории взрывопожарной и пожарной опасности здания насосной резервуарного парка хранения БФ и стабильного гидрогенизата
В.84 Определение категории взрывопожарной и пожарной опасности здания манифольдной резервуарного парка хранения БФ и стабильного гидрогенизата
В.85 Определение категории взрывопожарной и пожарной опасности здания насосной резервуарного парка хранения бутана технического, смеси ПБТ
В.86 Определение категории взрывопожарной и пожарной опасности здания манифольдной резервуарного парка хранения бутана технического, смеси ПБТ
В.87 Определение категории взрывопожарной и пожарной опасности здания насосной резервуарного парка хранения изопентана, ПГФ
В.88 Определение категории взрывопожарной и пожарной опасности здания манифольдной резервуарного парка хранения изопентана, ПГФ
В.89 Определение категории взрывопожарной и пожарной опасности здания насосной резервуарного парка хранения реактивного топлива
В.90 Определение категории взрывопожарной и пожарной опасности здания манифольдной резервуарного парка хранения реактивного топлива
В.91 Определение категории взрывопожарной и пожарной опасности здания насосной метанола
В.92 Определение категории взрывопожарной и пожарной опасности здания маслонасосной склада масел
В.93 Определение категории взрывопожарной и пожарной опасности здания обезжелезивания воды водоочистных сооружений
В.94 Определение категории взрывопожарной и пожарной опасности здания насосной загрязненных вод установки фильтрации и сжигания промотходов
В.95 Определение категории взрывопожарной и пожарной опасности здания кустовой фильтрационной насосной станции (КФНС)
В.96 Определение категории взрывопожарной и пожарной опасности здания насосной гидроциклона КОС
В.97 Определение категории взрывопожарной и пожарной опасности блок-бокса доочистки КОС
В.98 Определение категории взрывопожарной и пожарной опасности блок-бокса насосной фильтрации КОС
В.99 Определение категории взрывопожарной и пожарной опасности здания насосной установки регенерации метанола КОС
В.100 Определение категории взрывопожарной и пожарной опасности здания флотаторной КОС
В.101 Определение категории взрывопожарной и пожарной опасности здания хранения и дозирования коагулянта и флоакулянта КОС
В.102 Определение категории взрывопожарной и пожарной опасности здания барабанных сеток КОС
В.103 Определение категории взрывопожарной и пожарной опасности здания бактерицидной очистки КОС
В.104 Определение категории взрывопожарной и пожарной опасности блок-бокса биоочистки хозбытовых стоков
В.105 Определение категории взрывопожарной и пожарной опасности здания станции очистки промстоков
В.106 Определение категории взрывопожарной и пожарной опасности здания дополнительной очистки промстоков
В.107 Определение категории взрывопожарной и пожарной опасности здания насосной бензинсодержащих промстоков
В.108 Определение категории взрывопожарной и пожарной опасности блок-бокса водоумягчительной станции
В.109 Определение категории взрывопожарной и пожарной опасности здания КНС хозбытовых стоков
В.110 Определение категории взрывопожарной и пожарной опасности здания аппаратной химводоочистки
В.111 Определение категории взрывопожарной и пожарной опасности здания насосной 2-го водоподъема
В.112 Определение категории взрывопожарной и пожарной опасности здания насосной станции хозяйственно-питьевого и противопожарного водоснабжения
В.113 Определение категории взрывопожарной и пожарной опасности здания утилизационной насосной станции
В.114 Определение категории взрывопожарной и пожарной опасности здания ПЭБ
В.115 Определение категории взрывопожарной и пожарной опасности здания электростанции собственных нужд
В.116 Определение категории взрывопожарной и пожарной опасности блок-бокса ДЭС
В.117 Определение категории взрывопожарной и пожарной опасности блок-бокса БКЭС
В.118 Определение категории взрывопожарной и пожарной опасности здания ЗРУ
В.119 Определение категории взрывопожарной и пожарной опасности блок-бокса оперативного пульта управления ОРУН
В.120 Определение категории взрывопожарной и пожарной опасности здания КТП
В.121 Определение категории взрывопожарной и пожарной опасности блок-бокса газопоршневой электростанции
В.122 Определение категории взрывопожарной и пожарной опасности здания для передвижной автоматизированной электростанции (ПАЭС-2500)
В.123а Определение категории взрывопожарной и пожарной опасности здания компрессорной сжатого воздуха (масляные компрессоры)
В.123б Определение категории взрывопожарной и пожарной опасности здания компрессорной сжатого воздуха (безмасляные компрессоры)
В.124 Определение категории взрывопожарной и пожарной опасности здания котельной
В.125 Определение категории взрывопожарной и пожарной опасности блок-бокса теплонасосной
В.126 Определение категории взрывопожарной и пожарной опасности здания мотопомпы
В.127 Определение категории взрывопожарной и пожарной опасности здания МИЖУ
В.128 Определение категории взрывопожарной и пожарной опасности здания насосной пенопожаротушения
В.129 Определение категории взрывопожарной и пожарной опасности блок-бокса задвижек противопожарного водоснабжения
В.130 Определение категории взрывопожарной и пожарной опасности здания блок-бокса КП телемеханики
В.131 Определение категории взрывопожарной и пожарной опасности здания блок-бокса САУ ГПА
В.132 Определение категории взрывопожарной и пожарной опасности здания ремонтно-механического участка
В.133 Определение категории взрывопожарной и пожарной опасности здания ремонта и наполнения баллонов
В.134 Определение категории взрывопожарной и пожарной опасности здания склада запасного оборудования
В.135 Определение категории по взрывопожарной и пожарной опасности здания хранения баллонов с кислородом
В.136 Определение категории взрывопожарной и пожарной опасности здания склада тарного хранения масла
В.137 Определение категории взрывопожарной и пожарной опасности блок-бокса насосной склада ГСМ
Приложение Г (справочное) Физико-химические характеристики и значения показателей пожарной опасности некоторых индивидуальных веществ, смесей и технических продуктов
Библиография

Комментарии ()